浙江农业学报 ›› 2026, Vol. 38 ›› Issue (3): 491-505.DOI: 10.3969/j.issn.1004-1524.20250211
姜金香(
), 任志琴, 黄安玲, 徐朝娟, 杨蓉, 魏升华, 王志威(
)
收稿日期:2025-03-18
出版日期:2026-03-25
发布日期:2026-04-17
作者简介:*王志威,E-mail: wangzhiwei1215@163.com通讯作者:
王志威
基金资助:
JIANG Jinxiang(
), REN Zhiqin, HUANG Anling, XU Chaojuan, YANG Rong, WEI Shenghua, WANG Zhiwei(
)
Received:2025-03-18
Published:2026-03-25
Online:2026-04-17
Contact:
WANG Zhiwei
摘要:
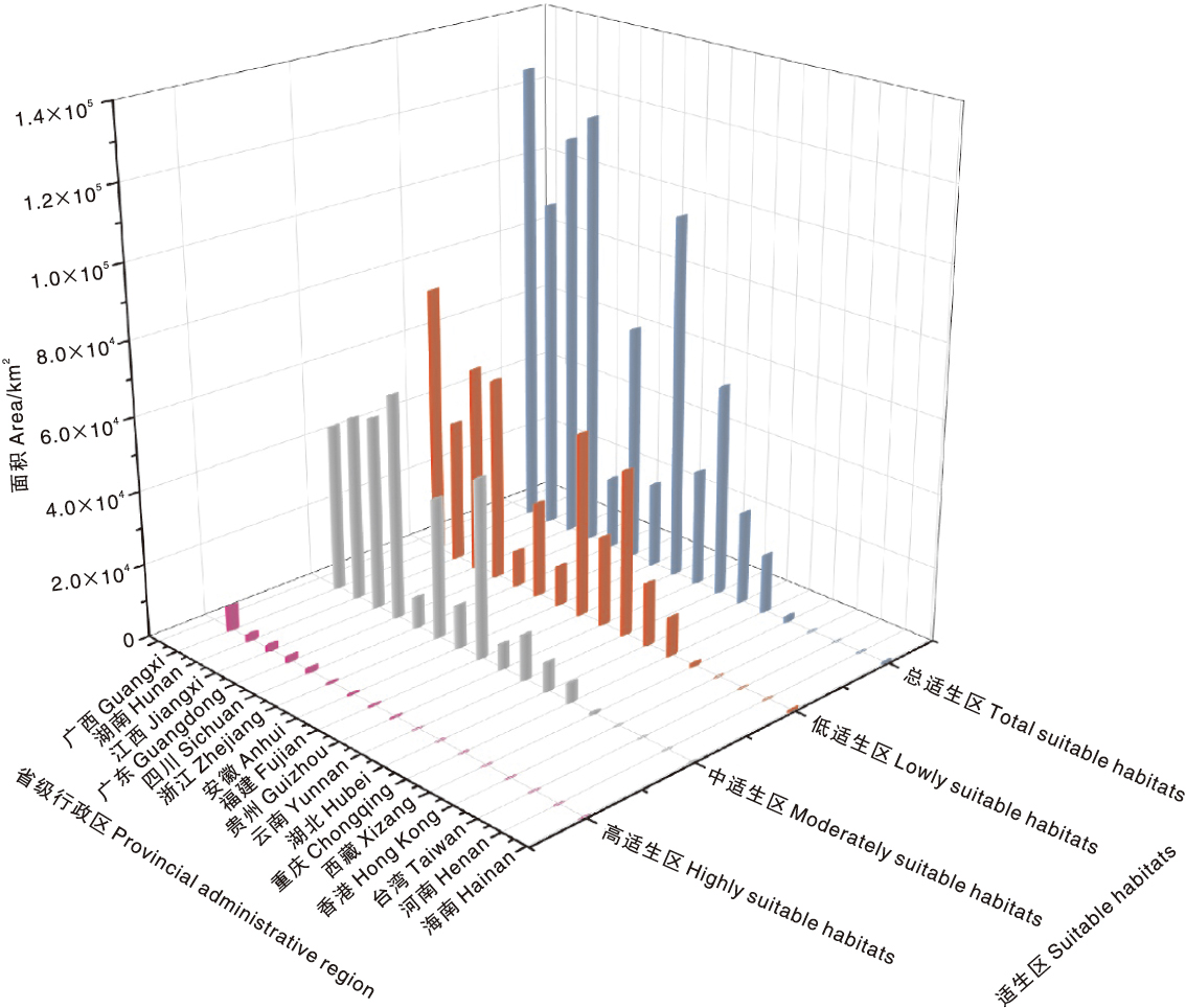
基于获取的600条朱砂根在中国的分布数据及选定的118个生态因子,利用MaxEnt(最大熵)模型,探寻朱砂根在我国的生态适生区,并分析影响其适生性的主导生态因子,以期为朱砂根的生态种植及资源可持续利用提供理论科学依据。结果表明,朱砂根的生态适生区主要位于华东、华中、华南、西南地区,其中,广西、湖南、江西、广东、浙江和福建的适生区面积相对较大,主要为高、中适生区;云南、贵州、湖北、安徽、四川和重庆的适生区面积居中,主要为中和低适生区;而西藏、香港、台湾、河南、海南的适生区面积较小,且主要为低适生区。适生区中,广西东北部至湖南西南部的适生面积较大而集中。最暖季度降水量(Bio_18)、最干月降水量(Bio_14)、6月和3月的太阳辐射值(Srad_06、Srad_03)、土壤等级[基于WRB(世界参比基础)2006](TAXNWRB)、常绿阔叶林占比(Class_02)、常绿/落叶针叶林占比(Class_01)和年温度变化范围(Bio_07)为影响朱砂根适生性的主导生态因子;在累积贡献率上,降水因子(45.43%)>太阳辐射因子(20.49%)>植被因子(14.65%)>土壤因子(12.97%)>温度因子(5.66%)>地形因子(0.80%)。基于以上研究结果,建议在广西东北部(如龙胜县、资源县、三江县、灵川县、融水县、金秀县、桂林市临桂区)至湖南西南部(如城步县、新宁县和江永县)对朱砂根进行重点生态种植,种植过程中应优先考虑降水因子,其次分别是太阳辐射、植被、土壤、温度和地形因子,主导生态因子Bio_18、Bio_14、Srad_06、Srad_03、TAXNWRB、Class_02、Class_01、Bio_07以分别控制在510.50~720.24 mm、30.72~50.59 mm、15 700.85~17 145.80 kJ·m-2·d-1、7 423.40~12 102.41 kJ·m-2·d-1、-10~12、2.36%~41.84%、4.81%~36.09%、23.94~30.14 ℃为宜。
中图分类号:
姜金香, 任志琴, 黄安玲, 徐朝娟, 杨蓉, 魏升华, 王志威. 药用植物朱砂根的生态适生种植区及主导生态因子研究[J]. 浙江农业学报, 2026, 38(3): 491-505.
