浙江农业学报 ›› 2026, Vol. 38 ›› Issue (3): 506-519.DOI: 10.3969/j.issn.1004-1524.20250207
收稿日期:2025-03-20
出版日期:2026-03-25
发布日期:2026-04-17
作者简介:*楼兵干,E-mail:bglou@zju.edu.cn通讯作者:
楼兵干
基金资助:
CHEN Runli1(
), LIU Pengfei1, TANG Siyin2, LOU Binggan1,*(
)
Received:2025-03-20
Published:2026-03-25
Online:2026-04-17
Contact:
LOU Binggan
摘要:
甘草主要产于我国西北地区,具有重要的药用价值,是我国传统中草药之一。在人工种植区,甘草种子发芽率低、出苗率低且苗期病害普遍较重,严重制约产业发展。为明确甘草种带真菌对种子发芽和出苗的影响,对来自新疆、内蒙古、陕西和甘肃19个地区的甘草种子所携带真菌进行分离纯化,通过形态学与分子生物学鉴定,发现主要种带真菌为少根根霉(Rhizopus arrhizus)、黄曲霉(Aspergillus flavus)、黑曲霉(Aspergillus niger)、细极链格孢(Alternaria tenuissima)、新棒状拟盘多毛孢(Neopestalotiopsis clavispora)和木贼镰刀菌(Fusarium equiseti)。平皿致病性试验表明,接种少根根霉、黑曲霉和黄曲霉孢子悬浮液对甘草成苗率影响较大,当每粒种子表面孢子负荷量为5个时,即可导致甘草成苗率显著降低;新棒状拟盘多毛孢和细极链格孢在每粒种子孢子负荷量达300个时可显著降低成苗率,而木贼镰刀菌孢子在每粒种子负荷量达600个时对成苗率无显著影响。盆栽致病性试验结果表明,仅少根根霉和黄曲霉对甘草出苗率和成苗率有显著影响:每粒种子少根根霉孢子负荷量达50个时即可导致出苗率和成苗率下降;每粒种子黄曲霉孢子负荷量达300个时,对出苗率、成苗率、株高、根长和生物量均有显著抑制作用。综上,甘草种带真菌中少根根霉和黄曲霉是导致出苗率和成苗率下降的优势种群,本研究结果为甘草苗期病害的防控提供了技术依据。
中图分类号:
陈润丽, 刘朋飞, 唐思银, 楼兵干. 甘草种带真菌的分离、鉴定及其致病性测定[J]. 浙江农业学报, 2026, 38(3): 506-519.
CHEN Runli, LIU Pengfei, TANG Siyin, LOU Binggan. Isolation, identification and pathogenicity determination of seed-borne fungi in Glycyrrhiza uralensis Fisch.[J]. Acta Agriculturae Zhejiangensis, 2026, 38(3): 506-519.
| 甘草种类Species of licorice | 种子编号Seed No. | 种子来源Seed source |
|---|---|---|
| 乌拉尔甘草Glycyrrhiza uralensis Fisch. | W-XJ-B | 新疆库尔勒市Korla, Xinjiang |
| W-BZ-1 | 新疆博湖县Bohu, Xinjiang | |
| W-BZ-2 | 新疆轮台县Luntai, Xinjiang | |
| W-YL-1 | 新疆伊宁市Yining, Xinjiang | |
| W-CF-1 | 内蒙古赤峰市Chifeng, Inner Mongolia | |
| W-H-1 | 内蒙古巴彦淖尔市Bayannur, Inner Mongolia | |
| W-H-2 | 内蒙古杭锦旗Hanggin Banner, Inner Mongolia | |
| W-H-3 | 内蒙古阿拉善盟Alagxa, Inner Mongolia | |
| W-GS-1 | 甘肃张掖市Zhangye, Gansu | |
| W-GS-2 | 甘肃武威市Wuwei, Gansu | |
| W-SB-1 | 陕西榆林市Yulin, Shaanxi | |
| 胀果甘草Glycyrrhiza inflata Bat. | Z-AKS-1 | 新疆阿克苏沙雅县Xayar, Aksu, Xinjiang |
| Z-AKS-2 | 新疆阿拉尔幸福镇Xingfu Town, Aral, Xinjiang | |
| Z-AKS-3 | 新疆阿拉尔科克库勒镇Kekekule Town, Aral, Xinjiang | |
| Z-AKS-4 | 新疆阿拉尔新开岭镇Xinkailing Town, Aral, Xinjiang | |
| 光果甘草Glycyrrhiza glabra L. | G-AKS-1 | 新疆阿拉尔新开岭镇Xinkailing Town, Aral, Xinjiang |
| G-YL-1 | 新疆伊宁胡地亚于孜镇Hudiya Yuzi Town, Yining, Xinjiang | |
| G-YL-2 | 新疆伊宁拜什墩农场Baishidun Farm, Yining, Xinjiang | |
| 腺毛甘草Glycyrrhiza glandulifera Ledeb. | X-YL-1 | 新疆伊宁拜什墩农场Baishidun Farm, Yining, Xinjiang |
表1 甘草种子来源信息
Table 1 Source information of licorice seeds
| 甘草种类Species of licorice | 种子编号Seed No. | 种子来源Seed source |
|---|---|---|
| 乌拉尔甘草Glycyrrhiza uralensis Fisch. | W-XJ-B | 新疆库尔勒市Korla, Xinjiang |
| W-BZ-1 | 新疆博湖县Bohu, Xinjiang | |
| W-BZ-2 | 新疆轮台县Luntai, Xinjiang | |
| W-YL-1 | 新疆伊宁市Yining, Xinjiang | |
| W-CF-1 | 内蒙古赤峰市Chifeng, Inner Mongolia | |
| W-H-1 | 内蒙古巴彦淖尔市Bayannur, Inner Mongolia | |
| W-H-2 | 内蒙古杭锦旗Hanggin Banner, Inner Mongolia | |
| W-H-3 | 内蒙古阿拉善盟Alagxa, Inner Mongolia | |
| W-GS-1 | 甘肃张掖市Zhangye, Gansu | |
| W-GS-2 | 甘肃武威市Wuwei, Gansu | |
| W-SB-1 | 陕西榆林市Yulin, Shaanxi | |
| 胀果甘草Glycyrrhiza inflata Bat. | Z-AKS-1 | 新疆阿克苏沙雅县Xayar, Aksu, Xinjiang |
| Z-AKS-2 | 新疆阿拉尔幸福镇Xingfu Town, Aral, Xinjiang | |
| Z-AKS-3 | 新疆阿拉尔科克库勒镇Kekekule Town, Aral, Xinjiang | |
| Z-AKS-4 | 新疆阿拉尔新开岭镇Xinkailing Town, Aral, Xinjiang | |
| 光果甘草Glycyrrhiza glabra L. | G-AKS-1 | 新疆阿拉尔新开岭镇Xinkailing Town, Aral, Xinjiang |
| G-YL-1 | 新疆伊宁胡地亚于孜镇Hudiya Yuzi Town, Yining, Xinjiang | |
| G-YL-2 | 新疆伊宁拜什墩农场Baishidun Farm, Yining, Xinjiang | |
| 腺毛甘草Glycyrrhiza glandulifera Ledeb. | X-YL-1 | 新疆伊宁拜什墩农场Baishidun Farm, Yining, Xinjiang |
