作者简介:谢杰(1983—),男,湖南醴陵人,博士,助理研究员,主要从事农田重金属污染修复研究。E-mail:jerous.xie@outlook.com
为了解中长期时间尺度上紫云英翻压还田对土壤Cd垂直迁移和形态的影响,选择长年种植和翻压紫云英还田的稻田土壤进行调查,分析其对土壤pH值、有机质含量、水溶性有机物(DOM)含量、Cd含量和形态的影响。结果表明,相对于常规化肥处理,紫云英长期还田条件下,不同深度土层的pH值、有机质含量升高,土壤表层(0~20 cm)的DOM含量显著( P<0.05)升高,虽未对土壤Cd产生明显的淋洗效果,但各土层中具有生物活性的Cd形态占总Cd的比例明显升高。相较于土壤有机质含量,可溶性有机碳占土壤有机碳的比例和pH与Cd形态有更好的线性关系。
To study the effect of cultivation and returning of Astragalus sinicus L. on vertical migration and form changes of soil Cd in medium-and long-term scale, soil samples were collected on paddy fields with long-term cultivation and returning of A. sinicus. The soil pH, contents of organic matter (OM) and dissolved organic matter (DOM), Cd content and forms were analyzed. It was shown that, the pH and the OM content in different soil layers were higher with long-term cultivation and returning of A. sinicus. Long-term cultivation and returning of A. sinicus significantly ( P<0.05) increased DOM content in surface soil layer (0-20 cm), yet showed no significant leaching effect on soil Cd. However, the proportion of bioactive Cd forms in each soil layer was elevated with long-term cultivation and returning of A. sinicus. Compared to soil OM content, the ratio of dissolved organic carbon to soil organic carbon (DOC/SOC) and pH showed better linear correlation with Cd forms.
