Acta Agriculturae Zhejiangensis ›› 2025, Vol. 37 ›› Issue (10): 2179-2189.DOI: 10.3969/j.issn.1004-1524.20241040
• Quality and Safety of Agricultural Products • Previous Articles Next Articles
REN Xiaorong1,2(
), WANG Xinquan2, ZHANG Shanying3, WANG Meng3, ZHU Hongming1, ZHANG Chenghui1,*(
), QI Peipei2,*(
)
Received:2024-11-29
Online:2025-10-25
Published:2025-11-13
CLC Number:
REN Xiaorong, WANG Xinquan, ZHANG Shanying, WANG Meng, ZHU Hongming, ZHANG Chenghui, QI Peipei. Simultaneous determination of five bioactive substances in mulberry leaves by LC-MS/MS[J]. Acta Agriculturae Zhejiangensis, 2025, 37(10): 2179-2189.
Add to citation manager EndNote|Ris|BibTeX
URL: http://www.zjnyxb.cn/EN/10.3969/j.issn.1004-1524.20241040
| 生物活性物质 Bioactive substances | 分子式 Molecular Formula | 先驱离子 Precursor ion(m/z) | 产物离子 Product ions(m/z) | 锥孔电压 Conce voltage/V | 碰撞能量 Collision energy/eV | 保留时间 Retention time/min |
|---|---|---|---|---|---|---|
| DNJ | C6H13NO4 | 164 | 69*/80 | 50 | 23/22 | 0.72 |
| VP | C27H30O16 | 611 | 303*/465 | 50 | 25/10 | 3.07 |
| IQ | C21H20O12 | 463 | 300*/255 | 50 | 25/54 | 3.09 |
| Phe | C9H11NO2 | 166 | 120*/103 | 50 | 13/29 | 2.76 |
| GABA | C4H9NO2 | 104 | 87*/69 | 50 | 8/15 | 0.76 |
Table 1 The information and mass spectrometric analysis parameters of 5 bioactive substances
| 生物活性物质 Bioactive substances | 分子式 Molecular Formula | 先驱离子 Precursor ion(m/z) | 产物离子 Product ions(m/z) | 锥孔电压 Conce voltage/V | 碰撞能量 Collision energy/eV | 保留时间 Retention time/min |
|---|---|---|---|---|---|---|
| DNJ | C6H13NO4 | 164 | 69*/80 | 50 | 23/22 | 0.72 |
| VP | C27H30O16 | 611 | 303*/465 | 50 | 25/10 | 3.07 |
| IQ | C21H20O12 | 463 | 300*/255 | 50 | 25/54 | 3.09 |
| Phe | C9H11NO2 | 166 | 120*/103 | 50 | 13/29 | 2.76 |
| GABA | C4H9NO2 | 104 | 87*/69 | 50 | 8/15 | 0.76 |
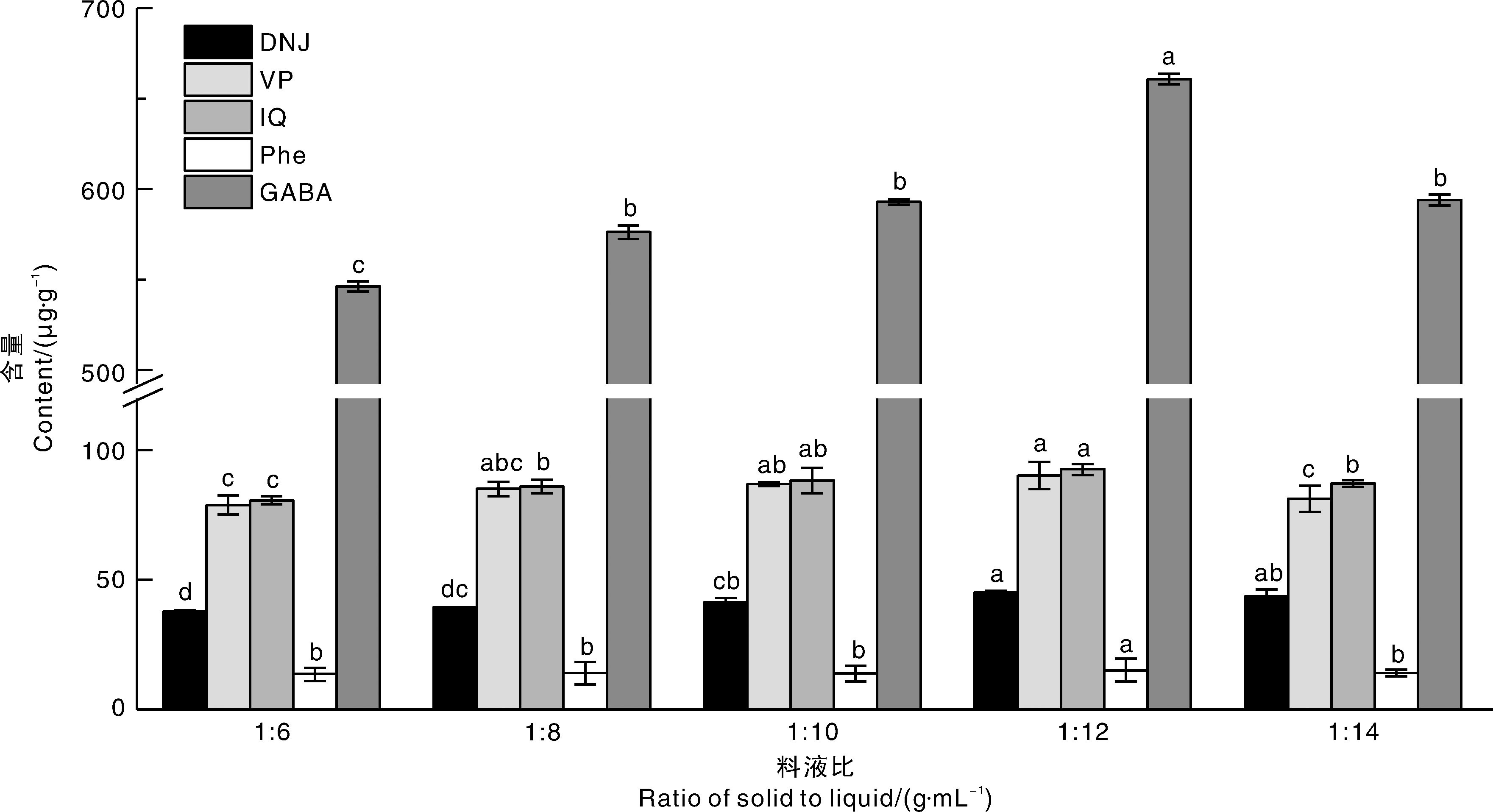
Fig.1 Contents of five bioactive substances under different methanol volume fractions DNJ, 1-Deoxynojirimycin; VP, Rutin; IQ, Isoquercitrin; Phe, Phenylalanine; GABA, γ-Aminobutyric acid. Different lowercase letters for the same index indicate significant differences between treatments (p<0.05). The same as below.
| 生物活性物质 Bioactive substances | 线性方程 Linear equation | 线性范围 Linear range/(μg·kg-1) | 相关系数 r | 检测限 LOD/(μg·kg-1) | 定量限 LOQ/(μg·kg-1) |
|---|---|---|---|---|---|
| DNJ | Y=782X+1 408 | 1~200 | 0.999 7 | 0.78 | 2.59 |
| VP | Y=918X+1 516 | 1~200 | 0.998 6 | 0.67 | 2.25 |
| IQ | Y=824X+600 | 1~200 | 0.998 8 | 0.47 | 1.56 |
| Phe | Y=11730X+91 353 | 1~200 | 0.998 9 | 0.67 | 2.24 |