JIANG Jinxiang, REN Zhiqin, HUANG Anling, XU Chaojuan, YANG Rong, WEI Shenghua, WANG Zhiwei. Research on the ecological suitable planting areas and dominant ecological factors of medicinal plant Ardisia crenata[J]. Acta Agriculturae Zhejiangensis, 2026, 38(3): 491-505.
| 省(区、市) Province (autonomous region, municipality) | 高适生区 Highly suitable habitats | 中适生区 Moderately suitable habitats | 低适生区 Lowly suitable habitats |
|---|---|---|---|
| 广西 Guangxi | 龙胜县、资源县、三江县、灵川县、桂林市临桂区、融水县、金秀县 Longsheng County, Ziyuan County, Sanjiang County, Lingchuan County, Lingui District of Guilin City, Rongshui County, Jinxiu County | 融水县、三江县、永福县、金秀县、蒙山县、罗城县、灌阳县、兴安县、资源县、恭城县、富川县、钟山县、凌云县、那坡县 Rongshui County, Sanjiang County, Yongfu County, Jinxiu County, Mengshan County, Luocheng County, Guanyang County, Xing’an County, Ziyuan County, Gongcheng County, Fuchuan County, Zhongshan County, Lingyun County, Napo County | 罗城县、钟山县、隆林县、天峨县、凤山县、乐业县、德保县、东兰县、南丹县、苍梧县、环江县、藤县、鹿寨县、大新县、大化县 Luocheng County, Zhongshan County, Longlin County, Tian’e County, Fengshan County, Leye County, Debao County, Donglan County, Nandan County, Cangwu County, Huanjiang County, Tengxian County, Luzhai County, Daxin County, Dahua County |
| 湖南 Hunan | 城步县、新宁县、江永县、汝城县、桂东县、浏阳市、新化县 Chengbu County, Xinning County, Jiangyong County, Rucheng County, Guidong County, Liuyang City, Xinhua County | 江华县、宜章县、蓝山县、江永县、临武县、双牌县、汝城县、桂东县、炎陵县、资兴市、浏阳市、通道县、城步县、绥宁县、洪江市、隆回县、安化县、古丈县、龙山县、新邵县、桑植县 Jianghua County, Yizhang County, Lanshan County, Jiangyong County, Linwu County, Shuangpai County, Rucheng County, Guidong County, Yanling County, Zixing City, Liuyang City, Tongdao County, Chengbu County, Suining County, Hongjiang City, Longhui County, Anhua County, Guzhang County, Longshan County, Xinshao County, Sangzhi County | 茶陵县、靖州县、溆浦县、平江县、沅陵县、石门县、慈利县、双峰县、攸县 Chaling County, Jingzhou County, Xupu County, Pingjiang County, Yuanling County, Shimen County, Cili County, Shuangfeng County, Youxian County |
| 江西 Jiangxi | 井冈山市、上犹县、靖安县、奉新县 Jinggangshan City, Shangyou County, Jing’an County, Fengxin County | 全南县、安远县、于都县、崇义县、上犹县、井冈山市、永新县、莲花县、安福县、芦溪县、铜鼓县、修水县、宜丰县、奉新县、靖安县、浮梁县、德兴市、玉山县、铅山县、资溪县、宜黄县、宁都县、兴国县 Quannan County, Anyuan County, Yudu County, Chongyi County, Shangyou County, Jinggangshan City, Yongxin County, Lianhua County, Anfu County, Luxi County, Tonggu County, Xiushui County, Yifeng County, Fengxin County, Jing’an County, Fuliang County, Dexing City, Yushan County, Yanshan County, Zixi County, Yihuang County, Ningdu County, Xingguo County | 寻乌县、会昌县、赣县、瑞金市、于都县、吉安县、吉水县、婺源县、广丰县、黎川县、峡江县、万载县 Xunwu County, Huichang County, Ganxian County, Ruijin City, Yudu County, Ji’an County, Jishui County, Wuyuan County, Guangfeng County, Lichuan County, Xiajiang County, Wanzai County |
| 广东 Guangdong | 连山县、普宁市、乳源县、惠东县 Lianshan County, Puning City, Ruyuan County, Huidong County | 信宜市、云浮市云安区、新兴县、郁南县、云浮市云城区、德庆县、清远市清新区、怀集县、连南县、连山县、乳源县、乐昌市、仁化县、韶关市曲江区、新丰县、始兴县、连平县、惠东县、广州市从化区、佛冈县、英德市 Xinyi City, Yun’an District of Yunfu City, Xinxing County, Yunan County, Yuncheng District of Yunfu City, Deqing County, Qingxin District of Qingyuan City, Huaiji County, Liannan County, Lianshan County, Ruyuan County, Lechang City, Renhua County, Qujiang District of Shaoguan City, Xinfeng County, Shixing County, Lianping County, Huidong County, Conghua District of Guangzhou City, Fogang County, Yingde City | 紫金县、龙门县、龙川县、东源县、鹤山市、河源市源城区、平远县、梅县区、肇庆市高要区 Zijin County, Longmen County, Longchuan County, Dongyuan County, Heshan City, Yuancheng District of Heyuan City, Pingyuan County, Meixian District, Gaoyao District of Zhaoqing City |
| 四川 Sichuan | 洪雅县、芦山县、大邑县、荥经县、天全县 Hongya County, Lushan County, Dayi County, Yingjing County, Tianquan County | 马边县、峨边县、乐山市金口河区、峨眉山市、荥经县、洪雅县、天全县、雅安市雨城区、芦山县、大邑县、崇州市、都江堰市、什邡市 Mabian County, Ebian County, Jinkouhe District of Leshan City, Emeishan City, Yingjing County, Hongya County, Tianquan County, Yucheng District of Ya’an City, Lushan County, Dayi County, Chongzhou City, Dujiangyan City, Shifang City | 沐川县、泸定县、宝兴县、绵竹市 Muchuan County, Luding County, Baoxing County, Mianzhu City |
| 浙江 Zhejiang | 龙泉市、景宁县、淳安县、庆元县 Longquan City, Jingning County, Chun’an County, Qingyuan County | 庆元县、景宁县、龙泉市、云和县、青田县、遂昌县、武义县、开化县、衢州市衢江区、永嘉县、磐安县、建德市、桐庐县 Qingyuan County, Jingning County, Longquan City, Yunhe County, Qingtian County, Suichang County, Wuyi County, Kaihua County, Qujiang District of Quzhou City, Yongjia County, Pan’an County, Jiande City, Tonglu County | 平阳县、丽水市莲都区、永康市、浦江县、宁海县、三门县、宁波市奉化区、象山县 Pingyang County, Liandu District of Lishui City, Yongkang City, Pujiang County, Ninghai County, Sanmen County, Fenghua District of Ningbo City, Xiangshan County |
