作者简介:房玉伟(1982—),男,山东鱼台人,农艺师,主要从事水稻新品种选育工作。E-mail: 419044930@qq.com
对2001—2017年中国年推广面积大于0.67万hm2的优质杂交稻品种信息进行了统计分析,主要结果如下:(1)2001—2017年,优质杂交稻组合数大幅增加,从2001年的19个组合、推广面积123.2万hm2增加到2017年的214个组合、推广面积706.2万hm2,所占比例也由不足10%提高到60%;(2)年推广面积达到或超过0.67万hm2的优质两系和三系组合数分别为133和382个,累计推广面积分别达到2 565.9万hm2和5 375.0万hm2;(3)主推组合的整精米率、直链淀粉含量、胶稠度、垩白率和垩白度等理化指标得到大幅改善;(4)种业公司更加注重优质两系组合的选育和推广,而省级及以上育种单位在三系组合选育方面更具优势;(5)生产中大面积应用的优质两系不育系有Y58S、广占63S、广占63-4S等,三系不育系有中9A、宜香1A、天丰A等,扬稻6号、广恢998、蜀恢527、华占等则是优质组合的骨干恢复系。还分析了当前品质育种存在的问题,提出了稻米品质改良策略。该研究结果可为优质杂交稻的选育和推广提供借鉴。
To understand state quo of the utilization of high-quality hybrid rice varieties in China, the information of high-quality hybrid rice varieties with promotion area exceeded 6 700 hm2 during 2001-2017 were collected and analyzed. The results showed that: (1) The number of high-quality hybrid rice combinations sharply increased from 19 to 214 during the 17 years, and the proportion of their planting area increased from 10% (1 232 000 hm2) in 2001 to 60% (7 062 000 hm2) in 2017; (2) The numbers of high-quality two-line and three-line hybrid rice combinations with annual promotion area exceeded 6 700 hm2 were 133 and 382 respectively, with total annual promotion area of 25 659 000 hm2 and 53 750 000 hm2 , respectively; (3) The quality indexes including the head rice rate, amylose content, gel consistency, chalky grain percentage and chalkiness degree of the main planting varieties were significantly improved; (4) The seed companies were more focused on the high-quality two-line hybrid rice breeding and promotion, while the public breeding institutions had advantage in the high-quality three-line hybrid rice breeding; 5) The photo-thermo-sensitive genic male sterile (PTGMS) lines used large-scale in the high-quality two-line hybrid rice breeding were Y58S, Guangzhan 63S and Guangzhan 63-4S, etc., while the cytoplasmic male sterility (CMS) lines used large-scale in the high-quality three-line hybrid rice breeding were Zhong 9A, Yixiang 1A and Tianfeng A, etc. Yangdao 6, Guanghui 998, Shuhui 527 and Huazhan, etc. were the key restorer lines for high-quality three-line hybrid rice breeding. In addition, problems existed in high-quality rice breeding were analyzed, and countermeasures for the quality improvement were proposed. This study could provide guidance for breeding and promotion of high-quality hybrid rice in future.