稻田作为我国主要的耕作土壤类型之一, 在保障粮食安全生产上具有举足轻重的地位。据2014年公布的《全国土壤污染调查公报》, 全国土壤总超标率为16.1%, 耕地点位超标率为19.4%, 其中以重金属为主的无机污染物占超标点位的82.8%。近年来, 由重金属污染引起的食品安全问题时有报道, 造成了一定的社会影响。其中, 镉(Cd)由于土壤本底含量低、对人体健康危害大, 受到人们格外关注。
紫云英(Astragalus sinicus L.)等绿肥的应用能缓慢地提高土壤有机质含量, 对于提升耕地质量、减施化肥和改善农田生态环境具有积极作用。2015年, 农业部印发《到2020年化肥施用量零增长行动方案》, 将发展果园绿肥和冬闲田绿肥种植作为实现化肥施用零增长的重要手段。
紫云英等绿肥的使用往往是在水稻种植前将其翻压入田, 通过矿化分解为后茬水稻提供养分。紫云英等绿肥在土壤中的矿化过程呈现明显的阶段性:一些容易矿化的新鲜有机物质最先腐解, 产生大量的水溶性有机物(DOM), 构成土壤的活性碳库和有机氮源, 为微生物提供能量; 之后, 纤维素、半纤维素等一些相对较难分解的有机物开始矿化, 构成土壤的潜在碳库[1]。研究表明, 紫云英翻压90 d内腐解率达到60%以上, 较油菜秸秆高出50%左右[2]。丁昌璞等[3]使用伏安法对紫云英腐解过程所产生的DOM进行分析发现, 腐解的2~5 d, DOM含量显著上升, 且DOM种类比水稻秸秆的腐解产物复杂, 证实紫云英腐解过程可以产生种类繁多的DOM。气相色谱法分析发现, 紫云英腐解产生的有机物质中包括多种挥发性有机酸, 但腐解30 d后水培液中检测不到挥发性有机酸, 表明紫云英腐解的第一阶段确实产生了大量的DOM, 且残留物较少[4]。
DOM能够降低土壤对重金属的吸附, 提高土壤中重金属的活性。DOM中含有的— COOH、— OH、— NH2, 以及C=O等多种官能团, 都可能与重金属发生配位、络合反应, 使DOM成为重金属迁移活化的载体[5]。在南方酸性较强的土壤中, 紫云英腐解产生的DOM会导致土壤重金属生物有效性提高[6]。水稻收获后土壤的交换态Cd含量与DOM含量呈明显的正相关[7]。Xie等[8]研究表明, 紫云英快速腐解期, 土壤溶液中水溶性Cd的含量出现了明显的增加。长年种植和翻压紫云英可能会导致土壤中Cd活性增加, 部分水溶态Cd可能随水流向土壤深层次发生迁移, 对环境造成不利的影响。
然而, 紫云英DOM这种天然的络合物对于Cd的迁移作用注定是缓慢且微弱的。为此, 特从中长期时间尺度上种植紫云英的定位试验点采集不同层次的土壤样品, 分析不同深度土壤的基本性状和Cd形态、总量的关系, 试图揭示紫云英长期还田对土壤Cd的影响, 旨在为重金属污染风险管控区紫云英的安全种植和利用提供指导。
大田调查的土壤样品来自于江西省内长期种植并翻压紫云英还田的3个试验点:南昌试验点, 位于南昌县莲塘镇, 属于江西省农业科学院土壤肥料与资源环境研究所建设的江西省土壤肥力变迁国家定位试验点(28° 57'N, 115° 94'E), 属中亚热带季风气候区, 海拔25 m, 年平均气温17.5 ℃, 年平均降水量1 600 mm, 年无霜期约为280 d, 试验点紧邻105国道, 土壤类型为第四纪亚红黏土母质发育而成的中潴黄泥田, 种植紫云英年限为32 a; 余江试验点, 位于鹰潭市余江区邓埠镇, 属邓家埠水稻原种场(28° 12'N, 116° 50'E), 属于中亚热带季风气候区, 海拔30 m, 年平均气温18.2 ℃, 