浙江农业学报 ›› 2026, Vol. 38 ›› Issue (2): 317-326.DOI: 10.3969/j.issn.1004-1524.20250034
收稿日期:2025-01-10
出版日期:2026-02-25
发布日期:2026-03-24
作者简介:程征铭,主要从事微塑料对环境污染研究。E-mail:june62024@163.com
通讯作者:
*张亮,E-mail:liangzai0061@126.com
基金资助:
CHENG Zhengming(
), YU Sunjie, ZHANG Liang(
)
Received:2025-01-10
Published:2026-02-25
Online:2026-03-24
摘要:
为研究微塑料对根瘤菌生理生化特性及其活化土壤难溶性磷能力的影响,选取费氏中华根瘤菌(Sinorhizobium fredii)作为供试菌株,研究不同浓度的单分散聚苯乙烯微塑料(PS-MPs)对根瘤菌生长、生物膜形成、抗氧化体系和溶磷能力等的影响。结果表明:微塑料影响根瘤菌的生长,80~300 mg·L-1的PS-MPs处理显著(p<0.05)促进生物膜的形成。20~300 mg·L-1的PS-MPs处理均显著增加根瘤菌的H2O2含量和可溶性蛋白含量,但不同种类抗氧化酶和抗氧化物质的响应不同,反映出根瘤菌体内抗氧化防御机制的复杂性。20~300 mg·L-1的PS-MPs处理均导致土壤有效磷含量较不加PS-MPs的处理显著降低,说明微塑料污染会削弱根瘤菌对土壤难溶性磷的活化能力。这些结果不仅揭示了微塑料污染对根瘤菌生理生化代谢的影响机制,也为深入理解根瘤菌的生物学功能及优化土壤磷素循环提供了依据。
中图分类号:
程征铭, 俞孙洁, 张亮. 微塑料对费氏中华根瘤菌生理生化特性及其活化土壤难溶性磷能力的影响[J]. 浙江农业学报, 2026, 38(2): 317-326.
CHENG Zhengming, YU Sunjie, ZHANG Liang. Effects of microplastics on physiological and biochemical characteristics of Sinorhizobium fredii and its ability to mobilize insoluble phosphorus in soil[J]. Acta Agriculturae Zhejiangensis, 2026, 38(2): 317-326.
图1 微塑料胁迫下根瘤菌的生长曲线和生物膜形成情况 上图中选取部分浓度做显著性差异,以分析不同浓度处理组根瘤菌进入稳定期的时间差异。无相同字母的表示差异显著(p<0.05)。下图中标“*”的表示差异显著(p<0.05)。
Fig.1 Growth curve and biofilm formation of rhizobia under microplastics stress Partial concentrations in the top panel are selected for significant difference analysis to reveal the differences in the time when rhizobia in different concentration treatment groups enter the stationary phase. Dots marked without the same letters indicate significant difference at p<0.05. “*” in the bottom panel indicates significant (p<0.05) difference.