我国自从1964年开展杂交水稻研究以来, 取得了一系列突破性的重大科研成果[1, 2, 3, 4]。我国杂交稻于1973年实现三系配套, 1976年开始三系杂交稻大面积推广应用; 1973年发现光温敏不育材料, 1995年育成用于大面积生产的两系杂交稻品种; 之后杂交水稻种植面积不断扩大。杂交水稻主要分布在湖南、湖北、江西、安徽、广东、广西、贵州、四川、重庆、浙江、福建、海南、河南等省份, 常年种植面积占全国水稻总面积的50%以上。据农业农村部统计, 2008年杂交稻种植面积达到1 596万hm2, 占全国水稻总面积的63%; 从2009年开始, 种植总面积逐年下降。杂交稻面积减少有诸多原因[4], 其中一个重要因素是稻米品质不能满足人们日益提高的需求。
全国农作物主要品种推广情况统计表(2001— 2017年)列出了年推广面积达到或超过0.67万hm2的杂交稻组合及其种植省份和面积。笔者利用国家水稻数据库(http://www.ricedata.cn/variety/index.htm)查阅列入统计组合稻米品质数据, 统计分析了2001— 2017年我国年推广面积大于0.67万hm2的优质杂交稻(本文优质稻定义:任何一个省份审定米质达国标或部标三级及以上)在组合数量、种植面积、稻米品质等方面的变化趋势; 总结了主要优质组合及其不育系和恢复系推广应用情况; 探讨了当前品质育种存在的问题, 提出了优质杂交稻发展策略; 以期为下一步优质杂交稻的选育和推广提供科学依据。
对优质杂交稻品种数量进行逐年统计可知, 2001年以来, 我国年推广面积大于0.67万hm2的优质杂交稻逐年增加(表1), 特别是两系组合增长速度较快, 2001年仅有2个组合达到优质稻标准, 2017年达到75个。
| 表1 2001— 2017年历年种植面积大于0.67万hm2优质杂交稻组合数量 Table 1 Numbers of high-quality hybrid rice combinations with plating area exceeded 6 700 hm2 from 2001 to 2017 |
从图1可知, 2001— 2017年, 优质杂交稻推广面积和所占杂交稻总面积比例都呈现逐年增加的趋势。优质两系和三系组合的种植面积分别由2001年的14.8万hm2、108.4万hm2增加到2017年的286.7万hm2、419.5万hm2; 优质杂交稻所占比例2001年不足10%, 2017年达到60%。
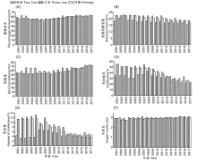
理化指标是评价稻米品质的重要参考指标[5, 6, 7, 8, 9]。本文分析了历年推广面积排名前25位的主推组合的整精米率、直链淀粉含量、胶稠度、垩白率、垩白度、长宽比共6个指标的变化规律。
17年间, 整精米率得到较大改善, 三系组合整精米率由2001年的55.9%提高到2017年的61.8%, 2008年国审组合甬优9号整精米率达到72.7%。2009— 2017年两系组合平均整精米率比三系组合高出2个百分点(图2-A)。
从图2-B可知, 直链淀粉含量明显下降, 2017年平均值17.1%, 比2001年下降了5.1百分点; 除2003年外, 两系组合直链淀粉含量均低于三系, 2017年为15.5%, 2010— 2013年推广面积排名第一的优质组合Y两优1号直链淀粉含量为13.4%。
主推组合由中胶稠度向软胶转变(图2-C), 由2001年的53.7 mm增加到2017年的72.4 mm, 整体来看两系组合优于三系, 主推组合隆两优华占、深两优5814等胶稠度均大于80 mm。
垩白率和垩白度大幅下降(图2-D和图2-E), 分别由2001年的54.7%、11.3%, 下降到2017年的22.9%、4.2%; 三系组合垩白改善效果明显, 2007— 2017年, 垩白率和垩白度分别下降了34.0百分点和8.5百分点。
2001年到2017年, 三系杂交组合谷粒长宽比增加(图2-F), 2001— 2011年为2.7~2.9, 2015年达到了3.1, 如四川省主推优质组合— — 川优6203谷粒长宽比达到3.5, 米质国标2级。两系组合无显著变化, 部分优质组合表现突出, 比如两优287和隆两优华占的谷粒长宽比为3.5和3.3。