| GABA | Y=1716X+1 677 | 1~200 | 0.999 4 | 0.93 | 3.10 |
Table 2 Regression equations, correlation coefficients, detection limit (LOD) and quantification limit(LOQ) of five bioactive substances
| 生物活性物质 Bioactive substances | 线性方程 Linear equation | 线性范围 Linear range/(μg·kg-1) | 相关系数 r | 检测限 LOD/(μg·kg-1) | 定量限 LOQ/(μg·kg-1) |
|---|---|---|---|---|---|
| DNJ | Y=782X+1 408 | 1~200 | 0.999 7 | 0.78 | 2.59 |
| VP | Y=918X+1 516 | 1~200 | 0.998 6 | 0.67 | 2.25 |
| IQ | Y=824X+600 | 1~200 | 0.998 8 | 0.47 | 1.56 |
| Phe | Y=11730X+91 353 | 1~200 | 0.998 9 | 0.67 | 2.24 |
| GABA | Y=1716X+1 677 | 1~200 | 0.999 4 | 0.93 | 3.10 |
| 生物活性物质 Bioactive substances | 本底检出值 Background/(μg·g-1) | 添加值 Added/(μg·g-1) | 检测值 Found/(μg·g-1) | 平均回收率 Average recovery/% | 相对标准偏差 RSD/% |
|---|---|---|---|---|---|
| DNJ | 22.5±0.6 | 16 | 35.3±0.9 | 80.0 | 7.4 |
| 22.5±0.6 | 20 | 38.6±1.2 | 80.9 | 7.3 | |
| 22.5±0.6 | 24 | 40.7±1.5 | 76.0 | 8.0 | |
| VP | 19.9±0.3 | 32 | 48.6±0.5 | 89.9 | 1.8 |
| 19.9±0.3 | 40 | 56.4±2.5 | 91.4 | 6.7 | |
| 19.9±0.3 | 48 | 65.1±1.2 | 94.3 | 2.6 | |
| IQ | 23.6±0.8 | 32 | 51.6±0.8 | 87.5 | 2.7 |
| 23.6±0.8 | 40 | 57.1±4.2 | 83.7 | 12.6 | |
| 23.6±0.8 | 48 | 61.7±1.0 | 79.6 | 2.6 | |
| Phe | 20.3±0.3 | 16 | 32.8±1.5 | 77.9 | 12.1 |
| 20.3±0.3 | 20 | 36.5±0.4 | 80.6 | 2.5 | |
| 20.3±0.3 | 24 | 40.8±0.1 | 85.3 | 0.2 | |
| GABA | 547.7±9.7 | 560 | 1 105.1±4.6 | 99.5 | 0.8 |
| 547.7±9.7 | 700 | 1 228.6±71.8 | 97.3 | 10.6 | |
| 547.7±9.7 | 840 | 1 334.1±31.9 | 93.6 | 4.1 |
Table 3 Recoveries of five bioactive substances from mulberry leaves at different spike levels (n=3)
| 生物活性物质 Bioactive substances | 本底检出值 Background/(μg·g-1) | 添加值 Added/(μg·g-1) | 检测值 Found/(μg·g-1) | 平均回收率 Average recovery/% | 相对标准偏差 RSD/% |
|---|---|---|---|---|---|
| DNJ | 22.5±0.6 | 16 | 35.3±0.9 | 80.0 | 7.4 |
| 22.5±0.6 | 20 | 38.6±1.2 | 80.9 | 7.3 | |
| 22.5±0.6 | 24 | 40.7±1.5 | 76.0 | 8.0 | |
| VP | 19.9±0.3 | 32 | 48.6±0.5 | 89.9 | 1.8 |
| 19.9±0.3 | 40 | 56.4±2.5 | 91.4 | 6.7 | |
| 19.9±0.3 | 48 | 65.1±1.2 | 94.3 | 2.6 | |
| IQ | 23.6±0.8 | 32 | 51.6±0.8 | 87.5 | 2.7 |
| 23.6±0.8 | 40 | 57.1±4.2 | 83.7 | 12.6 | |
| 23.6±0.8 | 48 | 61.7±1.0 | 79.6 | 2.6 | |
| Phe | 20.3±0.3 | 16 | 32.8±1.5 | 77.9 | 12.1 |
| 20.3±0.3 | 20 | 36.5±0.4 | 80.6 | 2.5 | |
| 20.3±0.3 | 24 | 40.8±0.1 | 85.3 | 0.2 | |
| GABA | 547.7±9.7 | 560 | 1 105.1±4.6 | 99.5 | 0.8 |
| 547.7±9.7 | 700 | 1 228.6±71.8 | 97.3 | 10.6 | |
| 547.7±9.7 | 840 | 1 334.1±31.9 | 93.6 | 4.1 |
| 叶位 Leaf position | 含量Content | ||||
|---|---|---|---|---|---|