| 安徽 Anhui | 黄山市黄山区、休宁县、祁门县 Huangshan District of Huangshan City, Xiuning County, Qimen County | 歙县、黟县、霍山县、石台县、绩溪县、休宁县、黄山市黄山区、祁门县、旌德县、泾县 Shexian County, Yixian County, Huoshan County, Shitai County, Jixi County, Xiuning County, Huangshan District of Huangshan City, Qimen County, Jingde County, Jingxian County | 东至县、池州市贵池区、霍山县、金寨县、岳西县 Dongzhi County, Guichi District of Chizhou City, Huoshan County, Jinzhai County, Yuexi County |
| 福建 Fujian | 龙岩市新罗区、政和县、松溪县 Xinluo District of Longyan City, Zhenghe County, Songxi County | 武平县、长汀县、龙岩市永定区、平和县、诏安县、漳浦县、东山县、华安县、连城县、清流县、明溪县、将乐县、泰宁县、顺昌县、光泽县、邵武市、武夷山市、浦城县、松溪县、政和县 Wuping County, Changting County, Yongding District of Longyan City, Pinghe County, Zhao’an County, Zhangpu County, Dongshan County, Hua’an County, Liancheng County, Qingliu County, Mingxi County, Jiangle County, Taining County, Shunchang County, Guangze County, Shaowu City, Wuyishan City, Pucheng County, Songxi County, Zhenghe County | 安溪县、大田县、尤溪县、永泰县、闽侯县、仙游县、寿宁县、霞浦县、柘荣县 Anxi County, Datian County, Youxi County, Yongtai County, Minhou County, Xianyou County, Shouning County, Xiapu County, Zherong County |
| 贵州 Guizhou | 江口县、印江县 Jiangkou County, Yinjiang County | 习水县、黎平县、从江县、望谟县、三都县、雷山县 Xishui County, Liping County, Congjiang County, Wangmo County, Sandu County, Leishan County | 望谟县、册亨县、安龙县、荔波县、黎平县、桐梓县、正安县、绥阳县、道真县 Wangmo County, Ceheng County, Anlong County, Libo County, Liping County, Tongzi County, Zheng’an County, Suiyang County, Daozhen County |
| 湖北 Hubei | 通城县 Tongcheng County | 来凤县、咸丰县、宣恩县、鹤峰县、五峰县、通山县 Laifeng County, Xianfeng County, Xuan’en County, Hefeng County, Wufeng County, Tongshan County | 崇阳县、利川市、英山县、长阳县、巴东县、恩施市、建始县、秭归县 Chongyang County, Lichuan City, Yingshan County, Changyang County, Badong County, Enshi City, Jianshi County, Zigui County |
| 云南 Yunnan | 腾冲市 Tengchong City | 云龙县、泸水市、龙陵县、双江县、腾冲市、绿春县、元阳县、红河县、屏边县、西畴县、麻栗坡县 Yunlong County, Lushui City, Longling County, Shuangjiang County, Tengchong City, Lüchun County, Yuanyang County, Honghe County, Pingbian County, Xichou County, Malipo County | 龙陵县、施甸县、昌宁县、凤庆县、临沧市、宁洱县、墨江县、红河县、屏边县、富宁县、广南县 Longling County, Shidian County, Changning County, Fengqing County, Lincang City, Ning’er County, Mojiang County, Honghe County, Pingbian County, Funing County, Guangnan County |
| 重庆 Chongqing | — | 江津区、南川区、石柱县、丰都县、黔江区、酉阳县、秀山县 Jiangjin District, Nanchuan District, Shizhu County, Fengdu County, Qianjiang District, Youyang County, Xiushan County | 武隆区、彭水县、石柱县 Wulong District, Pengshui County, Shizhu County |
| 西藏 Xizang | — | 墨脱县、察隅县 Medog County, Zayu County | 墨脱县、察隅县 Medog County, Zayu County |
| 海南 Hainan | — | — | 澄迈县、屯昌县 Chengmai County, Tunchang County |
| 河南Henan | — | — | 商城县Shangcheng County |
| 台湾Taiwan | — | — | 新竹市Hsinchu City |
表1 朱砂根在我国适生区的主要分布地(县级层面)
Table 1 Main distribution areas of suitable habitats for A. crenata in China (at the county level)
| 省(区、市) Province (autonomous region, municipality) | 高适生区 Highly suitable habitats | 中适生区 Moderately suitable habitats | 低适生区 Lowly suitable habitats |
|---|---|---|---|
| 广西 Guangxi | 龙胜县、资源县、三江县、灵川县、桂林市临桂区、融水县、金秀县 Longsheng County, Ziyuan County, Sanjiang County, Lingchuan County, Lingui District of Guilin City, Rongshui County, Jinxiu County | 融水县、三江县、永福县、金秀县、蒙山县、罗城县、灌阳县、兴安县、资源县、恭城县、富川县、钟山县、凌云县、那坡县 Rongshui County, Sanjiang County, Yongfu County, Jinxiu County, Mengshan County, Luocheng County, Guanyang County, Xing’an County, Ziyuan County, Gongcheng County, Fuchuan County, Zhongshan County, Lingyun County, Napo County | 罗城县、钟山县、隆林县、天峨县、凤山县、乐业县、德保县、东兰县、南丹县、苍梧县、环江县、藤县、鹿寨县、大新县、大化县 Luocheng County, Zhongshan County, Longlin County, Tian’e County, Fengshan County, Leye County, Debao County, Donglan County, Nandan County, Cangwu County, Huanjiang County, Tengxian County, Luzhai County, Daxin County, Dahua County |
| 湖南 Hunan | 城步县、新宁县、江永县、汝城县、桂东县、浏阳市、新化县 Chengbu County, Xinning County, Jiangyong County, Rucheng County, Guidong County, Liuyang City, Xinhua County | 江华县、宜章县、蓝山县、江永县、临武县、双牌县、汝城县、桂东县、炎陵县、资兴市、浏阳市、通道县、城步县、绥宁县、洪江市、隆回县、安化县、古丈县、龙山县、新邵县、桑植县 Jianghua County, Yizhang County, Lanshan County, Jiangyong County, Linwu County, Shuangpai County, Rucheng County, Guidong County, Yanling County, Zixing City, Liuyang City, Tongdao County, Chengbu County, Suining County, Hongjiang City, Longhui County, Anhua County, Guzhang County, Longshan County, Xinshao County, Sangzhi County | 茶陵县、靖州县、溆浦县、平江县、沅陵县、石门县、慈利县、双峰县、攸县 Chaling County, Jingzhou County, Xupu County, Pingjiang County, Yuanling County, Shimen County, Cili County, Shuangfeng County, Youxian County |