年平均降水量1 741 mm, 年均日照时数1 750 h, 年无霜期长达258 d, 试验点紧邻320国道, 土壤类型为河流冲积物发育而成的中潴黄泥田, 种植紫云英年限为9 a; 丰城试验点, 位于丰城市张巷镇范桥村(28° 15'N, 115° 92'E), 属于中亚热带季风气候区, 海拔25 m, 年平均气温15.3~17.7 ℃, 年均降水量1 552 mm, 年均日照时数1 936 h, 年无霜期约为274 d, 试验点距离国省干道较远, 土壤类型为河流冲积物发育而成的黄泥田, 种植紫云英年限为10 a。
各试验点因试验内容不同, 试验设置亦有所不同, 但均设置有纯化肥处理(F)、早稻翻压紫云英还田-晚稻纯化肥(F+M)2个处理, 且均设有3个重复。各试验点的F+M处理均在早稻前翻压紫云英22.5 t· hm-2还田, 晚稻化肥用量与F处理相同, 但在余江试验点和丰城试验点, F+M处理的早稻化肥用量减为F处理的60%, 而南昌试验点F+M处理的早稻化肥用量与F处理相同。各试验点F处理早、晚稻的具体施肥量如下:余江试验点和丰城试验点, 早稻N、P2O5、K2O投入量分别为150、75、120 kg· hm-2, 晚稻N、P2O5、K2O投入量分别为180、75、150 kg· hm-2; 南昌试验点, 早稻N、P2O5、K2O投入量分别为150、60、150 kg· hm-2, 晚稻N、P2O5、K2O投入量分别为180、60、150 kg· hm-2。所有试验点氮肥均采用尿素(N 46%), 磷肥均采用过磷酸钙(P2O5 12%), 钾肥均采用氯化钾(K2O 60%)。
使用土钻分层(0~20、20~40、40~60 cm)采集各试验点土壤样品。各小区分散采集4个样点, 确保各小区不同深度土层的土壤样品大于1 000 g。所有样品采集后立即使用自封袋密封保存, 带回实验室后, 土壤样品经过摊晾风干, 四分法缩取土壤至300 g左右, 研磨后分别过20目(0.9 mm)和100目(0.15 mm)尼龙筛网备用。
土壤总Cd的测定参照GB/T 17141— 1997进行。不同形态的Cd按照Tessier等[9]提出的连续提取法进行提取, 用石墨炉原子吸收分光光度计(PinAAcle 900T, PerkinElmer, 美国)测定。测定条件如下:样品进样量20 μ L, 稀释液(超纯水)进样量5 μ L, 磷酸氢二铵(基体改进剂)5 μ L, 干燥温度110 ℃, 灰化温度500 ℃, 原子化温度1 600 ℃, 清除温度2 450 ℃。测定土壤中的可交换态和碳酸盐结合态Cd含量时, 为消除较高的基体效应, 样品经仪器自动稀释5倍后进样。土壤中残渣态Cd含量采用差减法进行计算。
土壤DOM采用水振荡提取法提取[10], 提取液于-18 ℃条件下避光保存于冰柜中, 使用前在冰箱中4 ℃条件下避光解冻。土壤水溶液经过0.45 μ m水性滤膜(WondaDiskII, SHIMADZU-GL, 日本)过滤后使用multi N/C 3100 TOC分析仪(Analytik Jena, 德国)测定水溶液中可溶性有机碳(DOC)、可溶性总氮(DTN)含量。使用SmartChem 200全自动间断化学分析仪(AMS Alliance, 意大利)检测土壤水溶液中的氨氮(N