| 基因 Gene | 引物名称 Primer name | 引物序列(5'→3') Primer sequence (5'→3') | 参考文献 Reference |
|---|---|---|---|
| rDNA-ITS | ITS1 | TCCGTAGGTGAACCTGCGG | [ |
| ITS4 | TCCTCCGCTTATTGATATGC | ||
| LSU | LR0R | ACCCGCTGAACTTAAGC | |
| LR5 | TCCTGAGGGAAACTTCG | ||
| tef1* | EF1-728F | CATCGAGAAGTTCGAGAAGG | [ |
| EF1-986R | TACTTGAAGGAACCCTTACC | ||
| raTEF-F | TACAAGGGATGGAACAA | [ | |
| raTEF-R | AGCAAACTTACAGGCAA | ||
| anTEF-F | CCTTCAAGTACGCYTGGGTTC | [ | |
| anTEF-R | TTCTTGGAGTCACCGGCAA | ||
| afTEF-F | GTGAATTCGAGGCTGGT | [ | |
| afTEF-R | GAGGGGAAGACGGAGAG |
表2 本研究所用引物
Table 2 Primers used in this study
| 基因 Gene | 引物名称 Primer name | 引物序列(5'→3') Primer sequence (5'→3') | 参考文献 Reference |
|---|---|---|---|
| rDNA-ITS | ITS1 | TCCGTAGGTGAACCTGCGG | [ |
| ITS4 | TCCTCCGCTTATTGATATGC | ||
| LSU | LR0R | ACCCGCTGAACTTAAGC | |
| LR5 | TCCTGAGGGAAACTTCG | ||
| tef1* | EF1-728F | CATCGAGAAGTTCGAGAAGG | [ |
| EF1-986R | TACTTGAAGGAACCCTTACC | ||
| raTEF-F | TACAAGGGATGGAACAA | [ | |
| raTEF-R | AGCAAACTTACAGGCAA | ||
| anTEF-F | CCTTCAAGTACGCYTGGGTTC | [ | |
| anTEF-R | TTCTTGGAGTCACCGGCAA | ||
| afTEF-F | GTGAATTCGAGGCTGGT | [ | |
| afTEF-R | GAGGGGAAGACGGAGAG |
图1 甘草种带真菌的形态学特征 各菌株在PDA培养基上培养7 d的菌落与分生孢子形态:A和B,黑曲霉B-Z-3;C和D,新棒状拟盘多毛孢B-Z-4;E和F,黄曲霉B-Z-6;G和H,细极链格孢CF-Z-8;I和J,木贼镰刀菌CF-Z-11。K和L,少根根霉CF-Z-12培养3 d的菌落和孢囊孢子形态。
Fig.1 Morphological characteristics of seed-borne fungi in licorice Colonies and conidial morphology of each strain cultured on PDA medium for 7 days: A and B, Aspergillus niger B-Z-3; C and D, Neopestalotiopsis clavispora B-Z-4; E and F, Aspergillus flavus B-Z-6; G and H, Alternaria tenuissima CF-Z-8; I and J, Fusarium equiseti CF-Z-11. K and L, Morphology of the colony and sporangiospores of Rhizopus arrhizus CF-Z-12 cultured for 3 days.
| 代表性菌株 Representative strain | 基因名称 Gene name | 序列长度/bp Sequence length/bp | GenBank登录号 GenBank accession number | 比对结果 Alignment result | 相似度/% Similarity/% |
|---|---|---|---|---|---|
| B-Z-3 | ITS | 604 | PQ343918 | 黑曲霉 | 99.83 |
| tef1 | 457 | PQ736917 | Aspergillus niger | 99.56 | |
| LSU | 960 | PV682703 | 99.58 | ||
| B-Z-4 | ITS | 554 | PQ345466 | 新棒状拟盘多毛孢 | 99.46 |
| tef1 | 298 | PV643062 | Neopestalotiopsis clavispora | 98.99 | |
| LSU | 938 | PV682704 | 99.56 | ||
| B-Z-6 | ITS | 599 | PQ345471 | 黄曲霉 | 99.83 |
| tef1 | 384 | PV643063 | Aspergillus flavus | 100.00 | |
| LSU | 949 | PV682705 | 99.15 | ||
| CF-Z-8 | ITS | 576 | PQ345473 | 细极链格孢 | 99.83 |
| tef1 | 281 | PV643064 | Alternaria tenuissima | 100.00 | |
| LSU | 928 | PV682706 | 99.89 | ||
| CF-Z-11 | ITS | 549 | PQ345475 | 木贼镰刀菌 | 99.82 |
| tef1 | 285 | PV643065 | Fusarium equiseti | 98.59 | |
| LSU | 916 | PV682707 | 99.78 | ||
| CF-Z-12 | ITS | 631 | PQ345479 | 少根根霉 | 99.84 |
| tef1 | 475 | PV643066 | Rhizopus arrhizus | 99.37 | |
| LSU | 1 035 | PV682708 | 98.07 |
表3 甘草种带真菌rDNA ITS、tef1和LSU序列比对结果
Table 3 Comparison of rDNA ITS, tef1, and LSU sequences of seed-borne fungi in licorice
| 代表性菌株 Representative strain | 基因名称 Gene name | 序列长度/bp Sequence length/bp | GenBank登录号 GenBank accession number | 比对结果 Alignment result | 相似度/% Similarity/% |
|---|---|---|---|---|---|
| B-Z-3 | ITS | 604 | PQ343918 | 黑曲霉 | 99.83 |
| tef1 | 457 | PQ736917 | Aspergillus niger | 99.56 | |
| LSU | 960 | PV682703 | 99.58 | ||
| B-Z-4 | ITS | 554 | PQ345466 | 新棒状拟盘多毛孢 | 99.46 |
| tef1 | 298 | PV643062 | Neopestalotiopsis clavispora | 98.99 | |
| LSU | 938 | PV682704 | 99.56 | ||
| B-Z-6 | ITS | 599 | PQ345471 | 黄曲霉 | 99.83 |
| tef1 | 384 | PV643063 | Aspergillus flavus | 100.00 | |