| 江西 Jiangxi | 井冈山市、上犹县、靖安县、奉新县 Jinggangshan City, Shangyou County, Jing’an County, Fengxin County | 全南县、安远县、于都县、崇义县、上犹县、井冈山市、永新县、莲花县、安福县、芦溪县、铜鼓县、修水县、宜丰县、奉新县、靖安县、浮梁县、德兴市、玉山县、铅山县、资溪县、宜黄县、宁都县、兴国县 Quannan County, Anyuan County, Yudu County, Chongyi County, Shangyou County, Jinggangshan City, Yongxin County, Lianhua County, Anfu County, Luxi County, Tonggu County, Xiushui County, Yifeng County, Fengxin County, Jing’an County, Fuliang County, Dexing City, Yushan County, Yanshan County, Zixi County, Yihuang County, Ningdu County, Xingguo County | 寻乌县、会昌县、赣县、瑞金市、于都县、吉安县、吉水县、婺源县、广丰县、黎川县、峡江县、万载县 Xunwu County, Huichang County, Ganxian County, Ruijin City, Yudu County, Ji’an County, Jishui County, Wuyuan County, Guangfeng County, Lichuan County, Xiajiang County, Wanzai County |
| 广东 Guangdong | 连山县、普宁市、乳源县、惠东县 Lianshan County, Puning City, Ruyuan County, Huidong County | 信宜市、云浮市云安区、新兴县、郁南县、云浮市云城区、德庆县、清远市清新区、怀集县、连南县、连山县、乳源县、乐昌市、仁化县、韶关市曲江区、新丰县、始兴县、连平县、惠东县、广州市从化区、佛冈县、英德市 Xinyi City, Yun’an District of Yunfu City, Xinxing County, Yunan County, Yuncheng District of Yunfu City, Deqing County, Qingxin District of Qingyuan City, Huaiji County, Liannan County, Lianshan County, Ruyuan County, Lechang City, Renhua County, Qujiang District of Shaoguan City, Xinfeng County, Shixing County, Lianping County, Huidong County, Conghua District of Guangzhou City, Fogang County, Yingde City | 紫金县、龙门县、龙川县、东源县、鹤山市、河源市源城区、平远县、梅县区、肇庆市高要区 Zijin County, Longmen County, Longchuan County, Dongyuan County, Heshan City, Yuancheng District of Heyuan City, Pingyuan County, Meixian District, Gaoyao District of Zhaoqing City |
| 四川 Sichuan | 洪雅县、芦山县、大邑县、荥经县、天全县 Hongya County, Lushan County, Dayi County, Yingjing County, Tianquan County | 马边县、峨边县、乐山市金口河区、峨眉山市、荥经县、洪雅县、天全县、雅安市雨城区、芦山县、大邑县、崇州市、都江堰市、什邡市 Mabian County, Ebian County, Jinkouhe District of Leshan City, Emeishan City, Yingjing County, Hongya County, Tianquan County, Yucheng District of Ya’an City, Lushan County, Dayi County, Chongzhou City, Dujiangyan City, Shifang City | 沐川县、泸定县、宝兴县、绵竹市 Muchuan County, Luding County, Baoxing County, Mianzhu City |
| 浙江 Zhejiang | 龙泉市、景宁县、淳安县、庆元县 Longquan City, Jingning County, Chun’an County, Qingyuan County | 庆元县、景宁县、龙泉市、云和县、青田县、遂昌县、武义县、开化县、衢州市衢江区、永嘉县、磐安县、建德市、桐庐县 Qingyuan County, Jingning County, Longquan City, Yunhe County, Qingtian County, Suichang County, Wuyi County, Kaihua County, Qujiang District of Quzhou City, Yongjia County, Pan’an County, Jiande City, Tonglu County | 平阳县、丽水市莲都区、永康市、浦江县、宁海县、三门县、宁波市奉化区、象山县 Pingyang County, Liandu District of Lishui City, Yongkang City, Pujiang County, Ninghai County, Sanmen County, Fenghua District of Ningbo City, Xiangshan County |
| 安徽 Anhui | 黄山市黄山区、休宁县、祁门县 Huangshan District of Huangshan City, Xiuning County, Qimen County | 歙县、黟县、霍山县、石台县、绩溪县、休宁县、黄山市黄山区、祁门县、旌德县、泾县 Shexian County, Yixian County, Huoshan County, Shitai County, Jixi County, Xiuning County, Huangshan District of Huangshan City, Qimen County, Jingde County, Jingxian County | 东至县、池州市贵池区、霍山县、金寨县、岳西县 Dongzhi County, Guichi District of Chizhou City, Huoshan County, Jinzhai County, Yuexi County |
| 福建 Fujian | 龙岩市新罗区、政和县、松溪县 Xinluo District of Longyan City, Zhenghe County, Songxi County | 武平县、长汀县、龙岩市永定区、平和县、诏安县、漳浦县、东山县、华安县、连城县、清流县、明溪县、将乐县、泰宁县、顺昌县、光泽县、邵武市、武夷山市、浦城县、松溪县、政和县 Wuping County, Changting County, Yongding District of Longyan City, Pinghe County, Zhao’an County, Zhangpu County, Dongshan County, Hua’an County, Liancheng County, Qingliu County, Mingxi County, Jiangle County, Taining County, Shunchang County, Guangze County, Shaowu City, Wuyishan City, Pucheng County, Songxi County, Zhenghe County | 安溪县、大田县、尤溪县、永泰县、闽侯县、仙游县、寿宁县、霞浦县、柘荣县 Anxi County, Datian County, Youxi County, Yongtai County, Minhou County, Xianyou County, Shouning County, Xiapu County, Zherong County |
| 贵州 Guizhou | 江口县、印江县 Jiangkou County, Yinjiang County | 习水县、黎平县、从江县、望谟县、三都县、雷山县 Xishui County, Liping County, Congjiang County, Wangmo County, Sandu County, Leishan County | 望谟县、册亨县、安龙县、荔波县、黎平县、桐梓县、正安县、绥阳县、道真县 Wangmo County, Ceheng County, Anlong County, Libo County, Liping County, Tongzi County, Zheng’an County, Suiyang County, Daozhen County |
| 湖北 Hubei | 通城县 Tongcheng County | 来凤县、咸丰县、宣恩县、鹤峰县、五峰县、通山县 Laifeng County, Xianfeng County, Xuan’en County, Hefeng County, Wufeng County, Tongshan County | 崇阳县、利川市、英山县、长阳县、巴东县、恩施市、建始县、秭归县 Chongyang County, Lichuan City, Yingshan County, Changyang County, Badong County, Enshi City, Jianshi County, Zigui County |
| 云南 Yunnan | 腾冲市 Tengchong City | 云龙县、泸水市、龙陵县、双江县、腾冲市、绿春县、元阳县、红河县、屏边县、西畴县、麻栗坡县 Yunlong County, Lushui City, Longling County, Shuangjiang County, Tengchong City, Lüchun County, Yuanyang County, Honghe County, Pingbian County, Xichou County, Malipo County | 龙陵县、施甸县、昌宁县、凤庆县、临沧市、宁洱县、墨江县、红河县、屏边县、富宁县、广南县 Longling County, Shidian County, Changning County, Fengqing County, Lincang City, Ning’er County, Mojiang County, Honghe County, Pingbian County, Funing County, Guangnan County |