2001— 2017年, 年推广面积达到0.67万hm2的优质两系组合有133个, 累计推广总面积2 565.9万hm2。其中累计推广面积在(0.67~5.00)万hm2的组合有66个(占总数的49.6%), 合计推广面积118.9万hm2, 仅占累计推广总面积的4.6%; 累计推广超过30万hm2的组合有16个, 合计推广面积1 782.9万hm2, 占推广总面积的69.5%(表2)。累计面积超过66.7万hm2的组合有8个, 其中丰两优1号推广面积最大, 2002— 2017年累计推广面积300.8万hm2, 占优质两系组合推广总面积的11.7%。
| 表2 2001— 2017年主要优质两系组合推广面积及其亲本 Table 2 Planting area and parents of major high-quality two-line combinations from 2001 to 2017 |
2001— 2017年, 年推广面积达到0.67万hm2的优质三系组合382个, 累计推广总面积5 375.0万hm2。其中累计推广面积在(0.67~5.00)万hm2的组合有198个(占总数的51.8%), 合计推广面积418.5万hm2, 仅占累计推广总面积的7.8%; 累计推广超过30万hm2的组合有46个, 合计推广面积3 270万hm2, 占比60.8%。累计面积超过66.7万hm2的组合有17个(表3), 岳优9113推广面积最大, 2003— 2017年累计推广面积208.2万hm2。
| 表3 2001— 2017年主要优质三系组合推广面积及其亲本 Table 3 Planting area and parents of major high-quality three-line combinations from 2001 to 2017 |
在国家水稻数据中心查询了这133个优质两系组合和382个三系组合的育成单位、亲本、审定时间等基本信息。分析表明, 133个两系组合是由93家单位和个人独立或合作育成。其中, 种业公司选育组合推广面积最大, 59家种业公司独立或合作育成111个组合, 累计推广面积1 180.3万hm2, 占总面积的41.6% (具体组合推广面积贡献, 按选育合作单位数平均分配) 。省级及以上育种单位、地市级农业科学院也是两系优质杂交稻育种的重要力量, 育成品种推广面积占比分别达到34.5%、19.4%(表4)。根据选育单位贡献排名来看(图3), 合肥丰乐种业贡献最大, 育成的8个组合累计推广面积达580.0万hm2, 占总面积的22.6%。对93家选育单位属地进行分析, 安徽、江苏、湖南、湖北、广东等五省的62家选育单位, 选育组合累计推广面积达2 412.5万hm2, 占总面积的94.0%; 其中, 安徽省育种单位贡献最大, 13家单位独立或者合作育成37个组合, 除在安徽省大面积种植之外, 还向周边的江西、湖北、安徽等省份辐射, 累计推广面积达886.6万hm2(表5)。
| 表4 2001— 2017年推广优质组合稻选育单位的贡献 Table 4 Contribution of breeding organizations on breeding of registered high-quality hybrid rice combinations from 2001 to 2017 |
| 表5 2001— 2017年推广优质组合各省育种单位贡献 Table 5 Contribution of different provinces on breeding of high-quality combinations from 2001 to 2017 |
对382个三系组合进行分析得知, 它们由187家单位和个人独立或合作育成。分析发现, 省级及以上育种单位贡献最大, 37家单位独立或合作育成217个组合, 累计推广面积2 630.8万hm2, 占总面积的48.6%。种业公司、地市级农业科学院并驾齐驱, 育成品种推广面积占比分别达到26.2%、24.9%(表4)。根据选育单位贡献排名来看, 广东省农业科学院排在第一位, 育成49个组合, 累计推广面积达810.8万hm2, 占总面积的15.0%(图4)。对187家选育单位属地进行分析, 四川、广东、湖南、浙江、江西、湖北、重庆、广西等8省156家选育单位, 选育组合累计推广面积达5 085.0万hm2, 占总面积的94.0%, 其中四川省育种单位贡献最大, 38家单位独立或者合作育成133个年推广面积超过0.67万hm2的组合, 累计推广面积1 164.2万hm2, 占总面积的21.5%(表5)。
综上所述, 种业公司更加注重优质杂交稻特别是两系组合的选育和推广, 而省级以上育种单位在优质三系杂交稻的选育方面更具优势。