| LSU | 949 | PV682705 | 99.15 | ||
| CF-Z-8 | ITS | 576 | PQ345473 | 细极链格孢 | 99.83 |
| tef1 | 281 | PV643064 | Alternaria tenuissima | 100.00 | |
| LSU | 928 | PV682706 | 99.89 | ||
| CF-Z-11 | ITS | 549 | PQ345475 | 木贼镰刀菌 | 99.82 |
| tef1 | 285 | PV643065 | Fusarium equiseti | 98.59 | |
| LSU | 916 | PV682707 | 99.78 | ||
| CF-Z-12 | ITS | 631 | PQ345479 | 少根根霉 | 99.84 |
| tef1 | 475 | PV643066 | Rhizopus arrhizus | 99.37 | |
| LSU | 1 035 | PV682708 | 98.07 |
| 甘草种类 Species of licorice | 种子编号 Seed umber | 种子来源 Seed source | 每粒种子孢子负荷量 Spore load per seed | 菌株数(占比/%) Strain count(Percentage/%) | ||
|---|---|---|---|---|---|---|
| 黄曲霉 Aspergillus flavus | 黑曲霉 Aspergillus niger | 少根根霉 Rhizopus arrhizus | ||||
| 乌拉尔甘草 Glycyrrhiza uralensis Fisch. | W-XJ-B | 新疆库尔勒市Korla, Xinjiang | 60.83 | 33(45.21) | 40(54.79) | 0(0) |
| W-BZ-1 | 新疆博湖县Bohu, Xinjiang | 2.08 | 2(40.00) | 2(40.00) | 1(20.00) | |
| W-BZ-2 | 新疆轮台县Luntai, Xinjiang | 2.92 | 3(42.86) | 2(28.57) | 2(28.57) | |
| W-YL-1 | 新疆伊宁市Yining, Xinjiang | 5.00 | 4(33.33) | 3(25.00) | 5(41.67) | |
| W-CF-1 | 内蒙古赤峰市Chifeng, Inner Mongolia | 2.92 | 2(28.57) | 3(42.86) | 2(28.57) | |
| W-H-1 | 内蒙古巴彦淖尔市Bayannur, Inner Mongolia | 3.33 | 2(25.00) | 5(62.50) | 1(12.50) | |
| W-H-2 | 内蒙古杭锦旗Hanggin Banner, Inner Mongolia | 4.17 | 4(40.00) | 6(60.00) | 0(0) | |
| W-H-3 | 内蒙古阿拉善盟Alagxa, Inner Mongolia | 8.75 | 6(28.57) | 10(47.62) | 5(23.81) | |
| W-GS-1 | 甘肃张掖市Zhangye, Gansu | 4.17 | 4(40.00) | 5(50.00) | 1(10.00) | |
| W-GS-2 | 甘肃武威市Wuwei, Gansu | 10.00 | 8(33.33) | 7(29.17) | 9(37.50) | |
| W-SB-1 | 陕西榆林市Yulin, Shaanxi | 5.83 | 4(28.57) | 5(35.71) | 5(35.71) | |
| 胀果甘草 Glycyrrhiza inflata Bat. | Z-AKS-1 | 新疆阿克苏沙雅县Xayar, Aksu, Xinjiang | 6.67 | 6(37.50) | 4(25.00) | 6(37.50) |
| Z-AKS-2 | 新疆阿拉尔幸福镇Xingfu Town, Aral, Xinjiang | 9.17 | 7(31.82) | 11(50.00) | 4(18.18) | |
| Z-AKS-3 | 新疆阿拉尔科克库勒镇Kekekule Town, Aral, Xinjiang | 8.33 | 4(20.00) | 9(45.00) | 7(35.00) | |
| Z-AKS-4 | 新疆阿拉尔新开岭镇Xinkailing Town, Aral, Xinjiang | 5.42 | 5(38.46) | 6(46.15) | 2(15.38) | |
| 光果甘草 Glycyrrhiza glabra L. | G-AKS-1 | 新疆阿拉尔新开岭镇Xinkailing Town, Aral, Xinjiang | 6.25 | 3(20.00) | 8(53.33) | 4(26.67) |
| G-YL-1 | 新疆伊宁胡地亚于孜镇Hudiya Yuzi Town, Yining, Xinjiang | 8.75 | 5(23.81) | 12(57.14) | 4(19.05) | |
| G-YL-2 | 新疆伊宁拜什墩农场Baishidun Farm, Yining, Xinjiang | 10.00 | 5(20.83) | 14(58.33) | 5(20.83) | |
| 腺毛甘草 Glycyrrhiza glandulifera Ledeb. | X-YL-1 | 新疆伊宁拜什墩农场Baishidun Farm, Yining, Xinjiang | 2.92 | 2(28.57) | 4(57.14) | 1(14.29) |
表4 甘草种子表面携带真菌种类及其分离频率
Table 4 The types and isolation frequency of fungi carried on the surface of licorice seeds
| 甘草种类 Species of licorice | 种子编号 Seed umber | 种子来源 Seed source | 每粒种子孢子负荷量 Spore load per seed | 菌株数(占比/%) Strain count(Percentage/%) | ||
|---|---|---|---|---|---|---|
| 黄曲霉 Aspergillus flavus | 黑曲霉 Aspergillus niger | 少根根霉 Rhizopus arrhizus | ||||
| 乌拉尔甘草 Glycyrrhiza uralensis Fisch. | W-XJ-B | 新疆库尔勒市Korla, Xinjiang | 60.83 | 33(45.21) | 40(54.79) | 0(0) |
| W-BZ-1 | 新疆博湖县Bohu, Xinjiang | 2.08 | 2(40.00) | 2(40.00) | 1(20.00) | |
| W-BZ-2 | 新疆轮台县Luntai, Xinjiang | 2.92 | 3(42.86) | 2(28.57) | 2(28.57) | |
| W-YL-1 | 新疆伊宁市Yining, Xinjiang | 5.00 | 4(33.33) | 3(25.00) | 5(41.67) | |
| W-CF-1 | 内蒙古赤峰市Chifeng, Inner Mongolia | 2.92 | 2(28.57) | 3(42.86) | 2(28.57) | |
| W-H-1 | 内蒙古巴彦淖尔市Bayannur, Inner Mongolia | 3.33 | 2(25.00) | 5(62.50) | 1(12.50) | |
| W-H-2 | 内蒙古杭锦旗Hanggin Banner, Inner Mongolia | 4.17 | 4(40.00) | 6(60.00) | 0(0) | |
| W-H-3 | 内蒙古阿拉善盟Alagxa, Inner Mongolia | 8.75 | 6(28.57) | 10(47.62) | 5(23.81) | |