| cPS-MPs/ (mg·L-1) | ASOD/ (U·mg-1) | APOD/ (U·min-1·mg-1) | ACAT/ (U·min-1·mg-1) | cSA/ (μmol·g-1) | cHP/ (μmol·g-1) |
|---|---|---|---|---|---|
| 0 | 180.3±17.51 bc | 45.66±8.56 ef | 6.35±0.78 b | 1.40±0.11 b | 4.11±1.89 d |
| 20 | 208.49±7.19 ab | 97.93±16.06 c | 5.40±0.27 bc | 0.68±0.25 d | 26.44±2.05 b |
| 40 | 161.21±5.38 cd | 136.88±8.73 b | 3.49±0.21 c | 1.06±0.15 c | 31.79±2.32 a |
| 80 | 143.03±19.69 d | 35.31±4.03 f | 6.52±1.84 b | 1.52±0.10 b | 30.97±1.17 a |
| 100 | 192.6±17.91 b | 94.38±1.27 cd | 13.37±1.80 a | 1.32±0.07 b | 23.07±0.90 c |
| 200 | 224.23±15.23 a | 198.41±34.9 a | 13.01±1.52 a | 1.33±0.07 b | 23.10±0.99 c |
| 300 | 205.49±17.74 ab | 67.69±3.71 de | 11.31±0.89 a | 1.93±0.09 a | 30.77±2.03 a |
表1 微塑料胁迫下根瘤菌的抗氧化酶活性和活性氧含量
Table 1 Antioxidant enzyme activity and reactive oxygen content in rhizobia under microplastics stress
| cPS-MPs/ (mg·L-1) | ASOD/ (U·mg-1) | APOD/ (U·min-1·mg-1) | ACAT/ (U·min-1·mg-1) | cSA/ (μmol·g-1) | cHP/ (μmol·g-1) |
|---|---|---|---|---|---|
| 0 | 180.3±17.51 bc | 45.66±8.56 ef | 6.35±0.78 b | 1.40±0.11 b | 4.11±1.89 d |
| 20 | 208.49±7.19 ab | 97.93±16.06 c | 5.40±0.27 bc | 0.68±0.25 d | 26.44±2.05 b |
| 40 | 161.21±5.38 cd | 136.88±8.73 b | 3.49±0.21 c | 1.06±0.15 c | 31.79±2.32 a |
| 80 | 143.03±19.69 d | 35.31±4.03 f | 6.52±1.84 b | 1.52±0.10 b | 30.97±1.17 a |
| 100 | 192.6±17.91 b | 94.38±1.27 cd | 13.37±1.80 a | 1.32±0.07 b | 23.07±0.90 c |
| 200 | 224.23±15.23 a | 198.41±34.9 a | 13.01±1.52 a | 1.33±0.07 b | 23.10±0.99 c |
| 300 | 205.49±17.74 ab | 67.69±3.71 de | 11.31±0.89 a | 1.93±0.09 a | 30.77±2.03 a |
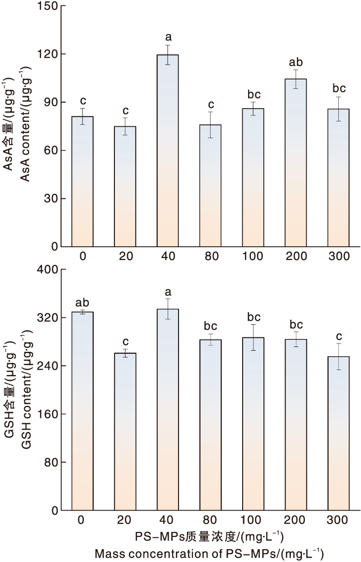
图2 微塑料胁迫下根瘤菌的抗坏血酸(AsA)和谷胱甘肽(GSH)含量 柱上无相同字母的表示显著差异(p<0.05),下同。
Fig.2 Contents of ascorbic acid (AsA) and glutathione (GSH) in rhizobia under microplastics stress Bars marked without the same letters indicate significant differences at p<0.05. The same as below.
