作者简介:明佳佳(1989—),男,安徽阜阳人,硕士研究生,主要从事植物营养研究工作。E-mail:jiajiaming77@163.com
采用2种施硒方式及不同硒浓度对油菜进行处理,测定油菜各部位的干质量及硒与其他元素的含量。结果表明,无论采用何种施硒方式,低浓度(土壤施硒0.1 mg·kg-1或叶面喷施0.1 mg·L-1)的硒有助于提高油菜生物量,而高浓度(土壤施硒1.0 mg·kg-1或叶面喷施0.5 mg·L-1)硒处理均降低了油菜生物量。外源硒增加了油菜根、茎、叶中氮、磷、钾、钙、镁、锰等的含量,以及油菜根中铁含量、叶中铜含量和根、茎中锌含量。外源硒促进了油菜茎中氮、磷、钾、镁、铁、铜、锌向叶的迁移,降低了根中磷、钾、镁、铁、锌向茎的迁移。低浓度硒降低了油菜根中钙向茎的迁移,高浓度硒促进了油菜茎中钙向叶的迁移。
In the present study, the effects of two selenium (Se) application methods and different Se concentrations on the dry weight and element contents of rapes were investigated. It was shown that 2 selenium application methods had similar influences on rape. The rape biomass was increased by the lower Se levels (0.1 mg·kg-1 in soil or 0.1 mg·L-1 foliar application), yet was decreased by the higher Se levels (1.0 mg·kg-1 in soil or 0.5 mg·L-1 foliar application). External Se application increased the contents of N, P, K, Ca, Mg, Mn in roots, stems, and leaves, as well as Fe in roots, Cu in leaves and Zn in stems and root. External Se application enhanced the translocation of N, P, K, Mg, Fe, Cu, Zn from stems to leaves, while reduced the translocation of P, K, Mg, Fe, Zn from roots to stems. Se application reduced the translocation of Ca from roots to stems at the lower levels, whereas the translocation of Ca was enhanced from stems to leaves at the higher levels.
矿质元素是作物正常生长发育、提高产量和改善品质所必需的。氮、磷、钾、钙、镁、铁、锰、铜、锌是植物生长发育所需的主要矿质元素[1]。油菜是我国重要的油料作物, 种植面积约700万hm2, 总产量在1 200万t以上, 居世界首位[2]。如何提高油菜对矿质元素的吸收利用, 在促进油菜生长的同时, 又减少施肥用量, 降低化肥对农田土壤的污染, 对农业健康安全生产具有重要意义。硒(selenium, Se)是人体必需营养元素之一[3], 具有防癌抗癌、清除体内自由基、抗衰老作用[4]。人体对硒的摄入直接或间接来自植物, 因此植物在硒生态链中起着重要作用。