| W-GS-1 | 甘肃张掖市Zhangye, Gansu | 4.17 | 4(40.00) | 5(50.00) | 1(10.00) | |
| W-GS-2 | 甘肃武威市Wuwei, Gansu | 10.00 | 8(33.33) | 7(29.17) | 9(37.50) | |
| W-SB-1 | 陕西榆林市Yulin, Shaanxi | 5.83 | 4(28.57) | 5(35.71) | 5(35.71) | |
| 胀果甘草 Glycyrrhiza inflata Bat. | Z-AKS-1 | 新疆阿克苏沙雅县Xayar, Aksu, Xinjiang | 6.67 | 6(37.50) | 4(25.00) | 6(37.50) |
| Z-AKS-2 | 新疆阿拉尔幸福镇Xingfu Town, Aral, Xinjiang | 9.17 | 7(31.82) | 11(50.00) | 4(18.18) | |
| Z-AKS-3 | 新疆阿拉尔科克库勒镇Kekekule Town, Aral, Xinjiang | 8.33 | 4(20.00) | 9(45.00) | 7(35.00) | |
| Z-AKS-4 | 新疆阿拉尔新开岭镇Xinkailing Town, Aral, Xinjiang | 5.42 | 5(38.46) | 6(46.15) | 2(15.38) | |
| 光果甘草 Glycyrrhiza glabra L. | G-AKS-1 | 新疆阿拉尔新开岭镇Xinkailing Town, Aral, Xinjiang | 6.25 | 3(20.00) | 8(53.33) | 4(26.67) |
| G-YL-1 | 新疆伊宁胡地亚于孜镇Hudiya Yuzi Town, Yining, Xinjiang | 8.75 | 5(23.81) | 12(57.14) | 4(19.05) | |
| G-YL-2 | 新疆伊宁拜什墩农场Baishidun Farm, Yining, Xinjiang | 10.00 | 5(20.83) | 14(58.33) | 5(20.83) | |
| 腺毛甘草 Glycyrrhiza glandulifera Ledeb. | X-YL-1 | 新疆伊宁拜什墩农场Baishidun Farm, Yining, Xinjiang | 2.92 | 2(28.57) | 4(57.14) | 1(14.29) |
| 甘草种类 Species of licorice | 种子编号 Seed number | 种子来源 Seed source | 带菌率/% Infection rate/% | 菌株数(占比/%) Strain count(Percentage/%) | |||||
|---|---|---|---|---|---|---|---|---|---|
| 黄曲霉 Aspergillus flavus | 黑曲霉 Aspergillus niger | 少根根霉 Rhizopus arrhizus | 细极链格孢 Alternaria tenuissima | 木贼镰刀菌 Fusarium equiseti | 新棒状拟盘多毛孢 Neopestalotiopsis clavispora | ||||
| 乌拉尔甘草 Glycyrrhiza uralensis Fisch. | W-XJ-B | 新疆库尔勒市 Korla, Xinjiang | 12.96 | 0(0) | 4(28.57) | 0(0) | 8(57.14) | 0(0) | 2(14.29) |
| W-BZ-1 | 新疆博湖县 Bohu, Xinjiang | 18.52 | 2(10.00) | 3(15.00) | 4(20.00) | 11(55.00) | 0(0) | 0(0) | |
| W-BZ-2 | 新疆轮台县 Luntai, Xinjiang | 21.30 | 4(17.39) | 2(8.70) | 3(13.04) | 13(56.52) | 0(0) | 1(4.35) | |
| W-YL-1 | 新疆伊宁市 Yining, Xinjiang | 31.48 | 3(8.82) | 5(14.71) | 4(11.76) | 20(58.82) | 0(0) | 2(5.88) | |
| W-CF-1 | 内蒙古赤峰市 Chifeng, Inner Mongolia | 37.96 | 2(4.88) | 13(31.71) | 0(0) | 24(58.54) | 2(4.88) | 0(0) | |
| W-H-1 | 内蒙古巴彦淖尔市 Bayannur, Inner Mongolia | 29.63 | 4(12.50) | 6(18.75) | 5(15.63) | 14(43.75) | 3(9.38) | 0(0) | |
| W-H-2 | 内蒙古杭锦旗 Hanggin Banner, Inner Mongolia | 26.85 | 3(10.34) | 3(10.34) | 4(13.79) | 18(62.07) | 1(3.45) | 0(0) | |
| W-H-3 | 内蒙古阿拉善盟 Alagxa, Inner Mongolia | 25.93 | 4(14.29) | 5(17.86) | 3(10.71) | 16(57.14) | 0(0) | 0(0) | |
| W-GS-1 | 甘肃张掖市 Zhangye, Gansu | 37.96 | 6(14.63) | 8(19.51) | 4(9.76) | 21(51.22) | 0(0) | 2(4.88) | |
| W-GS-2 | 甘肃武威市 Wuwei, Gansu | 21.30 | 3(13.04) | 4(17.39) | 2(8.70) | 13(56.52) | 0(0) | 1(4.35) | |
| W-SB-1 | 陕西榆林市 Yulin, Shaanxi | 15.74 | 2(11.76) | 3(17.65) | 2(11.67) | 6(35.29) | 2(11.67) | 2(11.67) | |
| 胀果甘草 Glycyrrhiza inflata Bat. | Z-AKS-1 | 新疆阿克苏沙雅县 Xayar, Aksu, Xinjiang | 12.04 | 3(23.08) | 2(15.38) | 1(7.69) | 7(53.85) | 0(0) | 0(0) |
| Z-AKS-2 | 新疆阿拉尔幸福镇 Xingfu Town, Aral, Xinjiang | 20.37 | 2(9.09) | 5(22.73) | 4(18.18) | 11(50.00) | 0(0) | 0(0) | |
| Z-AKS-3 | 新疆阿拉尔科 克库勒镇 Kekekule Town, Aral, Xinjiang | 19.44 | 3(14.29) | 4(19.05) | 4(19.05) | 9(42.86) | 1(4.76) | 0(0) | |
| Z-AKS-4 | 新疆阿拉尔新开岭镇 Xinkailing Town, Aral, Xinjiang | 23.15 | 6(24.00) | 2(8.00) | 3(12.00) | 12(48.00) | 2(8.00) | 0(0) | |
| 光果甘草 Glycyrrhiza glabra L. | G-AKS-1 | 新疆阿拉尔新开岭镇 Xinkailing Town, Aral, Xinjiang | 13.89 | 3(20.00) | 6(40.00) | 3(20.00) | 3(20.00) | 0(0) | 0(0) |
| G-YL-1 | 新疆伊宁胡地 亚于孜镇 Hudiya Yuzi Town, Yining, Xinjiang | 16.67 | 5(27.78) | 4(22.22) | 3(16.67) | 6(33.33) | 0(0) | 0(0) | |
