浙江农业学报 ›› 2026, Vol. 38 ›› Issue (3): 481-490.DOI: 10.3969/j.issn.1004-1524.20241027

• 园艺科学 • 上一篇    下一篇

桑木基质袋料栽培桑黄子实体抗肿瘤活性研究

吕正华1(), 钟石2, 赵辉2, 董馨恬2, 冯佳怡2, 孙雨晴2, 霍进喜2, 李有贵2, 陈田飞3,*()   

  1. 1. 东阳市大园蜜桃专业合作社, 浙江 东阳 322111
    2. 浙江省农业科学院 蚕桑与茶叶研究所, 浙江 杭州 310021
    3. 淳安县农业农村发展服务中心, 浙江 淳安 311700
  • 收稿日期:2024-11-29 出版日期:2026-03-25 发布日期:2026-04-17
  • 作者简介:*陈田飞,E-mail: queen77-shmily@163.com
    吕正华,主要从事中药材、水果栽培与利用研究。E-mail:947489709@qq.com
  • 通讯作者: 陈田飞
  • 基金资助:
    浙江省农业技术协同推广计划(2024ZDXT08);淳安县科技特派员项目;淳安特别生态功能区科研项目

Study on the anti-tumor activity of Sanghuangporus spp. fruiting body cultivated with mulberry substrate bag

LYU Zhenghua1(), ZHONG Shi2, ZHAO Hui2, DONG Xintian2, FENG Jiayi2, SUN Yuqing2, HUO Jinxi2, LI Yougui2, CHEN Tianfei3,*()   

  1. 1. Dongyang Dayuan Peach Professional Cooperative, Dongyang 322111, Zhejiang, China
    2. Institute of Sericulture and Tea, Zhejiang Academy of Agricultural Sciences, Hangzhou 310021, China
    3. Chun’an County Agricultural and Rural Development Service Center, Chun’an 311700, Zhejiang, China
  • Received:2024-11-29 Published:2026-03-25 Online:2026-04-17
  • Contact: CHEN Tianfei

摘要:

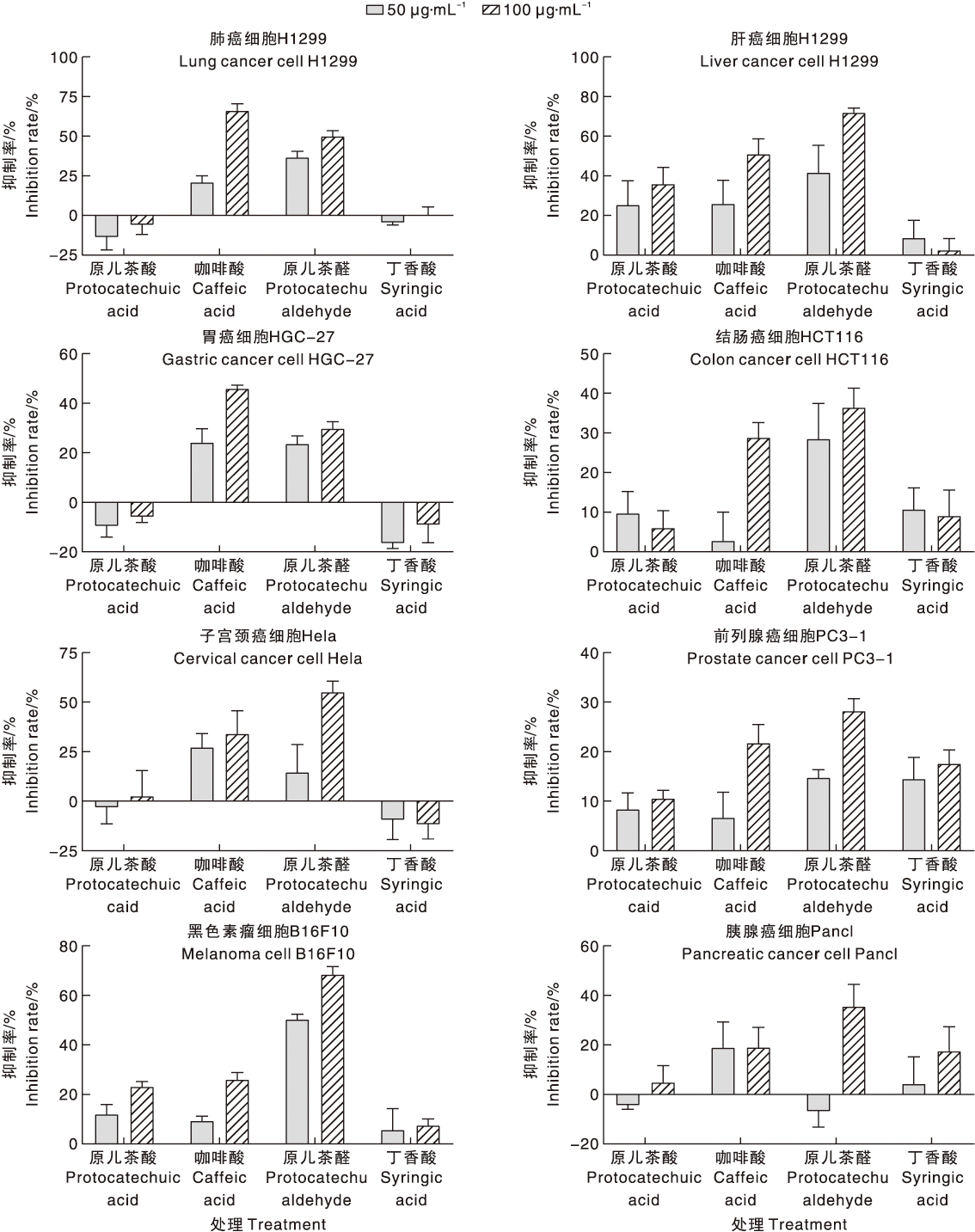
桑黄(Sanghuangporus spp.)具有显著的抗肿瘤活性,然而,人工栽培桑黄对不同肿瘤细胞的抑制效应及其作用成分尚不明确。本研究以桑木基质袋料栽培的桑黄子实体为材料,评估了桑黄水提取物、粗多糖、粗多酚对肺癌细胞H1299、肝癌细胞HepG2、胃癌细胞HGC-27、结肠癌细胞HCT116、宫颈癌细胞HeLa、前列腺癌细胞PC3-1、黑色素瘤细胞B16F10、胰腺癌细胞Panc1的抑制作用。结果显示,桑黄水提取物、粗多糖、粗多酚对不同肿瘤细胞的增殖抑制作用差异显著。水提取物(800 mg·L-1)对肿瘤细胞B16F10、HepG2、HGC-27具有较强的抑制活性,抑制率分别为96.57%、96.41%和93.93%;粗多糖(800 mg·L-1)对肿瘤细胞H1299、HepG2、HGC-27、B16F10具有较强的抑制活性,抑制率分别为80.95%、80.45%、85.20%、81.28%;粗多酚(800 mg·L-1)对肿瘤细胞HepG2、HGC-27、B16F10具有较强的抑制活性,抑制率分别为95.11%、93.41%、94.94%。以上结果说明,人工栽培桑黄子实体不同组分的抗肿瘤活性具有细胞选择性,且桑黄粗多糖、粗多酚具有协同增效抑制肿瘤细胞增殖的活性。流式细胞仪分析发现,水提取物可诱导HGC-27细胞S期阻滞,但对细胞周期分布影响并不显著;进一步分析发现,水提取物(300、400 mg·L-1)明显促进了HGC-27细胞的晚期凋亡。实时荧光定量聚合酶链反应(qRT-PCR)分析发现,水提取物处理显著降低了HGC-27细胞中抗凋亡蛋白基因Bcl-2、Bcl-XL的表达,同时显著上调了促凋亡基因BakBidtBidBax的表达,进而激活了下游基因CYCSCaspase-9、Caspase-3的表达,从而促进细胞凋亡。本研究结果明确了人工栽培桑黄子实体的抗肿瘤功效,为推动桑黄人工栽培产业的发展提供了科学依据。