此外, 硒是植物生长的有益元素, 适量的硒有助于增强植物抵抗干旱[5]、盐害[6]、冷害[7]、重金属毒害[8, 9, 10]和紫外辐射[11]的能力, 提高作物品质[12], 显著改善其生理指标和相关酶的活性[10, 13, 14]。硒在菠菜上的试验表明, 与对照相比, 硒浓度≤ 1.0 mg· L-1时, 植物生物量增加, 而浓度为1.0 mg· L-1时, 生物量降低[15]。也有研究报道, 0.1~1.0 mg· kg-1的硒可以抑制黑麦草的过氧化作用[16]。土壤含硒和外施硒肥能显著改变作物各部位硒及其他矿质元素含量, 然而, 外源硒的施用能否改变油菜体内各部位矿质元素的吸收积累特征, 何种施用方式和施用量效果最佳, 相关研究对此鲜见报道。本试验以盆栽油菜为供试体系, 分别采用土壤施硒和叶面喷施的方式, 各设置3个浓度, 旨在通过分析不同施硒方式及硒的施用量对油菜生物量、主要矿质元素吸收与迁移特征的影响, 探讨有助于油菜生长的最佳硒施用浓度及其施用方式, 进而为油菜合理施肥、增强抗病抗胁迫能力、降低化肥对农田环境污染等提供参考。
供试作物为中国农业科学院油料作物研究所选育的油菜中双9号。选取湖北省武汉市酸性黄棕壤为试验土壤, 土壤pH值4.8, 有机质含量2.12%, 碱解氮、速效磷、速效钾含量分别为69.73、29.87、47.64 mg· kg-1, 土壤总硒含量12.37 μ g· kg-1。
试验在华中农业大学微量元素中心盆栽场进行。试验设置对照(不添加外源硒处理, CK)、土壤施硒和叶面喷硒, 其中, 土壤施硒浓度分别为0.1、0.5、1.0 mg· kg-1, 相应地, 分别记为S0.1、S0.5、S1.0, 叶面喷硒浓度分别为0.1、0.5、1.0 mg· L-1, 相应地, 分别记为L0.1、L0.5、L1.0, 共计7个处理, 每个处理3次重复。以亚硒酸钠(Na2SeO3)为硒源。出苗后每盆定植2株。试验采用聚乙烯塑料桶进行, 每桶装土6 kg。将所有肥料配成溶液施入土壤, 大量元素施用量为N 0.2 g· kg-1、P2O5 0.15 g· kg-1、K2O 0.2 g· kg-1, 肥源分别为尿素、磷酸二氢铵和硫酸钾。微量元素营养参照Arnon营养液通用配方进行补充。土壤施硒在播种前配成溶液施入土壤, 充分混匀, 叶面喷硒从油菜四叶期开始喷施, 每10 d喷施1次, 共10次, 每次每盆喷施以叶片上下表面均匀浸湿为准(约100 mL硒溶液), 蕾薹初期采样。
将试验油菜样品分为根、茎、叶, 105 ℃杀青30 min, 于65 ℃烘干至质量恒定, 称量, 磨碎, 存于自封袋密封保存待用。土壤pH、有机质、有效氮、有效磷、速效钾含量采用常规方法测定。
油菜中硒含量的测定:采用HNO3-HClO4(体积比4:1)消解, 消解过程温度始终控制在180 ℃左右, 消解液在6 mol· L-1 HCl介质中还原, 冷却后, 定容过滤, 采用氢化物发生原子荧光光谱法(HG-AFS-8220)测定样品中硒含量[17]。
植物大量元素测定:称取油菜样品约0.15 g倒入消化管中, 用硫酸-过氧化氢消化, 消化至无色透明时为止, 冷却定容至50 mL。氮含量使用半微量蒸馏法测定, 磷含量使用钼锑抗比色法测定, 钾含量采用火焰光度计进行测定[18]。
植物中、微量元素的测定:称取样品约0.5 g倒入三角瓶底部, 加入硝酸和高氯酸(体积比4:1)混酸10 mL, 放置过夜后消化至无色透明为止, 定容至50 mL容量瓶中。钙、镁加入掩蔽剂后, 再与铁、锰、铜、锌使用AAS(原子吸收分光光度计)法测定[18]。
茎/根迁移系数=茎中元素累积量/根中元素累积量;
叶/茎迁移系数=叶中元素累积量/茎中元素累积量。
试验数据采用SPSS 19.0软件进行方差分析(多重比较采用Duncan法), 利用Excel 2007和Sigma Plot软件绘制图表。