| G-YL-2 | 新疆伊宁拜什墩农场 Baishidun Farm,Yining, Xinjiang | 25.00 | 8(29.63) | 3(11.11) | 5(18.52) | 11(40.74) | 0(0) | 0(0) | |
| 腺毛甘草 Glycyrrhiza glandulifera Ledeb. | X-YL-1 | 新疆伊宁拜什墩农场 Baishidun Farm, Yining, Xinjiang | 10.19 | 3(27.27) | 1(9.09) | 2(18.18) | 5(45.45) | 0(0) | 0(0) |
表5 甘草种子内部携带真菌种类和分离频率
Table 5 The types and isolation frequency of endophytic fungi within licorice seeds
| 甘草种类 Species of licorice | 种子编号 Seed number | 种子来源 Seed source | 带菌率/% Infection rate/% | 菌株数(占比/%) Strain count(Percentage/%) | |||||
|---|---|---|---|---|---|---|---|---|---|
| 黄曲霉 Aspergillus flavus | 黑曲霉 Aspergillus niger | 少根根霉 Rhizopus arrhizus | 细极链格孢 Alternaria tenuissima | 木贼镰刀菌 Fusarium equiseti | 新棒状拟盘多毛孢 Neopestalotiopsis clavispora | ||||
| 乌拉尔甘草 Glycyrrhiza uralensis Fisch. | W-XJ-B | 新疆库尔勒市 Korla, Xinjiang | 12.96 | 0(0) | 4(28.57) | 0(0) | 8(57.14) | 0(0) | 2(14.29) |
| W-BZ-1 | 新疆博湖县 Bohu, Xinjiang | 18.52 | 2(10.00) | 3(15.00) | 4(20.00) | 11(55.00) | 0(0) | 0(0) | |
| W-BZ-2 | 新疆轮台县 Luntai, Xinjiang | 21.30 | 4(17.39) | 2(8.70) | 3(13.04) | 13(56.52) | 0(0) | 1(4.35) | |
| W-YL-1 | 新疆伊宁市 Yining, Xinjiang | 31.48 | 3(8.82) | 5(14.71) | 4(11.76) | 20(58.82) | 0(0) | 2(5.88) | |
| W-CF-1 | 内蒙古赤峰市 Chifeng, Inner Mongolia | 37.96 | 2(4.88) | 13(31.71) | 0(0) | 24(58.54) | 2(4.88) | 0(0) | |
| W-H-1 | 内蒙古巴彦淖尔市 Bayannur, Inner Mongolia | 29.63 | 4(12.50) | 6(18.75) | 5(15.63) | 14(43.75) | 3(9.38) | 0(0) | |
| W-H-2 | 内蒙古杭锦旗 Hanggin Banner, Inner Mongolia | 26.85 | 3(10.34) | 3(10.34) | 4(13.79) | 18(62.07) | 1(3.45) | 0(0) | |
| W-H-3 | 内蒙古阿拉善盟 Alagxa, Inner Mongolia | 25.93 | 4(14.29) | 5(17.86) | 3(10.71) | 16(57.14) | 0(0) | 0(0) | |
| W-GS-1 | 甘肃张掖市 Zhangye, Gansu | 37.96 | 6(14.63) | 8(19.51) | 4(9.76) | 21(51.22) | 0(0) | 2(4.88) | |
| W-GS-2 | 甘肃武威市 Wuwei, Gansu | 21.30 | 3(13.04) | 4(17.39) | 2(8.70) | 13(56.52) | 0(0) | 1(4.35) | |
| W-SB-1 | 陕西榆林市 Yulin, Shaanxi | 15.74 | 2(11.76) | 3(17.65) | 2(11.67) | 6(35.29) | 2(11.67) | 2(11.67) | |
| 胀果甘草 Glycyrrhiza inflata Bat. | Z-AKS-1 | 新疆阿克苏沙雅县 Xayar, Aksu, Xinjiang | 12.04 | 3(23.08) | 2(15.38) | 1(7.69) | 7(53.85) | 0(0) | 0(0) |
| Z-AKS-2 | 新疆阿拉尔幸福镇 Xingfu Town, Aral, Xinjiang | 20.37 | 2(9.09) | 5(22.73) | 4(18.18) | 11(50.00) | 0(0) | 0(0) | |
| Z-AKS-3 | 新疆阿拉尔科 克库勒镇 Kekekule Town, Aral, Xinjiang | 19.44 | 3(14.29) | 4(19.05) | 4(19.05) | 9(42.86) | 1(4.76) | 0(0) | |
| Z-AKS-4 | 新疆阿拉尔新开岭镇 Xinkailing Town, Aral, Xinjiang | 23.15 | 6(24.00) | 2(8.00) | 3(12.00) | 12(48.00) | 2(8.00) | 0(0) | |
| 光果甘草 Glycyrrhiza glabra L. | G-AKS-1 | 新疆阿拉尔新开岭镇 Xinkailing Town, Aral, Xinjiang | 13.89 | 3(20.00) | 6(40.00) | 3(20.00) | 3(20.00) | 0(0) | 0(0) |
| G-YL-1 | 新疆伊宁胡地 亚于孜镇 Hudiya Yuzi Town, Yining, Xinjiang | 16.67 | 5(27.78) | 4(22.22) | 3(16.67) | 6(33.33) | 0(0) | 0(0) | |
| G-YL-2 | 新疆伊宁拜什墩农场 Baishidun Farm,Yining, Xinjiang | 25.00 | 8(29.63) | 3(11.11) | 5(18.52) | 11(40.74) | 0(0) | 0(0) | |
| 腺毛甘草 Glycyrrhiza glandulifera Ledeb. | X-YL-1 | 新疆伊宁拜什墩农场 Baishidun Farm, Yining, Xinjiang | 10.19 | 3(27.27) | 1(9.09) | 2(18.18) | 5(45.45) | 0(0) | 0(0) |
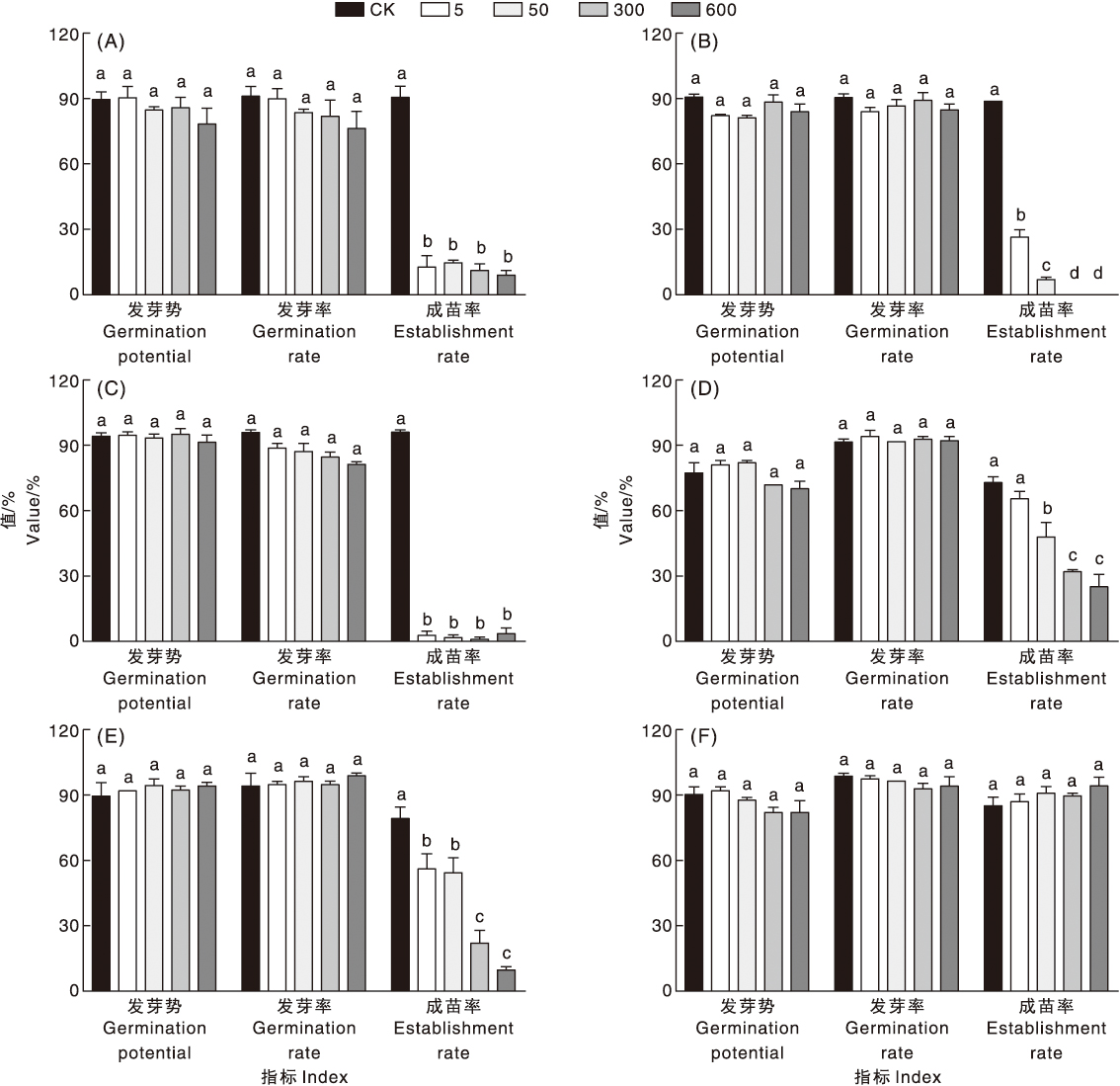
图2 平皿条件下种带真菌不同孢子负荷量的甘草种子发芽势、发芽率、成苗率的影响 A,黄曲霉;B,黑曲霉;C,少根根霉;D,细极链格孢;E,新棒状拟盘多毛孢;F,木贼镰刀菌。CK、5、50、300和600分别表示每粒种子孢子负荷量为0、5、50、300和600个。柱上无相同小写字母表示不同孢子负荷量处理间差异显著(p<0.05)。下同。
Fig.2 Germination potential, germination rate, and establishment rate of licoriceseeds under plate conditions with different spore loads of seed-borne fungi 600 represented spore loads per seed of 0, 5, 50, 300 and 600, respectively. Bars marked without the same lowercase letters indicate significant (p<0.05) differences among spore load treatments. The same as below.