| 重庆 Chongqing | — | 江津区、南川区、石柱县、丰都县、黔江区、酉阳县、秀山县 Jiangjin District, Nanchuan District, Shizhu County, Fengdu County, Qianjiang District, Youyang County, Xiushan County | 武隆区、彭水县、石柱县 Wulong District, Pengshui County, Shizhu County |
| 西藏 Xizang | — | 墨脱县、察隅县 Medog County, Zayu County | 墨脱县、察隅县 Medog County, Zayu County |
| 海南 Hainan | — | — | 澄迈县、屯昌县 Chengmai County, Tunchang County |
| 河南Henan | — | — | 商城县Shangcheng County |
| 台湾Taiwan | — | — | 新竹市Hsinchu City |
| 生态因子类型 Typeof ecological factor | 生态因子 Ecological factor | 贡献率/% Contribution rate/% | 生态因子类型 Type of ecological factors | 生态因子 Ecological factors | 贡献率/% Contribution rates/% |
|---|---|---|---|---|---|
| 降水因子 Precipitation factors | Bio_18 | 20.93 | 太阳辐射因子 Solar radiation factors | Srad_06 | 11.88 |
| Bio_14 | 19.73 | Srad_03 | 7.49 | ||
| Bio_12 | 1.68 | Srad_08 | 0.50 | ||
| Bio_15 | 0.28 | Srad_10 | 0.29 | ||
| Prec_09 | 0.76 | Srad_09 | 0.19 | ||
| Prec_03 | 0.69 | Srad_01 | 0.14 | ||
| Prec_10 | 0.64 | 植被因子 Vegetation factors | Class_02 | 5.41 | |
| Prec_07 | 0.34 | Class_01 | 4.88 | ||
| Prec_08 | 0.28 | Class_04 | 2.79 | ||
| Prec_11 | 0.10 | Class_08 | 0.01 | ||
| 土壤因子Soil factors | TAXNWRB | 6.29 | Class_09 | 0.71 | |
| PHIKCL | 1.75 | Class_05 | 0.31 | ||
| BDRICM | 1.27 | Class_11 | 0.22 | ||
| CECSOL | 0.90 | Class_06 | 0.13 | ||
| ACDWRB | 0.55 | Class_03 | 0.12 | ||
| PHIHOX | 0.45 | Class_07 | 0.04 | ||
| BDRLOG | 0.36 | Class_12 | 0.03 | ||
| SNDPPT | 0.29 | 温度因子 Temperature factors | Bio_07 | 3.93 | |
| CLYPPT | 0.22 | Bio_03 | 0.95 | ||
| AWCh1 | 0.21 | Bio_02 | 0.47 | ||
| SLTPPT | 0.19 | Bio_05 | 0.19 | ||
| CRFVOL | 0.18 | Bio_01 | 0.08 | ||
| HISTPR | 0.14 | Bio_08 | 0.04 | ||
| AWCtS | 0.08 | 地形因子 Topography factors | Slope | 0.76 | |
| ORCDRC | 0.08 | Aspectcosine | 0.03 | ||
| BDTICM | 0.01 | Aspectsine | 0.01 |
表2 影响朱砂根适生性的生态因子贡献率
Table 2 Contribution rates of ecological factors affecting the suitability of A. crenata
| 生态因子类型 Typeof ecological factor | 生态因子 Ecological factor | 贡献率/% Contribution rate/% | 生态因子类型 Type of ecological factors | 生态因子 Ecological factors | 贡献率/% Contribution rates/% |
|---|---|---|---|---|---|
| 降水因子 Precipitation factors | Bio_18 | 20.93 | 太阳辐射因子 Solar radiation factors | Srad_06 | 11.88 |
| Bio_14 | 19.73 | Srad_03 | 7.49 | ||
| Bio_12 | 1.68 | Srad_08 | 0.50 | ||
| Bio_15 | 0.28 | Srad_10 | 0.29 | ||
| Prec_09 | 0.76 | Srad_09 | 0.19 | ||
| Prec_03 | 0.69 | Srad_01 | 0.14 | ||
| Prec_10 | 0.64 | 植被因子 Vegetation factors | Class_02 | 5.41 | |
| Prec_07 | 0.34 | Class_01 | 4.88 | ||
| Prec_08 | 0.28 | Class_04 | 2.79 | ||
| Prec_11 | 0.10 | Class_08 | 0.01 | ||
| 土壤因子Soil factors | TAXNWRB | 6.29 | Class_09 | 0.71 | |
| PHIKCL | 1.75 | Class_05 | 0.31 | ||
| BDRICM | 1.27 | Class_11 | 0.22 | ||
| CECSOL | 0.90 | Class_06 | 0.13 | ||
| ACDWRB | 0.55 | Class_03 | 0.12 | ||
| PHIHOX | 0.45 | Class_07 | 0.04 | ||
| BDRLOG | 0.36 | Class_12 | 0.03 | ||
| SNDPPT | 0.29 | 温度因子 Temperature factors | Bio_07 | 3.93 | |
| CLYPPT | 0.22 | Bio_03 | 0.95 | ||
| AWCh1 | 0.21 | Bio_02 | 0.47 | ||
| SLTPPT | 0.19 | Bio_05 | 0.19 | ||
| CRFVOL | 0.18 | Bio_01 | 0.08 | ||
| HISTPR | 0.14 | Bio_08 | 0.04 | ||
| AWCtS | 0.08 | 地形因子 Topography factors | Slope | 0.76 | |
| ORCDRC | 0.08 | Aspectcosine | 0.03 | ||
| BDTICM | 0.01 | Aspectsine | 0.01 |
图2 刀切法分析结果 Bio_01,年均温;Bio_02,平均气温日较差;Bio_03,等温性;Bio_05,最暖月最高温;Bio_07,年温度变化范围;Bio_08,最湿季度平均温度;Bio_12,年降水量;Bio_14,最干月降水量;Bio_15,降水季节性变化系数;Bio_18最暖季度降水量;Class_01,常绿/落叶针叶林占比;Class_02,常绿阔叶林占比;Class_03,落叶阔叶林占比;Class_04,混交林占比;Class_05,灌木林占比;Class_06,草本植被占比;Class_07,被种植和管理的植被占比;Class_08,经常被淹没的植被占比;Class_09,城市/建成区占比;Class_11,裸地占比;Class_12,开放水域占比;Prec_03,3月的降水量;Prec_07,7月的降水量;Prec_08,8月的降水量;Prec_09,9月的降水量;Prec_10,10月的降水量;Prec_11,11月的降水量;Srad_01,1月的太阳辐射值;Srad_03,3月的太阳辐射值;Srad_06,6月的太阳辐射值;Srad_08,8月的太阳辐射值;Srad_09,9月的太阳辐射值;Srad_10,10月的太阳辐射值;ACDWRB,酸性底土等级;AWCh1,田间持水量为pF(土壤水势对数)值2.0时的土壤有效含水量,以体积分数计;AWCtS,土壤饱和含水率,以体积分数计;BDRICM,基岩(R层)厚度;BDRLOG,R层出现的概率;BDTICM,到基岩的绝对深度;CECSOL,土壤阳离子交换量;CLYPPT,黏土(粒径0~2 μm)质量分数;CRFVOL,粗碎片体积分数;HISTPR,有机土概率累积;ORCDRC,土壤(细土)有机碳含量;PHIHOX,水浸提法土壤pH值,浸提液的固液比为1∶10;PHIKCL,氯化钾浸提法土壤pH值,浸提液的固液比为1∶10;SLTPPT,含泥(粒径>2~50 μm)量,以质量分数计;SNDPPT,含砂(粒径>50~2 000 μm)量,以质量分数计;TAXNWRB,土壤等级,基于WRB(世界参比基础)2006;Aspectcosine,坡向余弦;Aspectsine,坡向正弦;Slope,坡度。下同。