品质优良的不育系是选育优质两系组合的基础, 目前在生产中发挥重大作用的主要有Y58S、广占63S、广占63-4S等(表6)。对2001— 2017年列入农业农村部全国农技推广服务中心统计的133个优质组合进行分析, 结果表明, 133个组合亲本来自51个不育系, 种植面积为2 565.9万hm2。
| 表6 2001— 2017年主要两系不育系推广面积 Table 6 Promotion area of major photo-thermo-sensitive genic male sterile (PTGMS) lines from 2001 to 2017 |
以Y58S为亲本的配组数量最多(表6), 26个组合推广面积达680.9万hm2, 占比26.5%。广占63S为亲本的组合推广面积达434.5万hm2, 广占63-4S为416.6万hm2; 以2014年审定的不育系隆科638S、晶4155S为亲本的组合推广面积分别达到了36.0万hm2、29.3万hm2。
51个不育系中48个系谱关系明确, 对48个不育系(图5中加粗标出)进行分析得知, 其中38个不育系由农垦58S衍生, 9个由安农S-1衍生, 有2个兼有农垦58S和株1S的血统, HD9802S无衍生系。影响力最大的广占63S及其衍生系18个, 配组组合推广面积达1 333.4万hm2, 其中4个组合推广面积均超过133.3万hm2。培矮64S及其14个衍生系所配组合累计推广面积达990.3万hm2, 其中3个组合超过66.7万hm2。安农S-1衍生系7个所配组合合计推广面积达52.1万hm2。HD9802S是早籼型优质不育系, 所配组合累计推广126.1万hm2(表6)。
对2001— 2017年列入农业农村部全国农技推广服务中心统计的382个优质组合的分析表明, 382个组合亲本来自147个不育系, 种植面积达5 375.0万hm2。查阅国家水稻数据库中心得知, 147个不育系有14个来源不明, 对其余133个不育系进行系谱分析(图6中加粗表示)可知, 133个不育系主要包括野败型、印水型、D型、红莲型、矮败型、K型、KV型、滇Ⅰ 型、BT型等类型, 累计推广面积达5 333.9万hm2, 占总面积的99.2%。排名前19位不育系所配组合累计推广面积达到或超过66.7万hm2, 合计推广面积3 909.7万hm2, 占推广总面积的72.7%(表7)。
| 图6 2001— 2017年优质三系组合不育系系谱关系图Fig.6 Genealogical relationships of CMS line for high-quality three-line hybrid rice breeding from 2001 to 2017 |
| 表7 2001— 2017年主要三系不育系推广应用面积 Table 7 Promotion area of major cytoplasmic male sterility (CMS) lines during 2001 to 2017 |
4.2.1 野败型
野败型不育系配组优质组合数最多, 推广面积最大。主要包括珍汕97A、威20A、二九矮4号A和L301A共4个不育系的衍生系(图6), 累计推广面积达3 187.3万hm2, 占推广总面积的59.3%。其中, 珍汕97A及其37个衍生系配组组合112个, 累计推广2 196.8万hm2; 珍汕97A衍生系天丰A、五丰A等9个不育系(表7)所配组合累计推广面积均超过66.7万hm2。威20A衍生系23个, 所配组合累计推广面积达892.9万hm2; 衍生系金23A影响力最大, 外观品质优于威20A, 所配组合累计推广面积达288.8万hm2。
4.2.2 印水型
印水型不育系Ⅱ -32A及其19个衍生系, 所配82个优质组合累计推广面积达874.1万hm2。以中9A为亲本配组组合数量最多, 有32个组合, 累计推广面积达525.3万hm2, 排名第一。除中9A之外, 泰丰A影响力较大[10], 所配组合累计推广面积达到77.0万hm2。
4.2.3 D型
D汕A衍生系10个, 配组组合39个, 累计推广面积达618.3万hm2。其中宜香1A应用最为广泛, 该不育系具有长粒、低垩白、低直链淀粉、食味好和香味浓等特点[11], 宜香1A配组组合有25个, 推广面积达486.1万hm2, 代表性组合宜香1577兼具优质和高产等特点, 累计推广面积达到99.9万hm2。
4.2.4 滇Ⅰ 型
滇Ⅰ 型不育系为晚粳型不育系, 其中宁波市农业科学研究院选育的甬粳2号A推广应用面积最大, 所配籼粳交高产组合— — 甬优9号于2008年通过国审, 米质达国家《优质稻谷》标准2级, 作为主推组合在浙江及周边省份累计推广71.5万hm2; 甬粳2号A衍生系甬粳4号A、甬粳15A配组合累计推广面积分别达到39.3万hm2、8.0万hm2。