从表1可以看出, 与CK相比, 土壤施用0.1 mg· kg-1的硒处理下, 油菜叶片和总质量增加较为明显, 分别增加了95.87%、56.24%。两种施硒方式下(土壤施用或叶面喷施), 低浓度的硒处理(0.1 mg· kg-1或0.1 mg· L-1)均增加了油菜整株的干质量, 但随着施硒浓度的增加, 油菜生物量均呈现下降趋势。
| 表1 硒处理对油菜各部位生物量(干质量)的影响 Table 1 Effects of Se application on rape dry biomass g |
两种施硒方式均显著增加了油菜根、茎、叶中硒含量, 促进植物对硒的吸收, 且随着施硒浓度的增加, 油菜各部位硒含量递增, 分别在土壤施用1.0 mg· kg-1和叶面喷施1.0 mg· L-1时达到最大值(图1)。土壤施硒促进硒从根向茎以及从茎向叶的迁移, 且随着硒浓度的升高, 其迁移特征呈现降低的趋势, 在1.0 mg· kg-1处理时达到最小值; 叶面施硒处理中, 0.5 mg· L-1处理组硒从根向茎的迁移量最大, 而从茎向叶的迁移量随着施硒浓度的增加递减。
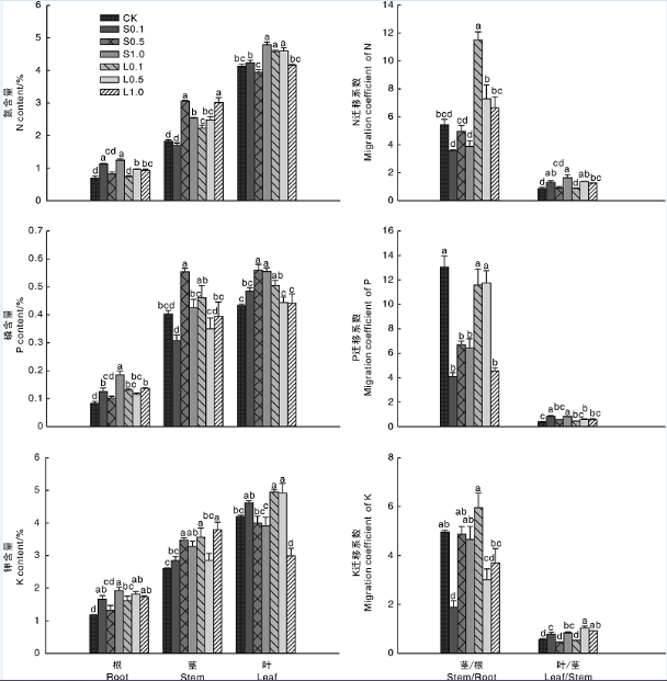
由图2可知, 与CK相比, 2种施硒方式均促进油菜对氮磷钾的吸收利用, 增加油菜根茎叶中氮磷钾含量, 且地上部分(茎、叶)氮磷钾含量明显高于地下部分(根)。其中, 土壤施硒1.0 mg· kg-1处理显著增加了油菜根、叶中氮和磷的含量, 以及油菜根、茎中的钾含量; 与CK相比, 油菜根、叶中氮和磷的含量分别增加了77.14%、15.77%和123.25%、28.02%。土施0.5 mg· kg-1硒显著增加了油菜茎中氮磷钾含量, 较对照(CK)分别增加了67.05%、37.47%和26.28%。叶面施硒处理, 在低浓度(0.1 mg· L-1)时显著提高了油菜茎和叶中氮磷钾含量, 而较高浓度(1.0 mg· L-1)时增加了油菜根中氮磷钾含量。
| 图2 硒对油菜根、茎、叶中氮磷钾含量及其迁移特征的影响Fig.2 Effects of Se application on contents and migration characteristics of N, P, K in rape root, stem, and leaf |
与CK相比, 土壤施硒处理促进了氮磷钾从茎向叶的迁移。叶片喷施0.1 mg· L-1的硒, 促进氮和钾从油菜根向茎的迁移, 较对照分别提高了111.19%和20.16%(图2)。
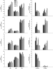
外源硒处理促进了油菜对钙和镁的吸收。如图3所示, 硒处理整体上增加了油菜根、茎、叶中钙和镁的含量, 且叶片中钙和镁含量高于茎和根。随着土壤施硒浓度的增加, 油菜根系钙和镁含量呈现降低的趋势, 而茎中钙和镁含量逐渐增加, 且在1.0 mg· kg-1土施硒处理下达到最大值, 较CK分别增加了49.06%、48.88%。叶片喷施硒处理对油菜茎中钙和镁的影响与土施硒效果基本一致, 同样在1.0 mg· kg-1处理时达到最大。
| 图3 硒对油菜根、茎、叶中钙镁含量及其迁移特征的影响Fig.3 Effects of Se application on content and migration characteristic of Ca, Mg in rape root, stem, and leaf |
硒作用下, 钙和镁从油菜根向茎的迁移高于从茎向叶的迁移, 在土施硒0.5 mg· kg-1和0.1 mg· kg-1处理组, 根中钙和镁向茎迁移达到最大值, 与对照相比, 分别增加了16.36%、44.37%。随着叶面喷施硒浓度的增加, 根中钙向茎迁移系数递增, 而镁的迁移系数递减。