土壤pH值的测定参照NY/T 1121.2— 2006进行, 按1:2.5的土水质量体积比制备浸提液, 用pH计(FE20, 梅特勒, 瑞士)测定。土壤有机质含量参照NY/T 1121.6— 2006, 采用重铬酸钾外加热— 硫酸亚铁滴定法测定。
以上项目均设置空白样以控制数据质量。
使用Excel 2010和SPSS 24等软件进行数据整理与统计分析, 使用Origin 8.5制图, 使用MATLAB 2016a进行数据方程的拟合。
如表1所示, 随着土层加深, 土壤pH逐渐升高。余江试验点0~20 cm土层, 南昌试验点0~20、20~40 cm土层, 丰城试验点20~40、40~60 cm土层, F+M处理的土壤pH均值显著(P< 0.05)高于F处理。这表明, 相对纯化肥处理而言, 紫云英长期还田有助于缓解土壤酸化问题。
| 表1 各处理不同土层的pH值和有机质含量 Table 1 Organic matter content and pH value in different soil layers under different treatments |
紫云英长期还田显著(P< 0.05)提高了南昌试验点和丰城试验点0~20 cm土层有机质的含量, 增幅分别为16.80%和10.47%。可以看出, 紫云英长期还田对土壤有机质含量的提升效果仅限于稻田土壤的浅层(0~20 cm), 中下层(20~60 cm)土壤因为很难被扰动, 且植物残体等有机物质难以迁移到此深度, 因而不同处理的有机质含量并未表现出显著差异。
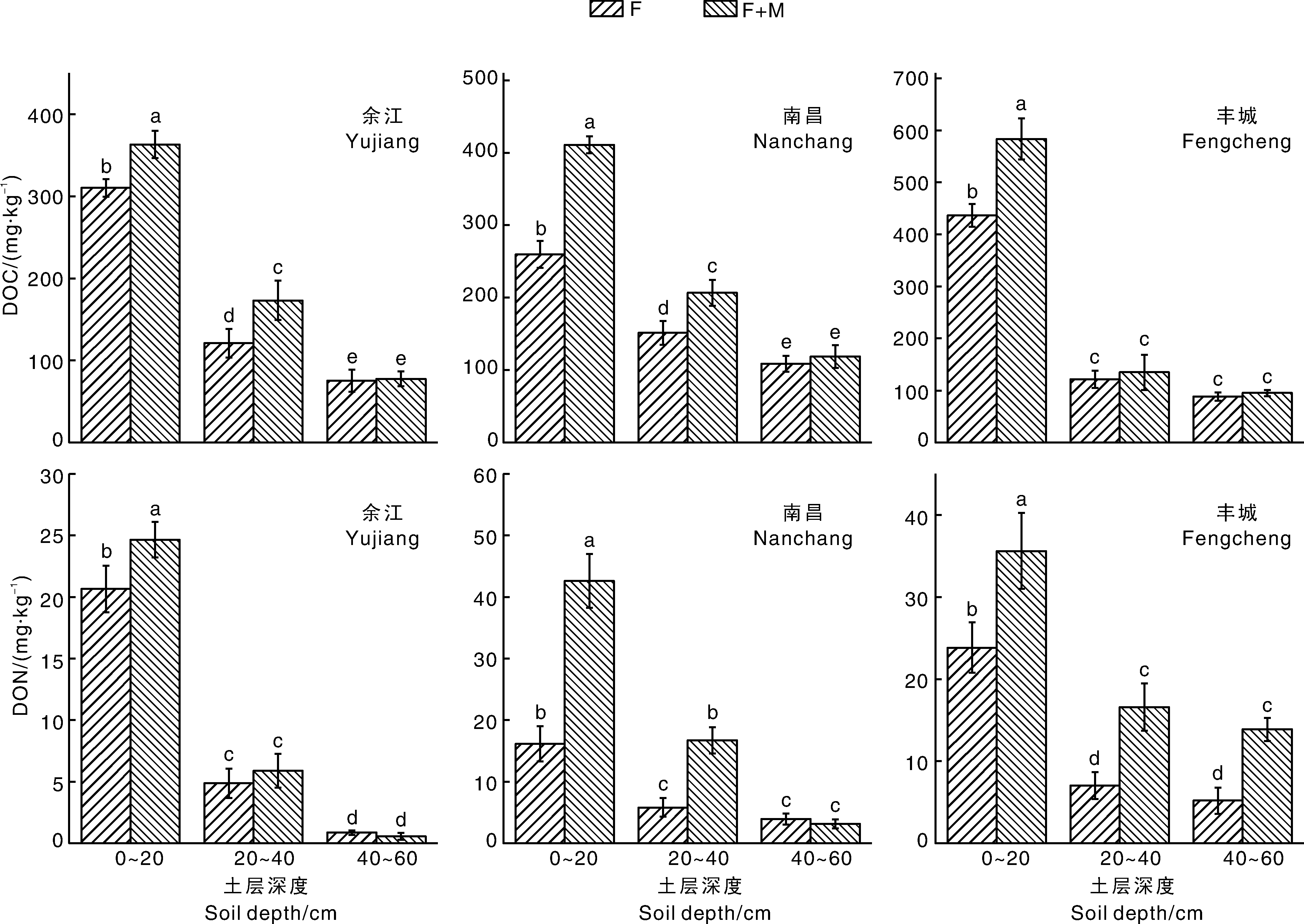
同一处理随着土层加深, 土壤DOC和DON含量总体下降(图1)。紫云英长期还田可以显著(P< 0.05)增加稻田耕作层(0~20 cm)土壤的DOC含量, 余江、南昌、丰城试验点的增幅分别为17.02%、58.14%和33.72%。在20~40 cm土层, 余江和南昌试验点F+M处理的DOC含量分别较F处理显著(P< 0.05)增加42.95%和36.67%。在40~60 cm土层, 3个试验点不同处理的土壤DOC含量均未表现出显著差异。
在0~20 cm土层, 各试验点F+M处理土壤的DON含量均较F处理显著(P< 0.05)增加; 在20~40 cm土层, 南昌、丰城试验点F+M处理土壤的DON含量较F处理显著(P< 0.05)增加; 在40~60 cm土层, 仅丰城试验点F+M处理土壤的DON含量较F处理显著(P< 0.05)增加。
对各处理不同土层的DOC和DON含量进行相关性分析(图2), 两者具有极显著(P< 0.01)的正相关性。这意味着, 本试验中土壤DOC和DON具有相同的来源。
土壤有机碳流失系数指的是土壤中DOC与土壤有机碳(SOC, 其值等于土壤有机质含量除以1.724)的比值, 即DOC/SOC, 可用于表征土壤有机碳的流失能力, 在数值上与SOC的矿化能力呈正相关关系[11]。如表2所示, 各试验点中, F+M处理0~20、20~40 cm土层的DOC/SOC均显著(P< 0.05)高于F处理; 在40~60 cm土层, 丰城试验点表现为F+M处理显著(P< 0.05)高于F处理, 南昌试验点表现为F处理显著(P< 0.05)高于F+M处理, 而余江试验点表现为处理间无显著差异。可以认为, 紫云英长期还田有助于增加0~40 cm土层的DOC/SOC, 提高土壤中有机碳的迁移能力。