| cPS-MPs/ (mg·L-1) | cSS/ (mg·g-1) | cSP/ (mg·g-1) | cMDA/ (μmol·g-1) |
|---|---|---|---|
| 0 | 135.08±5.23 b | 6.80±0.39 e | 4.57±0.22 bc |
| 20 | 100.24±15.12 d | 45.83±3.08 c | 4.85±0.17 bc |
| 40 | 87.02±1.79 d | 39.56±4.49 c | 4.19±1.00 c |
| 80 | 129.78±18.48 b | 18.72±5.77 d | 4.60±0.75 bc |
| 100 | 104.77±9.53 cd | 66.23±1.35 b | 4.75±0.39 bc |
| 200 | 120.34±9.62 bc | 72.89±4.29 b | 5.54±0.20 b |
| 300 | 174.07±5.34 a | 86.09±6.00 a | 7.54±0.55 a |
表2 微塑料胁迫下根瘤菌的渗透调节物质含量
Table 2 Contents of penetrant substances in rhizobia under microplastic stress
| cPS-MPs/ (mg·L-1) | cSS/ (mg·g-1) | cSP/ (mg·g-1) | cMDA/ (μmol·g-1) |
|---|---|---|---|
| 0 | 135.08±5.23 b | 6.80±0.39 e | 4.57±0.22 bc |
| 20 | 100.24±15.12 d | 45.83±3.08 c | 4.85±0.17 bc |
| 40 | 87.02±1.79 d | 39.56±4.49 c | 4.19±1.00 c |
| 80 | 129.78±18.48 b | 18.72±5.77 d | 4.60±0.75 bc |
| 100 | 104.77±9.53 cd | 66.23±1.35 b | 4.75±0.39 bc |
| 200 | 120.34±9.62 bc | 72.89±4.29 b | 5.54±0.20 b |
| 300 | 174.07±5.34 a | 86.09±6.00 a | 7.54±0.55 a |
图3 微塑料胁迫下培养液的pH值、酸性磷酸酶活性和可溶性磷含量
Fig.3 pH value, acid phosphatase activity, and soluble phosphorus content in culture solution under microplastic stress
图5 相关分析的结果 pH,培养液pH值;ACP,培养液中酸性磷酸酶活性;SAP,土壤有效磷含量;CSP,培养液中可溶性磷含量。“*”表示显著(p<0.05)相关。
Fig.5 Results of correlation analysis pH, pH value in culture solution; ACP, Acid phosphatase activity in culture solution; SAP, Soil available phosphorus content; CSP, Soluble phosphorus content in culture solution. “*” indicates significant correlation at p<0.05.
| [1] | THOMPSON R C, OLSEN Y, MITCHELL R P, et al. Lost at sea: where is all the plastic?[J]. Science, 2004, 304(5672): 838. |
| [2] | GONG J, XIE P. Research progress in sources, analytical methods, eco-environmental effects, and control measures of microplastics[J]. Chemosphere, 2020, 254: 126790. |
| [3] | BRAHNEY J, HALLERUD M, HEIM E, et al. Plastic rain in protected areas of the United States[J]. Science, 2020, 368(6496): 1257-1260. |
| [4] | MÖLLER J N, LÖDER M G J, LAFORSCH C. Finding microplastics in soils: a review of analytical methods[J]. Environmental Science & Technology, 2020, 54(4): 2078-2090. |
| [5] | KHALID N, AQEEL M, NOMAN A. Microplastics could be a threat to plants in terrestrial systems directly or indirectly[J]. Environmental Pollution, 2020, 267: 115653. |
| [6] | KINIGOPOULOU V, PASHALIDIS I, KALDERIS D, et al. Microplastics as carriers of inorganic and organic contaminants in the environment: a review of recent progress[J]. Journal of Molecular Liquids, 2022, 350: 118580. |
| [7] | LIU C, SU J S, STEPHEN G K, et al. Overexpression of phosphate transporter gene CmPht1;2 facilitated Pi uptake and alternated the metabolic profiles of chrysanthemum under phosphate deficiency[J]. Frontiers in Plant Science, 2018, 9: 686. |
| [8] | SHOME S, BARMAN A, SOLAIMAN Z M. Rhizobium and phosphate solubilizing bacteria influence the soil nutrient availability, growth, yield, and quality of soybean[J]. Agriculture, 2022, 12(8): 1136. |