| DNJ | VP | IQ | Phe | GABA | |
| 芽尖Bud | 318.4±35.7 a | 7.1±0.9 c | 3.7±0.5 c | 62.8±4.3 a | 583.8±22.2 a |
| 上叶位Apical leaf | 253.5±18.1 b | 8.0±0.7 c | 4.2±0.4 c | 41.3±1.0 b | 547.3±26.3 b |
| 中叶位Middle leaf | 194.7±2.9 c | 13.9±1.5 b | 7.9±0.2 b | 22.3±0.9 c | 546.7±15.7 b |
| 下叶位Basal leaf | 154.1±10.0 d | 18.9±1.9 a | 11.1±1.0 a | 21.2±1.8 c | 496.0±5.7 c |
Table 4 Content of 5 bioactive substances in mulberry leaves at different leaf positionsμg·g-1
| 叶位 Leaf position | 含量Content | ||||
|---|---|---|---|---|---|
| DNJ | VP | IQ | Phe | GABA | |
| 芽尖Bud | 318.4±35.7 a | 7.1±0.9 c | 3.7±0.5 c | 62.8±4.3 a | 583.8±22.2 a |
| 上叶位Apical leaf | 253.5±18.1 b | 8.0±0.7 c | 4.2±0.4 c | 41.3±1.0 b | 547.3±26.3 b |
| 中叶位Middle leaf | 194.7±2.9 c | 13.9±1.5 b | 7.9±0.2 b | 22.3±0.9 c | 546.7±15.7 b |
| 下叶位Basal leaf | 154.1±10.0 d | 18.9±1.9 a | 11.1±1.0 a | 21.2±1.8 c | 496.0±5.7 c |
| [1] | 杨虎, 沈浩. 中国传统桑树资源利用变迁及其当代生态价值探微[J]. 蚕业科学, 2021, 47(4): 374-379. |
| YANG H, SHEN H. Changes of traditional mulberry resource utilization in China and its contemporary ecological value[J]. Acta Sericologica Sinica, 2021, 47(4): 374-379. (in Chinese with English abstract) | |
| [2] | LI Y G, XU W Y, ZHANG F, et al. The gut microbiota-produced indole-3-propionic acid confers the antihyperlipidemic effect of mulberry-derived 1-deoxynojirimycin[J]. mSystems, 2020, 5(5): e00313-20. |
| [3] | LI Y G, ZHONG S, YU J Q, et al. The mulberry-derived 1-deoxynojirimycin (DNJ) inhibits high-fat diet (HFD)-induced hypercholesteremia and modulates the gut microbiota in a gender-specific manner[J]. Journal of Functional Foods, 2019, 52: 63-72. |
| [4] | MA Q T, LI Y Q, ZHAO R X, et al. Therapeutic mechanisms of mulberry leaves in type 2 diabetes based on metabolomics[J]. Frontiers in Pharmacology, 2022, 13: 954477. |
| [5] | LIN Z W, GAN T T, HUANG Y Z, et al. Anti-inflammatory activity of mulberry leaf flavonoids in vitro and in vivo[J]. International Journal of Molecular Sciences, 2022, 23(14): 7694. |
| [6] | HOU D Z, TANG J, FENG Q Q, et al. Gamma-aminobutyric acid (GABA): a comprehensive review of dietary sources, enrichment technologies, processing effects, health benefits, and its applications[J]. Critical Reviews in Food Science and Nutrition, 2024, 64(24): 8852-8874. |
| [7] | BAI H X, JIANG W, YAN R N, et al. Comparing the effects of three processing methods on the efficacy of mulberry leaf tea: Analysis of bioactive compounds, bioavailability and bioactivity[J]. Food Chemistry, 2023, 405: 134900. |