图4 不同黄曲霉孢子负荷量下盆栽甘草的生长指标 A,出苗率与成苗率;B,生物量;C,株高与根长。
Fig.4 Growth indices of potted licorice under treatments with different spore loads of Aspergillus flavus A, Germination rate and establishment rate; B, Biomass; C, Plant height and root length.
图5 少根根霉不同孢子负荷量处理下盆栽甘草的生长指标 A, 出苗率与成苗率;B, 生物量;C, 株高与根长。
Fig.5 Growth indices of potted licorice under treatments with different spore loads of Rhizopus arrhizus A, Germination rate and establishment rate; B, Biomass; C, Plant height and root length.
| [1] | 董诚明, 谷巍. 药用植物栽培学[M]. 3版. 上海: 上海科学技术出版社, 2020. 2020. |
| [2] | 李伟, 钟鹏, 刘泽东, 等. 甘草的药理作用及其在畜牧业的应用[J]. 中国饲料, 2023(17): 49-55. |
| LI W, ZHONG P, LIU Z D, et al. Pharmacological action of licorice and its application in animal husbandry[J]. China Feed, 2023(17): 49-55. | |
| [3] | 何兰. 名贵中药材绿色栽培技术:枸杞甘草[M]. 北京: 科学技术文献出版社, 2004. |
| [4] | 包芳, 尚兴朴, 赵玉钊, 等. 甘草种子的颜色分类与发芽试验研究[J]. 中药材, 2021, 44(10): 2280-2284. |
| BAO F, SHANG X P, ZHAO Y Z, et al. Study on color classification and germination test of Glycyrrhiza uralensis seeds[J]. Journal of Chinese Medicinal Materials, 2021, 44(10): 2280-2284. | |
| [5] | KUMAR R, GUPTA A. Seed-borne diseases of agricultural crops: detection, diagnosis & management[M]. Singapore: Springer Singapore, 2020. |
| [6] | GAWANDE S P, NAGRALE D T, SHARMA A K. Major seed-borne diseases of important forage and fibre crops: symptomatology, aetiology and their economic importance[M]//Seed-borne diseases of agricultural crops: detection, diagnosis & management. Singapore: Springer Singapore, 2020: 577-620. |
| [7] | 淡红梅, 李静, 李先恩, 等. 甘草种子带菌检测和药剂消毒处理效果研究[J]. 中国中药杂志, 2006, 31(7): 542-546. |
| DAN H M, LI J, LI X E, et al. Testing of seed-borne fungi of Glycyrrihiza seed and disinfection effect of several fungicides on seed-borne fungi[J]. China Journal of Chinese Materia Medica, 2006, 31(7): 542-546. | |
| [8] | 杨力钢, 黄中乔, 刘鹏飞, 等. 甘草种子带菌检测及药剂消毒处理效果[J]. 植物保护, 2006, 32(5): 84-87. |
| YANG L G, HUANG Z Q, LIU P F, et al. Detection of carrier bacteria in Glycyrrhiza uralensis seeds and disinfection effect of chemicals[J]. Plant Protection, 2006, 32(5): 84-87. | |
| [9] | 徐秀兰, 尚兴朴, 马丽娟, 等. 甘草种子携带真菌检测与致病性分析[J]. 中国现代中药, 2020, 22(12): 2043-2048. |
| XU X L, SHANG X P, MA L J, et al. Detection and pathogenicity test of seed-borne fungi of Glycyrrhiza uralensis seed[J]. Modern Chinese Medicine, 2020, 22(12): 2043-2048. | |
| [10] | 魏景超遗. 真菌鉴定手册[M]. 上海: 上海科学技术出版社, 1979. |
| [11] | 赖崇德, 蔡华静, 夏海林, 等. 一株产柚苷酶菌株黑曲霉的分离及菌种鉴定的初步研究[J]. 江西农业大学学报, 2005, 27(5): 759-763. |
| LAI C D, CAI H J, XIA H L, et al. A study on screening, cultivation and identification of naringinase-producing strain of Aspergillus nigeer A166[J]. Acta Agriculturae Universitatis Jiangxiensis, 2005, 27(5): 759-763. | |
| [12] | ABARCA M L, ACCENSI F, CANO J, et al. Taxonomy and significance of black Aspergilli[J]. Antonie van Leeuwenhoek, 2004, 86(1): 33-49. |
| [13] | MAHARACHCHIKUMBURA S S N, HYDE K D, GROENEWALD J Z, et al. Pestalotiopsis revisited[J]. Studies in Mycology, 2014, 79(1): 121-186. |
| [14] | CHEN Y J, ZENG L, SHU N, et al. Pestalotiopsis-like species causing gray blight disease on Camellia sinensis in China[J]. Plant Disease, 2018, 102(1): 98-106. |
| [15] | MESA L M, LEÓN-PINTO G. Gum-like exudate from Laguncularia racemosa (white mangrove) as culture media for fungi[J]. Investigacion Clinica, 1993, 34(2): 85-98. |