| [9] | KAUR C, SELVAKUMAR G, GANESHAMURTHY A N. Organic acids in the rhizosphere: their role in phosphate dissolution[M]// Microbial inoculants in sustainable agricultural productivity. New Delhi: Springer India, 2016: 165-177. |
| [10] | KUMAR V, YADAV A N, SAXENA A, et al. Unravelling rhizospheric diversity and potential of phytase producing microbes[J]. SM Journal of Biology, 2016, 2(1): 1009. |
| [11] | SIDDIQUI S A, SINGH S, BAHMID N A, et al. Polystyrene microplastic particles in the food chain: characteristics and toxicity: a review[J]. Science of the Total Environment, 2023, 892: 164531. |
| [12] | XIA W J, ZHANG L, YE C C, et al. Effect of different microplastics on the mobilization of soil inorganic phosphorus by exomycorrhizal fungi[J]. Global Nest Journal, 2024, 26(9): 1-8. |
| [13] | YAN Y Y, CHEN Z H, ZHU F X, et al. Effect of polyvinyl chloride microplastics on bacterial community and nutrient status in two agricultural soils[J]. Bulletin of Environmental Contamination and Toxicology, 2021, 107(4): 602-609. |
| [14] | ZHANG Z H, LAI X M, XIAO C L, et al. Effect of different microplastics on phosphorus availability in an alkaline paddy soil[J]. Water, Air, & Soil Pollution, 2023, 234(11): 707. |
| [15] | RILLIG M C, LEHMANN A. Microplastic in terrestrial ecosystems[J]. Science, 2020, 368(6498): 1430-1431. |
| [16] | NGUYEN N T H, THAO V T M, KHANH N M, et al. Isolation and characterization of Rhizobium spp. and Bradyrhizobium spp. from legume nodules[J]. Ho Chi Minh City Open University Journal of Science-Engineering and Technology, 2022, 12(2): 70-98. |
| [17] | MAIER R M. Bacterial growth[M]//MAIER R M, PEPPER I L, GERBA C P. Environmental microbiology. 2nd ed. San Diego: Academic Press, 2009: 37-54. |
| [18] | SALAH-UD-DIN, AWAN A B, ARSHAD M M, et al. Level of biofilm production by Staphylococcus aureus isolates is critical for resistance against most but not all antimicrobial drugs[J]. Pakistan Journal of Medical Sciences, 2022, 38(8): 2150-2155. |
| [19] | DOMINGO M G, KURTZ M, MAGLIONE G, et al. Systemic effect of TiO2 micro-and nanoparticles after acute exposure in a murine model[J]. Journal of Biomedical Materials Research Part B: Applied Biomaterials, 2022, 110(7): 1563-1572. |
| [20] | FATEMI F, ABDOLLAHI M R, MIRZAIE-ASL A, et al. Phytochemical antioxidant, enzyme activity and antifungal properties of Satureja khuzistanica in vitro and in vivo explants stimulated by some chemical elicitors[J]. Pharmaceutical Biology, 2020, 58(1): 286-296. |
| [21] | FATHI G A, GHARINEH H, BARZALI M, et al. Evaluation of water deficit stress on seedling growth, antioxidant enzyme activity and yield of four cultivars of cotton[J]. International Journal of Agriculture Innovations & Research, 2014, 2(6): 610-617. |
| [22] | NAJI K M, THAMER F H, NUMAN A A, et al. Ferric-bipyridine assay: a novel spectrophotometric method for measurement of antioxidant capacity[J]. Heliyon, 2020, 6(1): e03162. |
| [23] | POETA M, CIOFFI V, TARALLO A, et al. Postbiotic preparation of Lacticaseibacillus rhamnosus GG against diarrhea and oxidative stress induced by spike protein of SARS-CoV-2 in human enterocytes[J]. Antioxidants, 2023, 12(10): 1878. |