| [8] | LEE X Y, TAN J S, CHENG L H. Gamma aminobutyric acid (GABA) enrichment in plant-based food: a mini review[J]. Food Reviews International, 2023, 39(8): 5864-5885. |
| [9] | 吴潇, 胡杨, 蒙小玉, 等. 不同有机溶剂提取翠冠梨果皮蜡质效果比较研究[J]. 果树学报, 2023, 40(12): 2562-2573. |
| WU X, HU Y, MENG X Y, et al. Comparison of cuticular wax extraction from pear fruit by different organic solvents[J]. Journal of Fruit Science, 2023, 40(12): 2562-2573. (in Chinese with English abstract) | |
| [10] | 张朝阳, 马明, 李金霖, 等. 以丙酮为溶剂提取纯化槐米中芦丁的工艺研究[J]. 化学研究, 2024, 35(1): 29-39. |
| ZHANG C Y, MA M, LI J L, et al. Study on extraction and purification technique of rutin from Sophora japonica L. using acetone as solvent[J]. Chemical Research, 2024, 35(1): 29-39. (in Chinese with English abstract) | |
| [11] | 王玲玲, 边祥雨, 高蔚娜, 等. 植物类黄酮提取纯化技术研究进展[J]. 营养学报, 2019, 41(6): 606-610. |
| WANG L L, BIAN X Y, GAO W N, et al. Advances in extraction and purification techniques for flavonoids in plants[J]. Acta Nutrimenta Sinica, 2019, 41(6): 606-610. (in Chinese with English abstract) | |
| [12] | 李雅琪, 余涛, 李继洋, 等. 几种现代检测技术在桑叶活性成分和有害物质残留分析中的应用[J]. 蚕业科学, 2020, 46(5): 642-649. |
| LI Y Q, YU T, LI J Y, et al. Application of several modern detection methods to analysis of active ingredient and residue of harmful substance in mulberry leaf[J]. Acta Sericologica Sinica, 2020, 46(5): 642-649. (in Chinese with English abstract) | |
| [13] | 孔维涓, 庞道睿, 杜冰, 等. HS-SPME-GC-MS结合GC-O分析不同叶位桑叶挥发性风味物质[J]. 食品工业科技, 2024, 45(16): 282-291. |
| KONG W J, PANG D R, DU B, et al. Analysis of volatile flavor substances in different leaf positions of mulberry leaves using HS-SPME-GC-MS combined with GC-O[J]. Science and Technology of Food Industry, 2024, 45(16): 282-291. (in Chinese with English abstract) | |
| [14] | LING X, HU Y F, HU Y M, et al. Analysis of chlorogenic acid and two flavonoids in mulberry leaves of different harvest periods and origins and HPLC fingerprint study for quality control[J]. Journal of Food Composition and Analysis, 2024, 132: 106284. |
| [15] | 王梅, 黄晓梅, 幸秭余, 等. 高效液相色谱法同时测定桑叶中9种多酚类成分含量[J]. 食品工程, 2024(2): 66-68. |
| WANG M, HUANG X M, XING Z Y, et al. Simultaneous determination of nine polyphenols in mulberry leaves by HPLC[J]. Food Engineering, 2024(2): 66-68. (in Chinese with English abstract) | |
| [16] | 何聪杰, 李舸远. HPLC法测定桑叶和金银花中绿原酸及四种黄酮类化合物[J]. 海峡药学, 2023, 35(9): 25-32. |
| HE C J, LI G Y. Determination of chlorogenic acid and four flavonoids from Flos lonicerae and mulberry leaf by HPLC[J]. Strait Pharmaceutical Journal, 2023, 35(9): 25-32. (in Chinese with English abstract) | |