由图4可知, 外源硒显著增加了油菜根中铁、锰、锌的含量及茎中锌的含量, 且在叶片喷施硒0.5 mg· L-1时, 根中铁、锰、铜含量最大, 较对照分别增加了120.8%、336.73%、46.24%。土壤施硒0.5 mg· kg-1时, 油菜根中锌及茎中铜、锌含量最高, 分别较对照增加了47.59%、17.5%、38.69%。随着土壤施硒浓度的增加, 叶片中铁含量呈现递增、锌含量呈现递减的趋势。随着叶片喷施硒浓度的增加, 叶片对铁、锰、铜的吸收呈现递增的趋势, 均在1.0 mg· L-1时达到最大值。
| 图4 硒对油菜根、茎、叶中铁锰铜锌含量及其迁移特征的影响Fig.4 Effects of Se application on content and migration characteristic of Fe, Mn, Cu, Zn in rape roots, stems, and leaves |
硒的施用降低了油菜铁和锌从根向茎的迁移, 促进了锰和铜从茎向叶的迁移。随着土壤施硒浓度的增加, 油菜中锰、铜、锌从茎向叶的迁移及铁从根向茎的迁移逐渐增加。随着叶片施硒浓度的增加, 油菜铁、铜、锌从茎向叶的迁移递增。
硒是人和动物的必需元素, 也是植物生长的有益元素。大量研究表明, 喷施或土施适量硒肥对农作物的生长、产量和品质具有积极作用[19, 20, 21]。油菜作为十字花科植物, 对硒有较强的富集能力, 研究硒作用下油菜对主要矿质元素的吸收、转运特征等的影响, 有助于深入研究硒促进油菜生长的营养机理, 进而为油菜养分管理和抗逆机制研究提供理论支持。
本研究通过土壤施硒和叶片喷施硒处理, 分别研究了不同施硒方式和不同浓度硒作用下, 油菜矿质养分特征。研究发现, 土施0.1、0.5 mg· kg-1和叶面喷施0.1 mg· L-1硒处理均有增加油菜生物量的趋势, 可能与处理后显著增加油菜茎中氮、磷、钾含量, 且促进氮、磷、钾从根向茎的迁移有关, 这与前人研究的结果基本一致[19, 22]。本研究中2种施硒方式均可显著提高油菜根、茎、叶中硒含量, 该结果同他人的研究结果相似。王永勤等[23]对大蒜的研究发现, 在试验设置浓度范围内, 土壤施硒和叶面喷硒均能显著增加大蒜的含硒量, 且随着外源硒浓度的升高含硒量也随之升高。此外, 本试验中2种施硒处理均增加了油菜根、茎、叶中氮、磷、钙、镁、锰含量。土施0.1 mg· kg-1和叶片喷施0.1 mg· L-1均显著增加叶片中K+含量, K+促进叶肉组织和根尖细胞及细胞器的完整性, 增强线粒体呼吸速率和叶绿体电子传递速率, 同时提高作物生物量[24]。付小丽[19]对小麦的研究发现, 施硒显著提高了小麦各部位氮、磷、钾含量以及茎秆中钙、镁含量, 与本试验结果相似。另有研究表明, 外源硒显著降低水稻叶片中铁、锌含量[25], 与本试验结果相似。综合本研究结果可看出, 外源硒整体上提高了油菜体内矿质元素的含量, 促进了油菜对大部分矿质养分的吸收与转运, 有助于提高油菜产量和品质, 增强油菜体内硒含量, 为提高油菜的抗逆能力提供了条件, 也为富硒农产品生产提供了参考。
深入分析硒作用下油菜对矿质养分迁移系数特征发现, 2种施硒方式均促进了氮、磷、钾、镁、铁、铜、锌从茎向叶的迁移, 抑制了磷、钾、镁、铁、锌从根向茎的迁移, 致使微量元素在叶片中含量增加。总体来看, 外源硒抑制了矿质养分从根向茎的迁移, 促进了矿质养分从茎向叶的迁移。
The authors have declared that no competing interests exist.
| [1] |
|
| [2] |
|
| [3] |
|
| [4] |
|
| [5] |
|
| [6] |
|
| [7] |
|
| [8] |
|
| [9] |
|
| [10] |
|
| [11] |
|
| [12] |
|
| [13] |
|
| [14] |
|
| [15] |
|
| [16] |
|
| [17] |
|
| [18] |
|
| [19] |
|
| [20] |
|
| [21] |
|
| [22] |
|
| [23] |
|
| [24] |
|
| [25] |
|