4.2.5 K型
K型不育系为粳型细胞质, 在四川省推广应用面积较大。四川农业科学院水稻高粱所先后育成了K青A、K17A、K18A等不育系, 其K17A推广面积最大; K17A及其9个衍生系, 配组18个组合, 累计推广面积达116.9万hm2。
4.2.6 红莲型
红莲型不育系推广应用主要分布在湖北省, 粤泰A和珞红3A表现突出, 所配组合累计推广面积分别达到52.5万hm2、54.9万hm2。
4.2.7 其他类型
88A是内江杂交水稻科技开发中心育成的一种新胞质不育系, 利用88A先后选育了优质香型不育系内香2A和内香5A, 所配组合推广面积分别达到106.7万hm2、44.5万hm2; 代表性品种内香8518品质和产量突出, 累计推广面积达39.3万hm2。BT型、KV型、矮败型不育系配组优质组合推广面积也分别达到50.9万hm2、26.8万hm2、19.1万hm2。
两系杂交水稻具有配组自由的特点, 几乎所有品种都可以作为恢复系配组, 因此, 恢复系的来源十分丰富, 而三系组合配组则受恢保关系的制约。笔者对2001— 2017年主推优质组合骨干恢复系进行分析, 将恢复系分为3类:两系恢复系、三系恢复系和共恢恢复系(表8)。
| 表8 2001— 2017年主要恢复系推广应用面积 Table 8 Promotion area of major restorer lines during 2001 to 2017 |
就两系恢复系而言, 扬稻6号贡献最大, 扬稻6号及其衍生系配组优质组合39个, 累计推广面积达1 411.9万hm2, 占总面积的55%。扬稻6号与广占63S、广占63-4S和Y58S配组优质组合丰两优1号、扬两优6号和Y两优1号累计推广面积分别达到300.8万hm2、287.3万hm2和248.6万hm2, 排在前3位; 扬稻6号衍生系配组组合35个, 累计推广面积达537.9万hm2, 其中利用扬稻6号变异株选育恢复系(安选6号、赛恢5号)配组组合5个, 累计推广面积达48.9万hm2; 以扬稻6号为母本, 蜀恢527为父本, 育成恢复系5个, 所配组合累计推广面积达226.9万hm2。
三系骨干恢复系包括广恢998、桂99、成恢177、先恢207、辐恢838等。广恢998是广东省农业科学院1998年育成的优质恢复系[12], 广恢998及其衍生系配组组合22个, 累计推广面积达426.7万hm2, 代表性品种有天优998、博优998等。桂99是20世纪80年代广西省农业科学院育成的[13], 主要衍生系有R254、R9等, 桂99及其衍生恢复系配组组合26个, 累计推广面积达255.9万hm2。成恢177是四川省农业科学院于1995年育成的优质、抗病新恢复系[14], 主要衍生系有成恢727、成恢3203等, 成恢177配组优质组合川香优2号累计推广面积达67.4万hm2。先恢207由湖南杂交水稻中心育成, 配组优质组合T优207累计推广面积达120.3万hm2, 衍生系包括湘恢299、华恢272、华恢284、R6135等。辐恢838由四川省原子核应用技术研究所于1990年育成[15], 主要衍生系有838选、辐恢305、冈恢38等。
共恢恢复系具有三系不育系的恢复基因, 对三系、两系不育系共同恢复, 骨干恢复系有明恢63、蜀恢527、华占等。明恢63是谢华安于1981年育成的抗病性强、产量配合力高、米质优良、适应性广的恢复系[16]。2001— 2017年各育种单位利用明恢63育成的衍生系配组三系组合有52个, 累计推广面积1 024.1万hm2以上, 占总面积的19.1%; 查阅国家水稻数据库可知, 中国水稻研究所所章善庆等利用明恢63作父本, 育成恢复系T-8, 与中浙A配组育成中浙优8号, 作为广西、浙江等地主推品种, 累计推广面积达69.9万hm2。
蜀恢527由四川农业大学水稻研究所于1996年育成[17], 主要两系衍生系包括丙4114、R674等, 配组组合16个, 累计推广面积达349.5万hm2。作为三系恢复系配组组合10个, 累计推广面积达138.8万hm2; 代表组合金优527、川江优527等。蜀恢527三系衍生系配组组合33个, 累计推广面积达461.1万hm2。
华占由中国水稻研究所从外引材料“ SC2-S6” 中通过不同类型三系不育系配组测恢、系统选择、纯化等连续几个世代后, 于2004年育成[18]。根据国家水稻数据中心的公开信息(截至2019年8月), 以华占为父本, 已审定87个品种, 其中三系组合59个、两系组合28个, 多数育成组合具有优质、丰产、矮秆、抗稻瘟病等特性。2008— 2017年利用华占配组大面积推广的优质组合13个, 累计推广373.3万hm2, 其中天优华占推广面积达到130.1万hm2, C两优华占、荣优华占、欣荣优华占、五优华占面积也超过33.3万hm2。2017年杂交稻推广面积排在前10位的组合, 5个组合是利用华占配组, 且米质均达到国标3级以上。