Fig.2 Result of Jackknife analysis Bio_01, Annual mean temperature; Bio_02, Mean diurnal temperature range; Bio_03, Isothermality; Bio_05, Maximum temperature of the warmest month; Bio_07, Annual temperature range; Bio_08, Mean temperature of the wettest quarter; Bio_12, Annual precipitation; Bio_14, Precipitation of the driest month; Bio_15, Coefficient of variation of precipitation seasonality; Bio_18, Precipitation in the warmest quarter; Class_01, Proportion of evergreen/deciduous coniferous forest; Class_02, Proportion of evergreen broad-leaved forest; Class_03, Proportion of deciduous broad-leaved forest; Class_04, Proportion of mixed forest; Class_05, Proportion of shrubland; Class_06, Proportion of herbaceous vegetation; Class_07, Proportion of cultivated and managed vegetation; Class_08, Proportion of regularly flooded vegetation; Class_09, Proportion of urban/built-up area; Class_11, Proportion of bare land; Class_12, Proportion of open water; Prec_03, Precipitation in March; Prec_07, Precipitation in July; Prec_08, Precipitation in August; Prec_09, Precipitation in September; Prec_10, Precipitation in October; Prec_11, Precipitation in November; Srad_01, Solar radiation in January; Srad_03, Solar radiation in March; Srad_06, Solar radiation in June; Srad_08, Solar radiation in August; Srad_09, Solar radiation in September; Srad_10, Solar radiation in October; ACDWRB, Acidic subsoil class; AWCh1, Available soil water content at field capacity of pF (logarithm of soil wter potential) value of 2.0, expressed as volume fraction; AWCtS, Saturated soil water content, expressed as volume fraction; BDRICM, Thickness of bedrock (R horizon); BDRLOG, Occurrence probability of bedrock (R horizon); BDTICM, Absolute depth to bedrock; CECSOL, Soil cation exchange capacity; CLYPPT, Mass fraction of clay (particle size 0-2 μm); CRFVOL, Volume fraction of coarse fragments; HISTPR, Cumulative probability of histosols; ORCDRC, Organic carbon content of fine soil; PHIHOX, Soil pH value measured in water, soil-to-solution ratio of 1∶10; PHIKCL, Soil pH value measured in potassium chloride, soil-to-solution ratio of 1∶10; SLTPPT, Mass fraction of silt (particle size >2-50 μm); SNDPPT, Mass fraction of sand (particle size >50-2 000 μm); TAXNWRB, Soil classification based on WRB (World Reference Base) 2006; Aspectcosine, Cosine of aspect; Aspectsine, Sine of aspect; Slope, Slope gradient. The same as below.
| [1] | 中国科学院中国植物志编辑委员会. 中国植物志:第58卷[M]. 北京: 科学出版社, 1979:77. |
| [2] | 刘敬聪. 耐荫与观果皆优的乡土树种: 朱砂根[J]. 广东园林, 2005, 27(3): 36-37. |
| LIU J C. An native species both good in shade and fruit looking: Ardisia crenata Sims[J]. Journal of Guangdong Landscape Architecture, 2005, 27(3): 36-37. | |
| [3] | 国家药典委员会. 中华人民共和国药典: 一部[M]. 北京: 中国医药科技出版社, 2020:155-68. |
| [4] | 贵州省药品监督管理局. 贵州省中药材、民族药材质量标准[M]. 贵阳: 贵州科技出版社, 2003:164. |
| [5] | 广西壮族自治区食品药品监督管理局. 广西壮族自治区壮药质量标准: 第一卷[M]. 2008年版. 南宁: 广西科学技术出版社, 2008:98-99. |
| [6] | 广西壮族自治区食品药品监督管理局. 广西壮族自治区瑶药材质量标准:第一卷[M]. 2014年版. 南宁: 广西科学技术出版社, 2014:129-131. |
| [7] | 余成龙, 宋良科, 吴蜀星, 等. 朱砂根药用资源分布及研究进展[J]. 安徽农业科学, 2012, 40(28): 13793-13794. |
| YU C L, SONG L K, WU S X, et al. The distribution of the medicinal resource of Ardisia crenata Sims and its research progress[J]. Journal of Anhui Agricultural Sciences, 2012, 40(28): 13793-13794. | |
| [8] | 王玉娟, 陶利, 崔苏镇, 等. HPLC-DAD-ELSD法测定伤痛酊中氯化两面针碱、乙氧基白屈菜红碱、岩白菜素和百两金皂苷A的含量[J]. 中国药师, 2014, 17(5): 782-785. |
| WANG Y J, TAO L, CUI S Z, et al. Determination of nitidine chloride, 5-ethoxychelerythrine, bergeninum and ardisiacrispin A in Shangtong tinctures by HPLC-DAD-ELSD[J]. China Pharmacist, 2014, 17(5): 782-785. | |
| [9] | 张金鹤, 石慧, 周英, 等. 一测多评法同时测定开喉剑喷雾剂(儿童型)中4种成分[J]. 中成药, 2022, 44(6): 1760-1765. |
| ZHANG J H, SHI H, ZHOU Y, et al. Simultaneous determination of four constituents in Kaihoujian Throat Spray (for Children) by QAMS[J]. Chinese Traditional Patent Medicine, 2022, 44(6): 1760-1765. | |
| [10] | TAO H H, ZHOU Y Q, YIN X, et al. Two new phenolic glycosides with lactone structural units from leaves of Ardisia crenata Sims with antibacterial and anti-inflammatory activities[J]. Molecules, 2022, 27(15): 4903. |
| [11] | 任群利, 罗倩, 刘华倩, 等. 朱砂根抗肿瘤作用研究进展[J]. 中国比较医学杂志, 2024, 34(1): 165-170. |
| REN Q L, LUO Q, LIU H Q, et al. Antitumor mechanism of Ardisia crenata Radix[J]. Chinese Journal of Comparative Medicine, 2024, 34(1): 165-170. | |
| [12] | 张丽梅, 张应红, 郭凤根, 等. 云南紫金牛属植物资源的调查与评价[J]. 中国野生植物资源, 2013, 32(1): 59-61. |
| ZHANG L M, ZHANG Y H, GUO F G, et al. Investigation and evaluation of Ardisia resources in Yunnan[J]. Chinese Wild Plant Resources, 2013, 32(1): 59-61. | |
| [13] | 骆亮. 福建省不同居群朱砂根遗传多样性研究[D]. 福州: 福建农林大学, 2019. |
| LUO L. Genetic diversity of different populations of Ardisia crenata in Fujian Province[D]. Fuzhou: Fujian Agriculture and Forestry University, 2019. | |
| [14] | 杨春, 师立伟, 王莉, 等. 基于MaxEnt模型的甘肃省牛蒡子生态适宜性分布研究[J]. 中国野生植物资源, 2022, 41(10): 77-80. |
| YANG C, SHI L W, WANG L, et al. Analysis on ecological suitability distribution of Arctiumlappa in Gansu Province by using MaxEnt mode[J]. Chinese Wild Plant Resources, 2022, 41(10): 77-80. | |
| [15] | 王尚涛, 郭怡博, 朱成豪, 等. 基于最大熵模型的宁强天麻生产区划研究[J]. 世界中医药, 2024, 19(6): 763-772. |