| [24] | SATTERFIELD C N, BONNELL A H. Interferences in titanium sulfate method for hydrogen peroxide[J]. Analytical Chemistry, 1955, 27(7): 1174-1175. |
| [25] | YAO Y H, NAN L L, WANG K, et al. Integrative leaf anatomy structure, physiology, and metabolome analyses revealed the response to drought stress in sainfoin at the seedling stage[J]. Phytochemical Analysis, 2024, 35(5): 1174-1185. |
| [26] | ZHANG C, LIU F, KONG W W, et al. Application of visible and near-infrared hyperspectral imaging to determine soluble protein content in oilseed rape leaves[J]. Sensors, 2015, 15(7): 16576-16588. |
| [27] | SHARMA A, WANG J F, XU D B, et al. Melatonin regulates the functional components of photosynthesis, antioxidant system, gene expression, and metabolic pathways to induce drought resistance in grafted Carya cathayensis plants[J]. Science of the Total Environment, 2020, 713: 136675. |
| [28] | LIN Y F, LIN Y X, LIN H T, et al. Inhibitory effects of propyl gallate on browning and its relationship to active oxygen metabolism in pericarp of harvested Longan fruit[J]. LWT: Food Science and Technology, 2015, 60(2): 1122-1128. |
| [29] | SHYLA B, NAGENDRAPPA G. A simple spectrophotometric method for the determination of phosphate in soil, detergents, water, bone and food samples through the formation of phosphomolybdate complex followed by its reduction with thiourea[J]. Spectrochimica Acta Part A: Molecular and Biomolecular Spectroscopy, 2011, 78(1): 497-502. |
| [30] | BEHERA B C, YADAV H, SINGH S K, et al. Phosphate solubilization and acid phosphatase activity of Serratia sp. isolated from mangrove soil of Mahanadi river delta, Odisha, India[J]. Journal of Genetic Engineering and Biotechnology, 2017, 15(1): 169-178. |
| [31] | WANG L Y, FAN D M, CHEN W, et al. Bacterial growth, detachment and cell size control on polyethylene terephthalate surfaces[J]. Scientific Reports, 2015, 5: 15159. |
| [32] | NAVARRO LLORENS J M, TORMO A, MARTÍNEZ-GARCÍA E. Stationary phase in gram-negative bacteria[J]. FEMS Microbiology Reviews, 2010, 34(4): 845-849. |
| [33] | CHODKOWSKI J L, SHADE A. Exometabolite dynamics over stationary phase reveal strain-specific responses to nutrient limitation[J]. mSystems, 2020, 5(6):e00493. |
| [34] | GJERMANSEN M, NILSSON M, YANG L, et al. Characterization of starvation-induced dispersion in Pseudomonas putida biofilms: genetic elements and molecular mechanisms[J]. Molecular Microbiology, 2010, 75(4): 815-826. |
| [35] | GONG X Y, GE Z H, MA Z H, et al. Effect of different size microplastic particles on the construction of algal-bacterial biofilms and microbial communities[J]. Journal of Environmental Management, 2023, 343: 118246. |
| [36] | LUO H W, DU B, HE L X, et al. Foliar application of sodium selenate induces regulation in yield formation, grain quality characters and 2-acetyl-1-pyrroline biosynthesis in fragrant rice[J]. BMC Plant Biology, 2019, 19(1): 502. |