| 表2 不同处理各土层的DOC/SOC Table 2 DOC/SOC in different soil layers under different treatments % |
从表3可以看出, 各试验点不同处理下, 土壤总Cd含量均呈现出从表层往深层逐渐降低的趋势。同一土层中, 除余江试验点0~20 cm土层外, 不同处理的土壤总Cd含量均无显著差异。从总Cd含量上考查, 紫云英长期还田对总Cd并没有表现出明显的淋洗效果。
| 表3 各试验点不同土层的总Cd含量 Table 3 Total Cd content in different soil layers under different treatments mg· kg-1 |
分别测定不同土层中可交换态、碳酸盐结合态、铁锰氧化物结合态、有机结合态、残渣态Cd的含量(图3)。这5种形态的Cd, 被植物吸收利用的难度依次增加。不同土层中, 各形态Cd占比的绝对值存在较大差别, 但3个试验点各土层均表现为F+M处理的可交换态Cd占比(余江试验点40~60 cm除外), 以及可交换态+碳酸盐结合态Cd占比之和高于F处理, 且各试验点土层F+M处理残渣态Cd的占比低于F处理(丰城试验点40~60 cm土层除外)。这说明紫云英长期还田会增加土壤中容易被水稻等作物吸收的Cd所占的比例, 同时降低残渣态Cd的占比, 即紫云英长期还田会增加土壤Cd的活性。
一般认为, 影响土壤重金属形态最主要的因素是土壤的pH值和有机质含量[12]。由于残渣态Cd一般难以被作物利用, 因此残渣态Cd可以被称为不具有生物有效性的Cd, 相应地, 可交换态、碳酸盐结合态、铁锰氧化物结合态、有机结合态Cd可以统称为具有生物有效性的Cd。将pH值(x1)和有机质含量(x2)的对数值(lg x2)与具有生物有效性的Cd含量占比(y)的对数(lg y)进行线性拟合(表4), 拟合的决定系数(R2)随Cd形态数量的增加逐渐增加, 可交换态下, 其决定系数为0.467 6, 但当Cd形态增加到可交换态、碳酸盐结合态、铁锰氧化物结合态、有机结合态时, 其决定系数为0.635 8。这表明, 土壤有机质含量和pH值并不只影响一种Cd形态, 而是会对所有具有生物有效性的Cd形态都产生影响。
在表4中, lg x2、x1与lg y分别呈负相关关系。这说明, 土壤有机质含量和pH值的增加都会降低土壤中具有生物有效性的Cd的占比。这与一般认识相符:土壤pH值的提升会促进Cd生成氢氧化物等沉淀, 增加土壤颗粒对Cd的吸附能力, 从而降低Cd的生物有效性; 而有机质能够通过其表面丰富的官能团对Cd进行吸附固定[13], 从而降低Cd的生物有效性。
| 表4 Cd形态占比与土壤pH值和有机质含量的线性关系(n=54) Table 4 Linear regression within proportion of Cd forms and pH, organic matter content in soil |