| WANG S T, GUO Y B, ZHU C H, et al. Production regionalization study of Gastrodia elata in Ningqiang based on MaxEnt model[J]. World Chinese Medicine, 2024, 19(6): 763-772. | |
| [16] | 徐辉, 王儒年. 乡村生态振兴视域下野生药材资源保护: 阻滞、契合、疏解[J]. 青岛职业技术学院学报, 2023, 36(6): 64-68. |
| XU H, WANG R N. Conservation of wild medicinal resources in the perspective of rural ecological revitalization: blocking, matching, and resolving[J]. Journal of Qingdao Technical College, 2023, 36(6): 64-68. | |
| [17] | 徐佳, 张照宇, 张泽修, 等. 多维指标和生态因子关联分析揭示不同产区三七药材质量的关键驱动因子[J]. 药学学报, 2025, 60(7): 2352-2366. |
| XU J, ZHANG Z Y, ZHANG Z X, et al. Correlation analysis of multi-dimensional indicators and ecological factors reveals the key driving factors for the quality of Panax notoginseng in different origins[J]. Acta Pharmaceutica Sinica, 2025, 60(7): 2352-2366. | |
| [18] | 朱书生, 杨敏, 黄惠川, 等. 药用植物林下生态种植的理论和技术创新与实践[J]. 植物保护学报, 2025, 52(2): 253-266. |
| ZHU S S, YANG M, HUANG H C, et al. Research advances in Chinese medicinal herb ecological cultivation under forest[J]. Journal of Plant Protection, 2025, 52(2): 253-266. | |
| [19] | 沈霞, 郁春柳, 陈坚, 等. 朱砂根栽培技术与促进结实研究初报[J]. 上海农业科技, 2008(3): 99-100. |
| SHEN X, YU C L, CHEN J, et al. Preliminary report on cultivation techniques of Ardisia crenata root and its promotion of seed setting[J]. Shanghai Agricultural Science and Technology, 2008(3): 99-100. | |
| [20] | 朱思. 朱砂根品质评价及其相关药效学研究[D]. 福州: 福建中医药大学, 2016. |
| ZHU S. Quality evaluation and relevant pharmacodynamics of Ardisia crenata Sims[D]. Fuzhou: Fujian University of Traditional Chinese Medicine, 2016. | |
| [21] | 胡优琼, 姜金香, 黄安玲, 等. 贵州及其周边地区朱砂根、红凉伞质量评价[J]. 中成药, 2024, 46(2): 383-390. |
| HU Y Q, JIANG J X, HUANG A L, et al. Quality evaluation of Ardisia crenata and Ardisia crenata var. bicolor from Guizhou and its surrounding regions[J]. Chinese Traditional Patent Medicine, 2024, 46(2): 383-390. | |
| [22] | 陈坚. 朱砂根在上海地区引种的物候观测[J]. 林业科技开发, 2012(3): 122-124. |
| CHEN J. Phenophase of Ardisia crenata introduced to Shanghai[J]. China Forestry Science and Technology, 2012(3): 122-124. | |
| [23] | 赵盈盈, 吴德涛, 杨胜伟, 等. 遵义地区野生朱砂根引种栽培试验[J]. 现代农业科技, 2023(19): 73-76. |
| ZHAO Y Y, WU D T, YANG S W, et al. Introduction and cultivation experiment of wild Ardisia crenata in Zunyi area[J]. Modern Agricultural Science and Technology, 2023(19): 73-76. | |
| [24] | 周琪, 吕享, 林冰, 等. 朱砂根种胚繁育技术研究[J]. 种子, 2022, 41(8): 104-109. |
| ZHOU Q, LYÜ X, LIN B, et al. Study on breeding regulation technology of Ardisia crenata Sims embryo[J]. Seed, 2022, 41(8): 104-109. | |
| [25] | PHILLIPS S J, ANDERSON R P, SCHAPIRE R E. Maximum entropy modeling of species geographic distributions[J]. Ecological Modelling, 2006, 190(3/4): 231-259. |
| [26] | 郭旭东, 席少阳, 杨莉萍, 等. 基于优化MaxEnt模型的我国淫羊藿潜在适生区预测研究[J]. 中国中医药信息杂志, 2024, 31(3): 1-7. |
| GUO X D, XI S Y, YANG L P, et al. Study on prediction of potential suitable distribution areas of Epimedium brevicornu Maxim. in China based on optimal MaxEnt model[J]. Chinese Journal of Information on Traditional Chinese Medicine, 2024, 31(3): 1-7. | |
| [27] | 张惠惠, 孟祥霄, 林余霖, 等. 基于GMPGIS系统和MaxEnt模型预测人参全球潜在生长区域[J]. 中国中药杂志, 2023, 48(18): 4959-4966. |
| ZHANG H H, MENG X X, LIN Y L, et al. Prediction of global potential growth areas for Panax ginseng based on GMPGIS system and MaxEnt model[J]. China Journal of Chinese Materia Medica, 2023, 48(18): 4959-4966. | |
| [28] | 陈紫葳, 杜燕, 郭静霞, 等. 基于MaxEnt与ArcGIS的中国角茴香生态适宜性区划研究[J]. 智慧农业导刊, 2024, 4(1): 14-18. |
| CHEN Z W, DU Y, GUO J X, et al. Study on ecological suitability regionalization of Chinese Hypecoum erectum based on MaxEnt and ArcGIS[J]. Journal of Smart Agriculture, 2024, 4(1): 14-18. | |
| [29] | 查苏娜, 琪波热, 胡红霞, 等. 气候变化背景下濒危药用植物手参在中国潜在适生区预测[J]. 应用生态学报, 2024, 35(11): 3023-3030. |
| ZHA S N, QI B R, HU H X, et al. Prediction of the potential distribution area of endangered medicinal plant Gymnadenia conopsea in China under the background of climate change[J]. Chinese Journal of Applied Ecology, 2024, 35(11): 3023-3030. | |
| [30] | 彭佳, 官会林, 张云峰, 等. 基于MaxEnt模型的药用植物灯盏花在中国的潜在适生区研究[J]. 中国野生植物资源, 2025, 44(1): 117-123. |
| PENG J, GUAN H L, ZHANG Y F, et al. Potential suitable growth areas of medicinal plant Erigeron breviscapus in China based on MaxEnt model[J]. Chinese Wild Plant Resources, 2025, 44(1): 117-123. | |
| [31] | DAI X S, WU W, JI L, et al. MaxEnt model-based prediction of potential distributions of Parnassia wightiana (Celastraceae) in China[J]. Biodiversity Data Journal, 2022, 10: e81073. |
| [32] | MAO M F, CHEN S Q, KE Z Y, et al. Using MaxEnt to predict the potential distribution of the little fire ant (Wasmannia auropunctata) in China[J]. Insects, 2022, 13(11): 1008. |