| [16] | 冯云利, 华蓉, 郭相, 等. 皱木耳病原真菌分离及鉴定[J]. 北方园艺, 2023(22): 116-124. |
| FENG Y L, HUA R, GUO X, et al. Pathogenic fungi of artificially cultivated Auricularia delicata[J]. Northern Horticulture, 2023(22): 116-124. | |
| [17] | ELLIS M B. Dematiaceous hyphomycetes[M]. UK: Commonwealth Mycological Institute, Kew, Surrey, England, 1971: 464-488. |
| [18] | 张敬泽, 张天宇, 王瑾. 链格孢属种间培养性状的分类研究[J]. 浙江农业大学学报, 1997(5): 511-514. |
| ZHANG J Z, ZHANG T Y, WANG J. A taxonomic study on interspecific culture traits of Alternaria[J]. Journal of Zhejiang Agricultural University, 1997(5): 511-514. | |
| [19] | BOOTH. The genus fusarium[M]. Kew, Surrey: Commonwealth Mycological Institute, 1971. |
| [20] | CROUS P W, LOMBARD L, SANDOVAL-DENIS M, et al. Fusarium: more than a node or a foot-shaped basal cell[J]. Studies in Mycology, 2021, 98: 100116. |
| [21] | OGUNLANA E O. Fungal air spora at Ibadan, Nigeria[J]. Applied Microbiology, 1975, 29(4): 458-463. |
| [22] | 韦祖生, 徐钏, 黄秋伟, 等. 木薯少根根霉分离、鉴定及其对淀粉消化特性分析[J]. 农业研究与应用, 2023, 36(1): 63-70. |
| WEI Z S, XU C, HUANG Q W, et al. Isolation, identification of Rhizopus arrhizus in cassava and analysis of its effects on starch digestion[J]. Agricultural Research and Application, 2023, 36(1): 63-70. | |
| [23] | CHI M H, PARK S Y, LEE Y H. A quick and safe method for fungal DNA extraction[J]. The Plant Pathology Journal, 2009, 25(1): 108-111. |
| [24] | SCHOCH C L, SEIFERT K A, HUHNDORF S, et al. Nuclear ribosomal internal transcribed spacer (ITS) region as a universal DNA barcode marker for fungi[J]. Proceedings of the National Academy of Sciences of the United States of America, 2012, 109(16): 6241-6246. |
| [25] | SCHOCH C L, CROUS P W, GROENEWALD J Z, et al. A class-wide phylogenetic assessment of Dothideomycetes[J]. Studies in Mycology, 2009, 64: 1-15. |
| [26] | DOLATABADI S, DE HOOG G S, MEIS J F, et al. Species boundaries and nomenclature of Rhizopus arrhizus (syn. R. oryzae)[J]. Mycoses, 2014, 57(S3): 108-127. |
| [27] | ACCENSI F. New PCR method to differentiate species in the Aspergillus niger aggregate[J]. FEMS Microbiology Letters, 1999, 180(2): 191-196. |
| [28] | ZHU G Y, WANG X, CHEN T M, et al. First report of Aspergillus flavus causing fruit rot on kiwifruit in China[J]. Plant Disease, 2022, 106(7): 1990. |
| [29] | 高晨轩, 南志标. 我国牧草种带真菌研究进展[J]. 草业科学, 2019, 36(7): 1792-1802. |
| GAO C X, NAN Z B. Progress in research on the seed-borne fungi of forage in China[J]. Pratacultural Science, 2019, 36(7): 1792-1802. | |
| [30] | 郭海雅. 弋江籽紫云英种带真菌致病性及杀菌剂筛选[D]. 兰州: 兰州大学, 2020. |
| GUO H Y. The pathogenicity of seed-borne fungi in Astragalus sinicus Var. Yijiangzi and fungicides screening[D]. Lanzhou: Lanzhou University, 2020. | |
| [31] | 邢会琴. 玉米种子真菌区系和种带优势镰孢菌遗传多样性及其致病机理研究[D]. 兰州: 甘肃农业大学, 2018. |
| XING H Q. Mycobiota and genetic diversity using ISSR analysys and pathogenicity characterization of dominant Fusarium isolatesin maize storageseeds[D]. Lanzhou: Gansu Agricultural University, 2018. | |
| [32] | YAGO J I, ROH J H, BAE S D, et al. The effect of seed-borne mycoflora from sorghum and foxtail millet seeds on germination and disease transmission[J]. Mycobiology, 2011, 39(3): 206-218. |
| [33] | 吴学宏, 刘西莉, 刘鹏飞, 等. 西瓜种子带菌检测及杀菌剂消毒处理效果[J]. 农药学学报, 2003, 5(3): 39-44. |
| WU X H, LIU X L, LIU P F, et al. Testing of seed-borne fungi of major watermelon varieties in China and disinfection effect of several fungicides on seed-borne fungi[J]. Chinese Journal of Pesticide Science, 2003, 5(3): 39-44. | |