进一步使用土壤pH值(x1)和有机碳流失系数(x3)的对数值(lg x3)与具有生物有效性的Cd含量占比(y)的对数(lg y)进行线性拟合(表5), 从拟合结果看, x1、lg x3与可交换态Cd、可交换态+碳酸盐结合态Cd、可交换态+碳酸盐结合态+铁锰氧化物结合态Cd、可交换态+碳酸盐结合态+铁锰氧化物结合态+有机结合态Cd的决定系数分别为0.537 5、0.517 9、0.637 8和0.588 5。可以看出, 相对于单纯的有机质含量, 有机碳流失系数整体上对紫云英长期还田条件下土壤Cd形态的变化有着更好的解释效果。
| 表5 Cd形态占比与土壤pH和有机碳流失系数的线性拟合方程(n=54) Table 5 Linear regression within proportion of Cd forms and pH, organic carbon loss coefficient in soil |
在拟合方程中, lg x3项的系数均为正值, 表明有机碳流失系数的增加会导致土壤中具有生物活性的Cd形态占比增加; x1项的拟合系数出现了分化, 在与可交换态Cd、可交换态+碳酸盐结合态Cd的拟合方程中为负数; 而在与可交换态+碳酸盐结合态+铁锰氧化物结合态Cd、可交换态+碳酸盐结合态+铁锰氧化物结合态+有机结合态Cd的拟合方程中为正值, 系数分别为0.015 6和0.029 6, 这与通常所理解的土壤pH值对Cd生物有效性的作用不符。考虑到后2个拟合方程中pH项的系数很小, 可能仅具有数学上的意义, 因此并不能反映实际状况下土壤pH值对生物有效性Cd的影响。
南方酸性土壤较低的pH值使得土壤中Cd的活性显著高于北方碱性土壤[14]。土壤中H+浓度的增加会导致土壤黏粒和有机质表面的负电荷减少, 降低土壤对重金属的吸附能力, 使更多的重金属能够脱离土壤颗粒的束缚而被作物所利用, 从而增加重金属的活性[15, 16]。化肥(尤其是铵态氮肥)的使用[17]和豆科作物在生物固氮的同时释放到土壤中的H+[18, 19], 均会诱导土壤酸化。
本研究表明, 长年种植和翻压紫云英能减缓土壤的酸化过程, 这对于降低土壤中Cd的有效性具有重要的意义。学术界普遍认为, 土壤对Cd的吸附量与土壤pH值成正相关[15]。有研究表明, 即使是种植和翻压1 a紫云英, 土壤的pH值也会显著高于纯化肥处理[6]。造成这种现象的原因, 一方面是紫云英还田减少了部分氮肥的施用; 另一方面, 紫云英还田提高了土壤有机质含量, 有机质中碱性物质的释放会消耗土壤质子。两者的共同作用抵消了紫云英固氮过程中分泌有机酸对土壤的酸化, 减缓了土壤的酸化进程。
绿肥还田可以显著提高土壤的有机质含量[20]。紫云英翻压还田提升水稻田土壤有机质含量主要是通过2种形式实现的:耕作层中, 有机质含量的增加主要得益于颗粒态有机物(POM)的增加, 这主要是紫云英腐烂后, 残留的纤维素、木质素等有机物质经土壤腐殖化作用生成腐殖质所致[21, 22], 该过程具有明显的累积效应, 所以紫云英种植年限越长, 耕作层中有机质的绝对增加量越高; 而耕作层以下的土壤中, 由于厚重的犁底层的存在, POM垂直迁移受阻, 因而F+M与F处理的总有机质含量并没有显著差异。在耕作层以下土层中, 不同处理的DOM含量表现出一定差异。这主要是因为, 紫云英分解过程中产生了大量的DOM, 尤其是富里酸类DOM组分[23], 能够在重力作用下随着水流向土壤深层转移, 从而提高紫云英还田处理的DOM含量。