| [17] | 侯建波, 谢文, 钱艳, 等. 固相萃取-液相色谱-串联质谱法同时测定蜂蜜中16种黄酮类化合物和阿魏酸[J]. 色谱, 2020, 38(5): 529-537. |
| HOU J B, XIE W, QIAN Y, et al. Simultaneous determination of 16 flavonoids and ferulic acid in honey by solid phase extraction and high performance liquid chromatography-tandem mass spectrometry[J]. Chinese Journal of Chromatography, 2020, 38(5): 529-537. (in Chinese with English abstract) | |
| [18] | SCHNURR C, BUCKETT L, BITENC J, et al. Quantification of mulberrin and morusin in mulberry and other food plants via stable isotope dilution analysis using LC-MS/MS[J]. Food Chemistry, 2025, 473: 143061. |
| [19] | DEMIR S, KOYU H, YILMAZ M A, et al. Antityrosinase activity and LC-MS/MS analysis of optimized ultrasound-assisted condition extracts and fractions from strawberry tree (Arbutus unedo L.)[J]. Journal of Food and Drug Analysis, 2024, 32(2): 194-212. |
| [20] | JIN X, ACKAH M, WANG L, et al. Magnesium nutrient application induces metabolomics and physiological responses in mulberry (Morus alba) plants[J]. International Journal of Molecular Sciences, 2023, 24(11): 9650. |
| [21] | DENG F H, LIANG Y H, LEI Y L, et al. Development and identification of novel α-glucosidase inhibitory peptides from mulberry leaves[J]. Foods, 2023, 12(21): 3917. |
| [22] | 王瑞娴, 楚渠, 禚苏, 等. 不同桑品种的桑叶多酚和黄酮含量的测定[J]. 陕西农业科学, 2019, 65(1): 78-80. |
| WANG R X, CHU Q, ZHUO S, et al. Determination of polyphenol and flavone in leaves of different mulberry varieties[J]. Shaanxi Journal of Agricultural Sciences, 2019, 65(1): 78-80. (in Chinese with English abstract) | |
| [23] | YU Y F, HUANG J Z, DENG Z H, et al. Soil application of Bacillus subtilis regulates flavonoid and alkaloids biosynthesis in mulberry leaves[J]. Metabolites, 2024, 14(4): 180. |
| [24] | PANYATIP P, PADUMANONDA T, YONGRAM C, et al. Impact of tea processing on tryptophan, melatonin, phenolic and flavonoid contents in mulberry (Morus alba L.) leaves: quantitative analysis by LC-MS/MS[J]. Molecules, 2022, 27(15): 4979. |
| [25] | 钟石, 吴伟杰, 霍进喜, 等. HPLC法测定桑叶1-脱氧野尻霉素(DNJ)含量的方法学研究[J]. 蚕桑通报, 2022, 53(3): 15-20. |
| ZHONG S, WU W J, HUO J X, et al. Methodological study on the determination of 1-DNJ in mulberry leaf with HPLC[J]. Bulletin of Sericulture, 2022, 53(3): 15-20. (in Chinese with English abstract) | |
| [26] | ZHANG L L, BAI Y L, SHU S L, et al. Simultaneous quantitation of nucleosides, nucleobases, amino acids, and alkaloids in mulberry leaf by ultra high performance liquid chromatography with triple quadrupole tandem mass spectrometry[J]. Journal of Separation Science, 2014, 37(11): 1265-1275. |