| [34] | 刘屹湘, 刘鹏飞, 黄中乔, 等. 新疆食葵种子健康检测和杀菌剂消毒处理初步研究[J]. 植物保护, 2008, 34(2): 120-124. |
| LIU Y X, LIU P F, HUANG Z Q, et al. Testing of seed-borne fungi on sunflower seeds from Xinjiang and disinfecting effects of several fungicides on seed-borne fungi[J]. Plant Protection, 2008, 34(2): 120-124. | |
| [35] | 马婷燕. 苜蓿种带真菌种类及其致病性研究[D]. 兰州: 兰州大学, 2020. |
| MA T Y. Study on alfalfa seed-borne fungi and pathogenicity[D]. Lanzhou: Lanzhou University, 2020. | |
| [36] | 李春杰, 南志标. 苜蓿种带真菌及其致病性测定[J]. 草业学报, 2000, 9(1): 27-36. |
| LI C J, NAN Z B. Seed-borne fungi of lucerne and their pathogenicity to lucerne seed and seedling[J]. Acta Prataculturae Sinica, 2000, 9(1): 27-36. | |
| [37] | 王子萱, 王继华. 黑曲霉对大豆种子萌发及幼苗生长的促生作用[J]. 华北农学报, 2022, 37(S1): 133-140. |
| WANG Z X, WANG J H. Effect of Aspergillus niger on seed germination and seedling growth of soybean[J]. Acta Agriculturae Boreali-Sinica, 2022, 37(S1): 133-140. | |
| [38] | 代毅. 西北甘草主要病害调查、病原鉴定及其生物学特性研究[D]. 乌鲁木齐: 新疆农业大学, 2021. |
| DAI Y. Survey, identification and biological characteristics determination of major licorice diseases in northwest China[D]. Urumqi: Xinjiang Agricultural University, 2021. | |
| [39] | 黄思良, 卢维宏, 陶爱丽, 等. 南阳市玉米穗腐病致病镰刀菌种群结构分析[J]. 南阳师范学院学报, 2012, 11(3): 54-57. |
| HUANG S L, LU W H, TAO A L, et al. Structural analysis of Fusarium species causing maize ear rot in Nanyang city[J]. Journal of Nanyang Teachers College, 2012, 11(3): 54-57. | |
| [40] | 袁梦蕾, 崔明悦, 张子通, 等. 丹参根腐病病原菌及其生防菌的筛选[J]. 中国农学通报, 2024, 40(30):119-127. |
| YUAN M L, CUI M Y, ZHANG Z T, et al. Pathogens of Salvia miltiorrhiza root rot and screening of biocontrol agents[J]. Chinese Agricultural Science Bulletin, 2024, 40(30): 119-127. | |
| [41] | 何雪, 张强强, 顾沛雯. 宁夏银川地区苜蓿根腐病病原鉴定及致病性测定[J]. 西北农林科技大学学报(自然科学版), 2025, 53(6): 92-104. |
| HE X, ZHANG Q Q, GU P W. Identification and pathogenicity test of pathogens causing alfalfa root rot in Yinchuan, Ningxia[J]. Journal of Northwest A & F University (Natural Science Edition), 2025, 53(6): 92-104. | |
| [42] | 王梦园, 杜延全, 闫加力, 等. 一株草莓根腐病病原菌的鉴定及生物学特性分析[J]. 中国农学通报, 2024, 40(13): 113-120. |
| WANG M Y, DU Y Q, YAN J L, et al. Identification and biological characteristics analysis of a pathogen of strawberry root rot[J]. Chinese Agricultural Science Bulletin, 2024, 40(13): 113-120. | |
| [43] | PÉREZ-PIZÁ M C, STRIKER G G, STENGLEIN S A. Seed-borne diseases in pasture grasses and legumes: state of the art and gaps in knowledge[J]. Journal of Plant Diseases and Protection, 2023, 130(2): 225-244. |
| [44] | 保尔·尼尔高. 种子病理学[M]. 北京: 农业出版社, 1987. |
| [1] | 季洋洋, 张鹏, 刘小强, 董贞汝, 张伟, 樊霆. 纳米银胁迫下黄曲霉(Aspergillus flavus)TL-F3的氧化应激响应及其吸附能力[J]. 浙江农业学报, 2023, 35(1): 128-137. |
| [2] | 杜金梁, 曹丽萍, 贾睿, 顾郑琰, 何勤, 徐跑, JENEYGalina, 马玉忠, 殷国俊. 甘草总黄酮对高脂条件下罗非鱼肝损伤的保护作用[J]. 浙江农业学报, 2021, 33(10): 1826-1835. |
| [3] | 王希春, 曹利, 刘秦, 董妍丽, 王中正, 刘锦芳, 朱雷, 冯士彬, 李玉, 吴金节. 脱氧雪腐镰刀菌烯醇和黄曲霉毒素B1单一及联合染毒对小鼠脑组织病理变化、抗氧化性能和紧密连接蛋白表达量的影响[J]. 浙江农业学报, 2019, 31(6): 886-892. |
| [4] | 李杨,高祝,荣茜,杨晓敏,张睿,李英伦*. 复方柴芩颗粒对实验性黄曲霉毒素慢性中毒鸭CYP450酶表达的影响[J]. 浙江农业学报, 2016, 28(2): 211-. |
| [5] | 李杨,高祝,荣茜,杨晓敏,张睿,李英伦*. 复方柴芩颗粒对鸭黄曲霉毒素慢性中毒CYP450酶活性的影响[J]. 浙江农业学报, 2016, 28(1): 33-. |
| [6] | 李杨,高祝,荣茜,杨晓敏,张睿,李英伦*. “复方柴芩颗粒”防治鸭黄曲霉毒素B1慢性中毒的作用机理 [J]. 浙江农业学报, 2015, 27(8): 1337-. |
| [7] | 卢宇1,赵晓娟1,黄叶娥2,余韵2,王德云2,*. 甘草次酸脂质体对OVA免疫小鼠免疫应答的影响[J]. 浙江农业学报, 2015, 27(8): 1345-. |
| [8] | 吉小凤, 陈笑芸, 魏巍. 酶联免疫法(ELISA)测定瓶装黄酒中黄曲霉毒素B1[J]. 浙江农业学报, 2015, 27(11): 2006-. |
| [9] | 郑会超1,周育2,黄新1,吉小凤2,吴建良1,蒋永清1,*. 青粗饲料中多种黄曲霉毒素高效液相色谱检测方法 [J]. 浙江农业学报, 2014, 26(5): 1186-. |
| 阅读次数 | ||||||
|
全文 |
|
|||||
|
摘要 |
|
|||||