| [37] | PAUL-PONT I, LACROIX C, GONZÁLEZ FERNÁNDEZ C, et al. Exposure of marine mussels Mytilus spp. to polystyrene microplastics: toxicity and influence on fluoranthene bioaccumulation[J]. Environmental Pollution, 2016, 216: 724-737. |
| [38] | XIAO B H, LI D D, LIAO B L, et al. Effects of microplastics exposure on the Acropora sp. antioxidant, immunization and energy metabolism enzyme activities[J]. Frontiers in Microbiology, 2021, 12: 666100. |
| [39] | 阳祝庆, 杨敏, 黄道友, 等. 聚苯乙烯微塑料对连续种植小白菜生长及品质的影响[J]. 环境科学, 2024, 45(11): 6645-6653. |
| YANG Z Q, YANG M, HUANG D Y, et al. Effects of polyethylene microplastics on the growth and quality of Brassica campestris L. in a three-season consecutive cultivation[J]. Environmental Science, 2024, 45(11): 6645-6653. | |
| [40] | 李玉婷, 李莎, 曹杰, 等. 微塑料对外生菌根真菌生长和抗氧化系统的影响[J]. 浙江农业学报, 2022, 34(5): 1049-1060. |
| LI Y T, LI S, CAO J, et al. Effects of microplastics on growth and antioxidant system of ectomycorrhizal fungi[J]. Acta Agriculturae Zhejiangensis, 2022, 34(5): 1049-1060. | |
| [41] | MOHSEN M, ZHANG L B, SUN L N, et al. Effect of chronic exposure to microplastic fibre ingestion in the sea cucumber Apostichopus japonicus[J]. Ecotoxicology and Environmental Safety, 2021, 209: 111794. |
| [42] | 钟传青, 黄为一. 不同种类解磷微生物的溶磷效果及其磷酸酶活性的变化[J]. 土壤学报, 2005, 42(2): 286-294. |
| ZHONG C Q, HUANG W Y. Comparison in p-solubilizing effects between different P-solubilizing microbes and variation of activities of their phosphatases[J]. Acta Pedologica Sinica, 2005, 42(2): 286-294. | |
| [43] | ZHAO T T, LOZANO Y M, RILLIG M C. Microplastics increase soil pH and decrease microbial activities as a function of microplastic shape, polymer type, and exposure time[J]. Frontiers in Environmental Science, 2021, 9: 675803. |
| [44] | DONG Y M, GAO M L, QIU W W, et al. Effect of microplastics and arsenic on nutrients and microorganisms in rice rhizosphere soil[J]. Ecotoxicology and Environmental Safety, 2021, 211: 111899. |
| [45] | WANG R Z, YANG L, GUO M M, et al. Effects of microplastic properties and dissolved organic matter on phosphorus availability in soil and aqueous mediums[J]. Environmental Pollution, 2024, 340: 122784. |
| [1] | 赵泓雨, 周宇杰, 李建忠, 郑涵, 毕继安, 余初浪, 周宇航, 侯凡, 戴彬凤, 钟列权, 严成其, 张海鹏, 杨勇, 陈剑平, 王成雨. 微塑料对植物影响的研究现状、未来展望与植物激素抵抗微塑料的分子生物学机制[J]. 浙江农业学报, 2025, 37(7): 1595-1604. |
| [2] | 李玉婷, 李莎, 曹杰, 李骄杨, 张亮, 许晓风. 微塑料对外生菌根真菌生长和抗氧化系统的影响[J]. 浙江农业学报, 2022, 34(5): 1049-1060. |
| [3] | 徐玥, 胥雅馨, 黄兴军, 吴树, 陈国栋, 吴全忠, 翟云龙. 根瘤菌接种方式对复播大豆干物质积累与产量的影响[J]. 浙江农业学报, 2021, 33(10): 1808-1816. |
| [4] | 汪燕, 石海春, 余学杰, 赵长云, 柯永培. 玉米细胞核雄性不育突变体K305ms的生理生化分析[J]. 浙江农业学报, 2018, 30(8): 1281-1287. |
| [5] | 刁亚南,赵腊梅,金海如*. 外源氮处理对丛枝菌根真菌—根瘤菌产精氨酸的影响 [J]. 浙江农业学报, 2014, 26(5): 1297-. |
| [6] | EDTA对黄菖蒲和马蔺Cu吸收积累的影响. EDTA对黄菖蒲和马蔺Cu吸收积累的影响[J]. , 2013, 25(5): 0-1091. |
| [7] | 孔治有;杨志雷;覃鹏;*. 低温和异丙隆对大麦生理生化特性的影响[J]. , 2013, 25(4): 0-704. |
| [8] | 孔治有;覃鹏;*;刘叶菊;杨燕飞;刘芯;翟旭明. 低温和异丙隆处理对分蘖期小麦生理生化特性的影响[J]. , 2013, 25(3): 0-442. |
| [9] | 李波;吴月燕;*;崔鹏;. 水分胁迫对2种基因型杜鹃生理生化特性的影响[J]. , 2011, 23(5): 0-994. |
| [10] | 黄新;王亚琴;刘建新;俞照正;鲍明道;陈维虎;石吉天;孙红霞. 接种根瘤菌对不同紫花苜蓿品种结瘤和生物学产量的影响[J]. , 2005, 17(6): 0-394. |
| 阅读次数 | ||||||
|
全文 |
|
|||||
|
摘要 |
|
|||||