DOM是一类能够溶解于水并随水迁移的有机物, 土壤中25%~50%的DOM是以富里酸为主的腐殖酸和其他低分子量的有机物, 同时也包括蛋白质、多糖、生物酶等大分子物质[24]。DOM含有较多的活性官能团, 可以充当污染物的“ 配位体” 和“ 载体” , 改变Cd在土壤颗粒中的吸附-解吸过程, 并通过螯合、络合等化学作用形成有机质-重金属配合体, 抑制土壤对Cd等重金属的吸附行为, 增加其生物有效性[25, 26]。
研究表明, DOM与土壤重金属间的相互关系取决于土壤性质[27], 以及DOM来源[28]、组分[29, 30, 31]、分子量[32]、芳香化程度[8, 33]等因素。Sauvé 等[34]发现, DOM增加300%~400%时, 土壤中可溶性Cu的含量也显著增加。单玉华等[35]发现, 向砂质壤土中添加的稻秆和麦秆质量越大, 土壤溶液中Cd的溶出量越大。王艮梅等[36]发现, 豆科绿肥(蚕豆)秸秆产生的DOM对土壤Cu的溶出效果强于猪粪DOM, 并认为分子量低和亲水组分较多是造成这一现象的主要原因。
关于DOM对Cd垂直迁移的影响多通过土柱和室内模拟试验进行。Gerritse[37]研究发现, Cd的垂直迁移性能随土壤DOM含量的增加而增强。高太忠等[38]使用垃圾渗滤液进行的外源有机物土柱淋洗试验表明, DOM对土壤Cd、Zn的垂直迁移起到了促进作用。李小孟等[39]通过试验发现, DOM可以显著缩短Cd、Cu、Cr等重金属通过土柱的时间, 促进重金属的垂直迁移。
本研究表明, 紫云英长期还田虽然提高了土壤中DOM的含量, 但并没有增加中下层土壤中Cd的总量, 表明紫云英DOM对Cd的淋洗效果并不突出, 与前人的研究结果并不一致。这可能与土壤特性有关。土壤pH对DOM的迁移能力有重要影响。有研究表明, 当土壤pH值为7.4时, 约有60%~80%的DOM被土壤吸附; 而当土壤pH值为4.5时, 几乎所有的DOM均会被土壤吸附[40]。本研究所采集的3个定位试验点均为酸性红壤, DOM容易质子化, 且红壤中Fe、Al氧化物也会对DOM产生强烈的吸附作用[36], 这都限制了紫云英DOM对Cd的淋洗作用。
部分研究将不同形态的Cd含量与土壤pH值或有机质含量分别进行相关性拟合[41, 42], 这样做可能是有失偏颇的。土壤pH值和有机质含量共同影响着土壤Cd的形态:一方面, 土壤pH值越高, Cd的有效性越低, 而有机质本身就具有提高土壤pH的能力; 另一方面, 土壤有机质中POM和DOM的具体成分, 会影响其究竟对Cd是起钝化还是活化作用[43, 44]。一般认为, 土壤POM能与Cd离子发生络合、沉淀等化学反应, 形成稳定的重金属-颗粒态有机质复合体, 降低Cd在土壤中的生物有效性和流失风险[5, 45, 46], 而DOM则有提高Cd有效性的能力。
另外, 有部分研究将各形态的Cd含量单独与作物体内的Cd含量进行相关性分析[42, 47], 这也是值得商榷的。事实上, 作物对Cd等重金属吸收的应是活性较高的多种形态, 因此有效态Cd含量实际上应包括活性相对较高的多种Cd形态。鉴于此, 本研究分析了逐级累加Cd形态的占比和pH、DOC/SOC的相关性。