| [27] | 白娟, 朱倩云, 白华, 等. 高效液相色谱法同时测定桑叶中绿原酸及4种黄酮类成分的含量[J]. 中药新药与临床药理, 2020, 31(4): 469-472. |
| BAI J, ZHU Q Y, BAI H, et al. Simultaneous determination of chlorogenic acid and four flavonoids in Mori folium by HPLC[J]. Traditional Chinese Drug Research and Clinical Pharmacology, 2020, 31(4): 469-472. (in Chinese with English abstract) | |
| [28] | 倪沁, 朱柏羽, 蒋浣竹, 等. 桑叶中1-脱氧野尻霉素的提取、分离及纯化方法研究进展[J]. 食品研究与开发, 2017, 38(20): 199-203. |
| NI Q, ZHU B Y, JIANG H Z, et al. Review on the methods of extraction, isolation and purification of 1-deoxynojirimycin in mulberry leaf[J]. Food Research and Development, 2017, 38(20): 199-203. (in Chinese with English abstract) | |
| [29] | 沈维治, 廖森泰, 刘吉平, 等. 用二次回归正交旋转组合设计优化桑叶多酚的提取工艺[J]. 蚕业科学, 2009, 35(3): 594-598. |
| SHEN W Z, LIAO S T, LIU J P, et al. Optimization of polyphenol extraction from mulberry leaves using quadratic regression rotational combinational design[J]. Science of Sericulture, 2009, 35(3): 594-598. (in Chinese with English abstract) | |
| [30] | 曹小雪, 吉绍长, 匡雯婕, 等. 甲醇-水溶剂中L-苯丙氨酸结晶热力学[J]. 化工学报, 2019, 70(4): 1255-1262. |
| CAO X X, JI S C, KUANG W J, et al. Crystallization thermodynamics of L-phenylalanine in methanol-water solvent[J]. CIESC Journal, 2019, 70(4): 1255-1262. (in Chinese with English abstract) | |
| [31] | 马强, 张涛, 沐万孟, 等. γ-氨基丁酸结晶热力学的研究[J]. 食品工业科技, 2010, 31(2): 77-79. |
| MA Q, ZHANG T, MU W M, et al. Crystallization thermodynamics of γ-aminobutyric acid[J]. Science and Technology of Food Industry, 2010, 31(2): 77-79. (in Chinese with English abstract) | |
| [32] | 郑燕菲, 韦凤, 韦金田. 单性木兰多糖的提取及其抗氧化稳定性能[J]. 化学工程, 2024, 52(9): 14-19. |
| ZHENG Y F, WEI F, WEI J T. Extraction and antioxidant stability of polysaccharide from Magnolia kwangsiensis Figlar & Noot[J]. Chemical Engineering(China), 2024, 52(9): 14-19. (in Chinese with English abstract) | |
| [33] | 蒲俊松. 桑叶生物碱的检测提取及含量分析[D]. 重庆: 西南大学, 2016. |
| PU J S. Determination, extraction and concentration analysis of alkaloid in mulberry leaves[D]. Chongqing: Southwest University, 2016. (in Chinese with English abstract) | |
| [34] | YUSOFF I M, MAT TAHER Z, RAHMAT Z, et al. A review of ultrasound-assisted extraction for plant bioactive compounds: phenolics, flavonoids, thymols, saponins and proteins[J]. Food Research International, 2022, 157: 111268. |
| [35] | ARANDA-LEDESMA N E, AGUILAR-ZÁRATE P, BAUTISTA-HERNÁNDEZ I, et al. The optimization of ultrasound-assisted extraction for bioactive compounds from Flourensia cernua and Jatropha dioica and the evaluation of their functional properties[J]. Horticulturae, 2024, 10(7): 709. |