| [33] | YE X Z, ZHAO G H, ZHANG M Z, et al. Distribution pattern of endangered plant Semiliquidambar cathayensis (Hamamelidaceae) in response to climate change after the last interglacial period[J]. Forests, 2020, 11(4): 434. |
| [34] | 李旭, 彭雪峰, 彭培好. 基于MaxEnt模型的四川省黄杉潜在适生区模拟及主导环境因子探究[J]. 四川林业科技, 2024, 45(3): 21-27. |
| LI X, PENG X F, PENG P H. Simulation of potential suitable areas and exploration of dominant environmental factors of Pseudotsuga sinensis in Sichuan Province based on MaxEnt model[J]. Journal of Sichuan Forestry Science and Technology, 2024, 45(3): 21-27. | |
| [35] | 潘忠义, 关肖月, 陈新. 探析无霜期及其对农业生产的影响[J]. 甘肃科技纵横, 2018, 47(12): 22-23. |
| PAN Z Y, GUAN X Y, CHEN X. Analysis on frost-free period and its influence on agricultural production[J]. Scientific & Technical Information of Gansu, 2018, 47(12): 22-23. | |
| [36] | 庄平, 高贤明. 华西雨屏带及其对我国生物多样性保育的意义[J]. 生物多样性, 2002, 10(3): 339-344. |
| ZHUANG P, GAO X M. The concept of the Rainy Zone of West China and its significance to the biodiversity conservation in China[J]. Chinese Biodiversity, 2002, 10(3): 339-344. | |
| [37] | 李芮芝, 胡希军, 文亚峰, 等. 基于Maxent模型的丹霞梧桐生境预测模拟分析[J]. 中国野生植物资源, 2022, 41(6): 1-7, 30. |
| LI R Z, HU X J, WEN Y F, et al. Habitat prediction simulation analysis of Firmiana danxiaensis based on Maxent[J]. Chinese Wild Plant Resources, 2022, 41(6): 1-7, 30. | |
| [38] | 张迪, 薛明珂, 刘明, 等. 基于生态位模型的南、北五味子潜在适生区预测及其影响因子研究[J]. 湖北农业科学, 2024, 63(1): 116-121. |
| ZHANG D, XUE M K, LIU M, et al. Prediction of potential distribution of Schisandra chinensis and Schisandra sphenanthera based on MaxEnt model and analysis of its important influencing factors[J]. Hubei Agricultural Sciences, 2024, 63(1): 116-121. | |
| [39] | 徐易溱, 文威坚, 林协全, 等. MaxEnt模型预测气候变化下野鸦椿在中国的潜在地理分布[J]. 东北林业大学学报, 2024, 52(10): 47-51. |
| XU Y Z, WEN W J, LIN X Q, et al. Prediction of the potential geographical distribution of Euscaphis japonica in China under climate change using the MaxEnt model[J]. Journal of Northeast Forestry University, 2024, 52(10): 47-51. | |
| [40] | 郑芳, 黄智聪, 陈利君, 等. 基于MaxEnt模型预测中国兰属植物的分布格局及主导气候因子[J]. 广西植物, 2023, 43(6): 1027-1040. |
| ZHENG F, HUANG Z C, CHEN L J, et al. Prediction of distribution patterns and dominant climatic factors of Cymbidium in China using MaxEnt model[J]. Guihaia, 2023, 43(6): 1027-1040. | |
| [41] | 蒋庆莲, 梁键明, 张铭, 等. 基于MaxEnt模型研究气候变化对巴戟天适生分布的影响[J]. 广西科学, 2023, 30(6): 1144-1155. |
| JIANG Q L, LIANG J M, ZHANG M, et al. Climate change effects on suitable area distribution of Morinda officinalis by MaxEnt model[J]. Guangxi Sciences, 2023, 30(6): 1144-1155. | |
| [42] | WU Z T, DIJKSTRA P, KOCH G W, et al. Responses of terrestrial ecosystems to temperature and precipitation change: a meta-analysis of experimental manipulation[J]. Global Change Biology, 2011, 17(2): 927-942. |
| [43] | SONG X L, WANG Y H, LV X M. Responses of plant biomass, photosynthesis and lipid peroxidation to warming and precipitation change in two dominant species (Stipa grandis and Leymus chinensis) from North China Grasslands[J]. Ecology and Evolution, 2016, 6(6): 1871-1882. |
| [44] | 尧聪, 岳媛, 危永胜, 等. 基于MaxEnt模型的川续断气候适宜性分析[J]. 西南大学学报(自然科学版), 2018, 40(3): 60-67. |
| YAO C, YUE Y, WEI Y S, et al. Study of climatic suitability for Dipsacus asper based on MaxEnt model[J]. Journal of Southwest University (Natural Science Edition), 2018, 40(3): 60-67. | |
| [45] | 陈剑, 原晓龙, 谭芮, 等. 基于MaxEnt滇牡丹潜在适生区研究[J]. 西部林业科学, 2018, 47(3): 24-29. |
| CHEN J, YUAN X L, TAN R, et al. A study on the potential distribution of Paeonia delavayi based on MaxEnt model[J]. Journal of West China Forestry Science, 2018, 47(3): 24-29. | |
| [46] | 王志威. 药用植物云南土沉香潜在适生区及其关键气候影响因子[J]. 生态学杂志, 2022, 41(10): 1991-1997. |
| WANG Z W. The potential suitable areas and key climatic impacting factors of medicinal plant Excoecaria acerifolia Didr[J]. Chinese Journal of Ecology, 2022, 41(10): 1991-1997. | |
| [47] | 王艺, 韦小丽. 不同光照对植物生长、生理生化和形态结构影响的研究进展[J]. 山地农业生物学报, 2010, 29(4): 353-359. |
| WANG Y, WEI X L. Advance on the effects of different light environments on growth, physiological biochemistry and morphostructure of plant[J]. Journal of Mountain Agriculture and Biology, 2010, 29(4): 353-359. | |
| [48] | 贾立平. 太阳辐射与植物生长发育的关系[J]. 新农业, 2021(19):36. |
| JIA L P. Relationship between solar radiation and plant growth and development[J]. Modern Agriculture, 2021(19):36. | |
| [49] | HENGL T, MENDES DE JESUS J, HEUVELINK G B M, et al. SoilGrids250m: global gridded soil information based on machine learning[J]. PLoS One, 2017, 12(2): e0169748. |
| [1] | 王茹琳, 李庆, 王明田. 中华猕猴桃在中国种植适宜性区划[J]. 浙江农业学报, 2018, 30(9): 1504-1512. |
| [2] | 张玉屏;朱德峰;*;周宝银;毛国娟;林贤青;陈惠哲. 无纺布与塑膜覆盖下早稻秧田温湿光因子变化的比较[J]. , 2010, 22(5): 618-623. |
| 阅读次数 | ||||||
|
全文 |
|
|||||
|
摘要 |
|
|||||