逐级累加Cd形态占比的表述方式更接近于前文所述“ 有效态Cd” 的定义。研究证实, 对水稻具有生物有效性的Cd形态至少应包含可交换态、碳酸盐结合态和铁锰氧化物结合态这3种形态[48]。本研究表明, 随着土壤深度增加, 土壤DOC/SOC逐渐增加, 即DOC在SOC中的比例逐渐上升。针对土壤Cd形态与pH、有机质含量、DOC/SOC的相关性分析表明, DOC/SOC与pH值能够和土壤Cd形态构建起相关性较好的拟合关系, 说明pH值和土壤SOC中DOC的占比可以影响到土壤中Cd的形态。
在评价土壤有机质对重金属的影响时, 引入DOC/SOC具有一定的参考意义。该参数从表面上看是土壤SOC的溶解能力, 但由于该参数显示了DOC在土壤有机碳的比例, 因而能够在一定程度上阐述土壤有机质的构成。该比值较高, 意味着DOM在有机质中的比例也较高, 此时必须考虑DOM对土壤重金属的影响; 而当该比值较低时, 土壤POM对重金属形态起主导作用, 更多地倾向于降低重金属的生物有效性。
对长年翻压紫云英还田的余江、南昌、丰城3个试验点的土壤进行了分层取样, 分析了长时间尺度上其对土壤pH值、有机质和DOC含量的影响, 并进一步分析了土壤中Cd的含量和形态, 以及Cd形态与pH、有机质、DOC/SOC的相关性。主要结论如下。
(1)不同深度的土层中, 土壤pH随着土壤深度加深而升高。紫云英长期还田能够有效减缓土壤的酸化。
(2)紫云英长期还田可以显著提高不同深度土壤的有机质含量, 除了显著提升浅层(0~20 cm)土壤中有机质的含量外, 对20~40、4060 cm土壤的有机质含量也有一定的提升效果。
(3)各个试验点F和F+M处理间, 除余江试验点0~20 cm土层外, 相同土层的总Cd含量并没有显著差异。紫云英虽然在翻压后的快速腐解期极大地提高了土壤水溶液中的Cd含量, 但从较长的时间尺度上来看, 在本试验条件下并不致对土壤Cd产生明显的淋洗作用。
(4)虽然F+M处理的土壤pH值和有机质含量高于F处理, 但由于土壤中DOM含量较高, 土壤中紫云英DOM对Cd的活化作用不容忽视, 因此有生物活性的Cd形态占比明显高于F处理。各形态Cd累积占比与土壤pH值和DOC/SOC进行拟合的效果较好, 说明土壤有机质组成是影响土壤Cd形态的关键因素之一。
| [1] |
|
| [2] |
|
| [3] |
|
| [4] |
|
| [5] |
|
| [6] |
|
| [7] |
|
| [8] |
|
| [9] |
|
| [10] |
|
| [11] |
|
| [12] |
|
| [13] |
|
| [14] |
|
| [15] |
|
| [16] |
|
| [17] |
|
| [18] |
|
| [19] |
|
| [20] |
|
| [21] |
|
| [22] |
|
| [23] |
|
| [24] |
|
| [25] |
|
| [26] |
|
| [27] |
|
| [28] |
|
| [29] |
|
| [30] |
|
| [31] |
|
| [32] |
|
| [33] |
|
| [34] |
|
| [35] |
|
| [36] |
|
| [37] |
|
| [38] |
|
| [39] |
|
| [40] |
|
| [41] |
|
| [42] |
|
| [43] |
|
| [44] |
|
| [45] |
|
| [46] |
|
| [47] |
|
| [48] |
|