| [36] | 董智丹, 王宝林, 黄氏玄庄, 等. 油茶枯饼总黄酮提取工艺优化、含量测定及其抗氧化活性研究[J]. 饲料研究, 2024, 47(11): 89-95. |
| DONG Z D, WANG B L, HUANG S X Z, et al. Optimization of extraction technology, content determination, and antioxidant activity of total flavonoids from Camellia oleifera cake[J]. Feed Research, 2024, 47(11): 89-95. (in Chinese with English abstract) | |
| [37] | 李有贵, 林天宝, 钟石, 等. 桑叶1-脱氧野尻霉素生长分布规律研究[J]. 浙江农业学报, 2014, 26(5): 1240-1245. |
| LI Y G, LIN T B, ZHONG S, et al. Study on the growth and distribution of 1-deoxynojirimycin in mulberry leaf[J]. Acta Agriculturae Zhejiangensis, 2014, 26(5): 1240-1245. (in Chinese with English abstract) | |
| [38] | 徐斌, 张东阳, 刘利, 等. 高效液相色谱荧光检测法测定22种桑叶中1-脱氧野尻霉素含量的研究[J]. 安徽农业科学, 2015, 43(20): 1-3. |
| XU B, ZHANG D Y, LIU L, et al. Determination of 1-deoxynojirimycin in 22 kinds of mulberry leaves using high-performance liquid chromatography with a fluorescence detector[J]. Journal of Anhui Agricultural Sciences, 2015, 43(20): 1-3. (in Chinese with English abstract) | |
| [39] | LOU D S, ZOU F M, YAN H, et al. Factors influencing the biosynthesis of 1-deoxynojirimycin in Morus alba L[J]. African Journal of Agricultural Research, 2011, 6(13): 2998-3006. |
| [40] | CHEN Q B, MAN C, LI D N, et al. Arogenate dehydratase isoforms differentially regulate anthocyanin biosynthesis in Arabidopsis thaliana[J]. Molecular Plant, 2016, 9(12): 1609-1619. |
| [41] | YANG Z, LUO Y W, XIA X Y, et al. Dehydrogenase MnGutB1 catalyzes 1-deoxynojirimycin biosynthesis in mulberry[J]. Plant Physiology, 2023, 192(2): 1307-1320. |
| [42] | SHEN N, WANG T F, GAN Q, et al. Plant flavonoids: classification, distribution, biosynthesis, and antioxidant activity[J]. Food Chemistry, 2022, 383: 132531. |
| [43] | LI Z X, YANG W J, AHAMMED G J, et al. Developmental changes in carbon and nitrogen metabolism affect tea quality in different leaf position[J]. Plant Physiology and Biochemistry, 2016, 106: 327-335. |
| [1] | ZHAO Yuhong, HE Wen, LI Gen, WANG Qiang, XIE Rui, WANG Yan, CHEN Qing, WANG Xiaorong. Fruit quality of Citrus maxima (Burm.) Merrill and its bud mutants varieties in Sichuan area [J]. Acta Agriculturae Zhejiangensis, 2022, 34(5): 995-1004. |
| [2] | LI You\|gui, LIN Tian\|bao, ZHONG Shi, LYU Zhi\|qiang, JI Dong\|feng*. Study on the growth and distribution of 1\|deoxynojirimycin in mulberry leaf [J]. , 2014, 26(5): 1240-. |
| Viewed | ||||||
|
Full text |
|
|||||
|
Abstract |
|
|||||