如上所述, 2001— 2017年间, 我国在优质不育系、恢复系的选育和优质杂交稻的推广方面发展迅速, 较好地满足了稻米市场的需要, 促进了水稻生产的高质量稳定发展。但也应看到, 在优质杂交稻发展过程中还有许多问题亟待解决。
目前, 我国高档优质杂交稻组合的选育与推广滞后于市场需求[19]。2017年年推广面积超过0.67万hm2的优质杂交组合241个, 累计推广面积占总面积的60%; 但优质组合以3级米为主, 主要理化指标达到国标1级和2级的组合有62个, 推广面积仅占杂交稻总面积的15.7%。大多数3级优质稻与1、2级相比, 主要差别在于垩白率和垩白度偏高。林海等[20]研究表明, 2012— 2017年审定的水稻品种主要米质指标中, 垩白粒率和垩白度的优质达标率表现较差。垩白粒率和垩白度已成为制约我国杂交稻品质进一步提高的主要因子。
当前大多杂交稻品种存在优质而不高产、高产而不优质的问题, 而常规稻品种黄华占等由于米质好、产量高, 受到稻米消费市场的欢迎。杂交稻优质与高产的矛盾主要受3个因素影响:一是遗传因素, 优质与高产的矛盾是一个普遍的科学问题, 在不同作物中均广泛存在, 杂交稻也不例外; 二是环境因素, 稻米品质和产量的形成均受生态环境因子如温度、光照、土壤和插秧密度、肥水管理等栽培措施的影响, 两者兼顾难度较大; 三是市场因素, 过去为解决温饱问题, 育种主要以高产为主要目标, 没有重视对优质稻的选育, 导致了生产上优质杂交稻所占比重低。当前人们对稻米品质的要求除了有良好的适口性外, 对稻米的外观品质、加工品质和营养品质等也提出了更高要求。
为解决上述问题, 应强化高档优质杂交稻选育, 从品种改良、栽培技术配套、评价标准修订等多方面着手, 打破优质与高产之间的矛盾, 将这两者平衡、协调统一起来, 促进我国优质杂交稻产业健康发展。
7.1.1 综合技术改良稻米品质
杂交稻稻米品质的改良重点是“ 两高一低” , 即高整精米率、高食味评分、低垩白度。既要好看又要好吃, 即整精米率> 60%, 垩白度< 3%, 直链淀粉含量13%~18%, 碱硝值> 6, 胶稠度> 60 mm, 米饭不爆裂, 软而不粘, 清香爽口, 冷饭不回生等。常规育种手段对稻米品质目标性状的选择准确性差, 下一步应利用分子生物学技术与常规育种技术相结合, 对垩白Chalk5、直链淀粉含量Wx、糊化温度ALK、香味fgr等品质基因进行分子标记辅助选择或基因编辑, 改良杂交水稻亲本品质性状, 提高育成优质食味水稻的效率[21, 22, 23]。
7.1.2 培育优质与高产兼顾新组合
优质与高产两者的矛盾并非一成不变, 在过去几十年中, 优质与高产的协调关系得到了卓有成效的发展, 如丰两优1号、天优华占等组合均具有优异的稻米品质和较高的产量。研究表明, 通过合理组合多个水稻粒型控制的优异等位基因可以实现水稻产量与品质的双提升[24]。下一阶段要解决优质与高产的矛盾应当从以下2个方面入手:一是要加强种质资源的挖掘。目前我国水稻种质资源库保存有丰富的品种资源, 其中可能存在一些兼具优质和高产特性的品系, 并加强国外优质稻如泰国茉莉香、巴斯马蒂资源的引进与利用; 二是要创造新种质资源。打破现有水稻遗传结构, 改变和导入新的遗传物质, 利用远缘杂交、亚种间杂交、物理或化学诱变、花药培养与基因编辑等策略创造新的种质资源。
水稻生长阶段, 地理环境条件、光照、温度、种植密度、肥料运筹等会影响大米的食味品质; 收获干燥阶段, 提前或推迟收割、干燥温度过高、速度过快等都可能使大米食味品质下降; 贮藏阶段, 贮藏性的好坏也会影响稻米的食味、营养价值和出米率。因此, 只有配套优质稻生产技术, 提高稻米食味品质才有可能实现。
近年来, 我国先后颁布了农业农村部行业标准《食用稻品种品质》(NY/T593-2013)和国家标准《大米》(GB/T1354-2018), 突出了高整精米率、高食味品质和低垩白等稻米品质评价指标。我国应继续开展稻米食味品质的评价方法与相关检测技术等方面的研究[25], 开发稻米品质快速检测设备, 量化感官评价结果, 加快选育符合消费需求的高档优质稻。
(责任编辑 侯春晓)
| [1] |
|
| [2] |
|
| [3] |
|
| [4] |
|
| [5] |
|
| [6] |
|
| [7] |
|
| [8] |
|
| [9] |
|
| [10] |
|
| [11] |
|
| [12] |
|
| [13] |
|
| [14] |
|
| [15] |
|
| [16] |
|
| [17] |
|
| [18] |
|
| [19] |
|
| [20] |
|
| [21] |
|
| [22] |
|
| [23] |
|
| [24] |
|
| [25] |
|