关键词: 桑黄, 子实体, 水提取物, 粗多糖, 粗多酚, 抗肿瘤

Abstract:

Sanghuangporus spp. have good anti-tumor effects, but the inhibitory effects and functional components of artificially cultivated Sanghuangporus spp. on different tumor cells are still unclear. In this study, the inhibitory effects of water extracts, crude polysaccharide and crude polyphenol of Sanghuangporus spp. on lung cancer cell H1299, liver cancer cell HepG2, gastric cancer cell HGC-27, colon cancer cell HCT116, cervical cancer cell HeLa, prostate cancer cell PC3-1, melanoma cell B16F10, and pancreatic cancer cell Panc1 were evaluated using Sanghuangporus spp. fruit body cultivated in mulberry substrate bags. The result showed that there existed significant differences in the inhibitory effects of water extracts, crude polysaccharides, and crude polyphenols on the proliferation of different tumor cells. The water extracts (800 mg·L-1) had good inhibitory effects on tumor cells B16F10 (96.57%), HepG2 (96.41%) and HGC-27 (93.93%). Crude polysaccharides (800 mg·L-1) had high inhibitory activity on tumor cells H1299 (80.95%), HepG2 (80.45%), HGC-27 (85.20%) and B16F10 (81.28%). Crude polyphenols (800 mg·L-1) had strong inhibitory effects on tumor cells HepG2 (95.11%), HGC-27 (93.41%) and B16F10 (94.94%). The above results indicated that the anti-tumor activity of different components of artificially cultivated Sanghuangporus spp. fruit bodies had cell selectivity, and crude polysaccharides and polyphenols had synergistic activity in inhibiting tumor cell proliferation. Flow cytometry analysis revealed that water extracts could induce S phase arrest in HGC-27 cells, but had no significant effects on cell cycle distribution. Further analysis revealed that water extract (300, 400 mg·L-1) significantly promoted late stage apoptosis in HGC-27 cells. qRT-PCR analysis revealed that treatment with water extract significantly reduced the expression of anti-apoptotic genes Bcl-2 and Bcl XL in HGC-27 cells, while significantly up-regulating the expression of pro-apoptotic genes Bak, Bid, tBid, and Bax, thereby activating the expression of downstream genes CYCS, Caspase-9, and Caspase-3, thereby promoting cell apoptosis. The results of this study clarified the anti-tumor effect of artificially cultivated Sanghuangporus spp. fruit body, providing scientific basis for promoting the development of Sanghuangporus spp. artificial cultivation industry.

Key words: Sanghuangporus spp., fruiting body, water extracts, crude polysaccharide, crude polyphenol, anti-tumor

中图分类号: