Acta Agriculturae Zhejiangensis ›› 2025, Vol. 37 ›› Issue (12): 2516-2524.DOI: 10.3969/j.issn.1004-1524.20240800
• Horticultural Science • Previous Articles Next Articles
YAN Peiyu1(
), ZHANG Shengyin2, CHEN Liang3,4, LIU Bin1,4,*(
)
Received:2024-09-10
Online:2025-12-25
Published:2026-01-09
CLC Number:
YAN Peiyu, ZHANG Shengyin, CHEN Liang, LIU Bin. Effects of water-fertilizer coupling on growth, yield and quality of tomato cultivated in facility[J]. Acta Agriculturae Zhejiangensis, 2025, 37(12): 2516-2524.
Add to citation manager EndNote|Ris|BibTeX
URL: http://www.zjnyxb.cn/EN/10.3969/j.issn.1004-1524.20240800
| 处理 Treatments | 每槽每次灌水量 Irrigation amount per plot for once/L | 施肥量 Fertilizer application rate/(kg·hm-2) |
|---|---|---|
| CK | 87.23 | N 420,P2O5 180,K2O 468.0 |
| W1F1 | 74.15 | N 420,P2O5 180,K2O 468.0 |
| W1F2 | 74.15 | N 357,P2O5 153,K2O 397.8 |
| W1F3 | 74.15 | N 294,P2O5 126,K2O 327.6 |
| W2F1 | 65.42 | N 420,P2O5 180,K2O 468.0 |
| W2F2 | 65.42 | N 357,P2O5 153,K2O 397.8 |
| W2F3 | 65.42 | N 294,P2O5 126,K2O 327.6 |
| W3F1 | 56.70 | N 420,P2O5180,K2O 468.0 |
| W3F2 | 56.70 | N 357,P2O5 153,K2O 397.8 |
| W3F3 | 56.70 | N 294,P2O5 126,K2O 327.6 |
Table 1 Test scheme design
| 处理 Treatments | 每槽每次灌水量 Irrigation amount per plot for once/L | 施肥量 Fertilizer application rate/(kg·hm-2) |
|---|---|---|
| CK | 87.23 | N 420,P2O5 180,K2O 468.0 |
| W1F1 | 74.15 | N 420,P2O5 180,K2O 468.0 |
| W1F2 | 74.15 | N 357,P2O5 153,K2O 397.8 |
| W1F3 | 74.15 | N 294,P2O5 126,K2O 327.6 |
| W2F1 | 65.42 | N 420,P2O5 180,K2O 468.0 |
| W2F2 | 65.42 | N 357,P2O5 153,K2O 397.8 |
| W2F3 | 65.42 | N 294,P2O5 126,K2O 327.6 |
| W3F1 | 56.70 | N 420,P2O5180,K2O 468.0 |
| W3F2 | 56.70 | N 357,P2O5 153,K2O 397.8 |
| W3F3 | 56.70 | N 294,P2O5 126,K2O 327.6 |
| 处理 Treatments | 株高 Plant height/cm | 茎粗 Stem diameter/mm | 叶面积 Leaf area/cm2 |
|---|---|---|---|
| CK | 177.75±2.33 d | 9.68±0.16 c | 277.4±0.99 d |
| W1FI | 185.96±0.72 b | 9.57±0.10 c | 205.72±4.74 f |
| W1F2 | 186.10±0.40 b | 9.55±0.23 c | 219.89±4.90 f |
| W1F3 | 184.44±0.48 bc | 9.92±0.25 c | 235.83±2.48 e |
| W2F1 | 186.32±1.10 b | 9.80±0.22 c | 294.22±7.36 c |
| W2F2 | 191.35±1.34 a | 11.04±0.19 a | 337.74±1.91 a |
| W2F3 | 188.63±0.89 ab | 10.45±0.18 b | 296.44±2.32 c |
| W3F1 | 185.08±0.88 bc | 9.60±0.03 c | 300.00±2.91 c |
| W3F2 | 180.69±1.39 cd | 9.57±0.09 c | 315.68±4.86 b |
| W3F3 | 184.62±2.87 bc | 9.45±0.07 c | 316.98±4.56 b |
Table 2 Growth of tomato plants in greenhouse under different water and fertilizer coupling treatments
| 处理 Treatments | 株高 Plant height/cm | 茎粗 Stem diameter/mm | 叶面积 Leaf area/cm2 |
|---|---|---|---|
| CK | 177.75±2.33 d | 9.68±0.16 c | 277.4±0.99 d |
| W1FI | 185.96±0.72 b | 9.57±0.10 c | 205.72±4.74 f |
| W1F2 | 186.10±0.40 b | 9.55±0.23 c | 219.89±4.90 f |
| W1F3 | 184.44±0.48 bc | 9.92±0.25 c | 235.83±2.48 e |
| W2F1 | 186.32±1.10 b | 9.80±0.22 c | 294.22±7.36 c |
| W2F2 | 191.35±1.34 a | 11.04±0.19 a | 337.74±1.91 a |
| W2F3 | 188.63±0.89 ab | 10.45±0.18 b | 296.44±2.32 c |
| W3F1 | 185.08±0.88 bc | 9.60±0.03 c | 300.00±2.91 c |
| W3F2 | 180.69±1.39 cd | 9.57±0.09 c | 315.68±4.86 b |
| W3F3 | 184.62±2.87 bc | 9.45±0.07 c | 316.98±4.56 b |
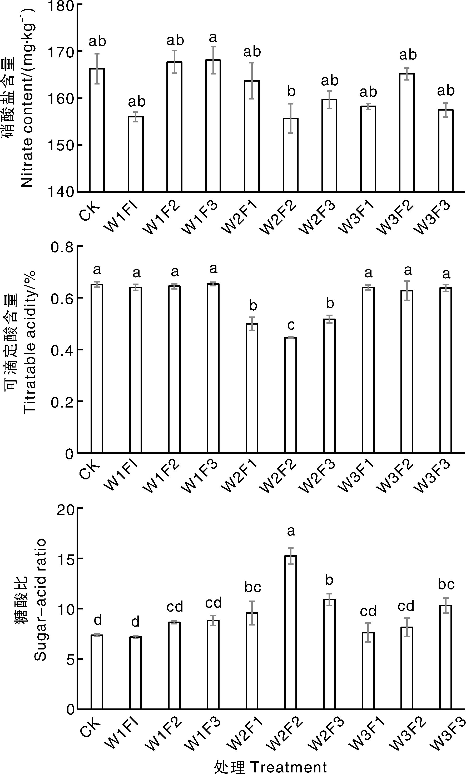
Fig.1 Total soluble solids content of tomatoes in greenhouse under different water and fertilizer coupling treatments The bars with different lowercase letters indicate the significant (p<0.05) difference. The same as below.
| 处理 Treatments | 单果重 Single fruit weight/g | 单株果数 Number of fruit per plant | 每667 m2产量 Yield per 667 m2/kg | 水分利用效率 Water use efficiency/(kg·m-3) |
|---|---|---|---|---|
| CK | 97.34±0.27 a | 26.0±0.6 ab | 4 705.29±98.33 ab | 14.86±0.36 f |
| W1FI | 96.06±0.30 b | 25.3±0.3 bc | 4 524.49±67.04 bc | 16.55±0.25 d |
| W1F2 | 94.24±0.01 de | 25.0±0.1 cd | 4 380.35±0.54 cd | 16.03±0.01 de |
| W1F3 | 93.96±0.19 e | 24.3±0.3 cd | 4 250.98±57.15 cd | 15.55±0.21 ef |
| W2F1 | 95.38±0.24 c | 26.0±0.6 ab | 4 611.29±112.58 bc | 18.71±0.46 c |
| W2F2 | 97.46±0.09 a | 27.0±0.6 a | 4 892.49±102.29 a | 19.85±0.42 b |
| W2F3 | 94.48±0.21 de | 25.6±0.3 bc | 4 508.36±48.68 bc | 18.29±0.20 c |
| W3F1 | 95.93±0.24 bc | 25.6±0.3 bc | 4 578.18±67.82 bc | 20.85±0.31 a |
| W3F2 | 94.70±0.23 d | 24.0±0.6 d | 4 225.31±97.64 cd | 19.24±0.44 bc |
| W3F3 | 94.21±0.05 de | 23.6±0.3 d | 4 145.62±60.42 d | 18.88±0.28 bc |
Table 3 Yield and water use efficiency of tomatoes in greenhouse under different water and fertilizer coupling treatments
| 处理 Treatments | 单果重 Single fruit weight/g | 单株果数 Number of fruit per plant | 每667 m2产量 Yield per 667 m2/kg | 水分利用效率 Water use efficiency/(kg·m-3) |
|---|---|---|---|---|
| CK | 97.34±0.27 a | 26.0±0.6 ab | 4 705.29±98.33 ab | 14.86±0.36 f |
| W1FI | 96.06±0.30 b | 25.3±0.3 bc | 4 524.49±67.04 bc | 16.55±0.25 d |
| W1F2 | 94.24±0.01 de | 25.0±0.1 cd | 4 380.35±0.54 cd | 16.03±0.01 de |
| W1F3 | 93.96±0.19 e | 24.3±0.3 cd | 4 250.98±57.15 cd | 15.55±0.21 ef |
| W2F1 | 95.38±0.24 c | 26.0±0.6 ab | 4 611.29±112.58 bc | 18.71±0.46 c |
| W2F2 | 97.46±0.09 a | 27.0±0.6 a | 4 892.49±102.29 a | 19.85±0.42 b |
| W2F3 | 94.48±0.21 de | 25.6±0.3 bc | 4 508.36±48.68 bc | 18.29±0.20 c |
| W3F1 | 95.93±0.24 bc | 25.6±0.3 bc | 4 578.18±67.82 bc | 20.85±0.31 a |
| W3F2 | 94.70±0.23 d | 24.0±0.6 d | 4 225.31±97.64 cd | 19.24±0.44 bc |
| W3F3 | 94.21±0.05 de | 23.6±0.3 d | 4 145.62±60.42 d | 18.88±0.28 bc |
Fig.4 Correlation analysis(A) and principal component analysis(B) of various indicators under water-fertilizer coupling treatment PH, Plant height; SD, Stem diameter; LA, Leaf area; TSS, Total soluble solids content; TS, Total sugar content; NC, Nitrate content; TA, Titratable acidity; S/A, Sugar-acid ratio; SW, Single fruit weight; NF, Number of fruits per plant; WUE, Water use efficiency; Y, Yield.
| [1] | 王晓晶. LED绿光对蔬菜生长及品质的影响[D]. 太谷: 山西农业大学, 2019. |
| WANG X J. Effects of LED green light on growth and quality of vegetable[D]. Taigu: Shanxi Agricultural University, 2019. (in Chinese with English abstract) | |
| [2] | 郝忠凤. 大棚种植番茄栽培技术[J]. 吉林农业, 2012(12): 77. |
| HAO Z F. Cultivation techniques of tomato planting in greenhouse[J]. Jilin Agriculture, 2012(12): 77. (in Chinese with English abstract) | |
| [3] | 周博, 陈竹君, 周建斌. 水肥调控对日光温室番茄产量、品质及土壤养分含量的影响[J]. 西北农林科技大学学报(自然科学版), 2006, 34(4): 58-62. |
| ZHOU B, CHEN Z J, ZHOU J B. Effect of different fertilizer and water managements on the yield and quality of tomatoes and nutrient accumulations in soil cultivated in sunlight greenhouse[J]. Journal of Northwest Sci-Tech University of Agriculture and Forestry(Natural Science Edition), 2006, 34(4): 58-62. (in Chinese with English abstract) | |
| [4] | 哈婷, 张向梅, 李建设, 等. 营养液供液量及供液频率对高糖度番茄生长、产量及品质的影响[J]. 西北农业学报, 2017, 26(10): 1484-1491. |
| HA T, ZHANG X M, LI J S, et al. Effects of supply amounts and frequencies of nutrient solution on plant growth and fruit quality of highly sugary tomato[J]. Acta Agriculturae Boreali-occidentalis Sinica, 2017, 26(10): 1484-1491. (in Chinese with English abstract) | |
| [5] | 李天来. 我国设施蔬菜科技与产业发展现状及趋势[J]. 中国农村科技, 2016(5): 75-77. |
| LI T L. Present situation and trend of technology and industry development of protected vegetables in China[J]. China Rural Science & Technology, 2016(5): 75-77. (in Chinese with English abstract) | |
| [6] | 孙振荣, 王兴田. 兰州地区设施番茄水肥耦合技术研究[J]. 农业科技与信息, 2017(7): 71-72. |
| SUN Z R, WANG X T. Study on coupling technology of water and fertilizer for protected tomato in Lanzhou area[J]. Agricultural Science-Technology and Information, 2017(7): 71-72. (in Chinese with English abstract) | |
| [7] | 朱保侠, 王鲁豫. 水肥一体化管理对设施番茄产量和经济效益的影响[J]. 现代农业科技, 2020(14): 58-59. |
| ZHU B X, WANG L Y. Effect of drip fertigation on yield and economic benefit of facility tomato[J]. Modern Agricultural Science and Technology, 2020(14): 58-59. (in Chinese with English abstract) | |
| [8] | 代顺冬, 韦树谷, 赖佳, 等. 水、氮、磷、钾耦合效应对大白菜产量的影响[J]. 四川农业大学学报, 2020, 38(3): 299-304. |
| DAI S D, WEI S G, LAI J, et al. Effects of coupling effects of water, nitrogen, phosphorus and potassium on the yield of Chinese cabbage[J]. Journal of Sichuan Agricultural University, 2020, 38(3): 299-304. (in Chinese with English abstract) | |
| [9] | 邢英英, 张富仓, 吴立峰, 等. 基于番茄产量品质水肥利用效率确定适宜滴灌灌水施肥量[J]. 农业工程学报, 2015, 31(S1): 110-121. |
| XING Y Y, ZHANG F C, WU L F, et al. Determination of optimal amount of irrigation and fertilizer under drip fertigated system based on tomato yield, quality, water and fertilizer use efficiency[J]. Transactions of the Chinese Society of Agricultural Engineering, 2015, 31(S1): 110-121. (in Chinese with English abstract) | |
| [10] | 王秀康, 杜常亮, 邢金金, 等. 基于水肥供应条件下温室番茄品质性状的主成分分析[J]. 分子植物育种, 2017, 15(2): 698-704. |
| WANG X K, DU C L, XING J J, et al. Effects of irrigation and fertilization on fruit quality of greenhouse tomatoes: principal component analysis[J]. Molecular Plant Breeding, 2017, 15(2): 698-704. (in Chinese with English abstract) | |
| [11] | 张宇. 设施农业水肥一体化技术推广应用[J]. 农业工程技术, 2023, 43(6): 34-35. |
| ZHANG Y. Popularization and application of water and fertilizer integration technology in protected agriculture[J]. Agricultural Engineering Technology, 2023, 43(6): 34-35. (in Chinese with English abstract) | |
| [12] | YANG Z. Research status and development trend of intelligent water fertilizer integration technology and equipment[J]. Hans Journal of Agricultural Sciences, 2020, 10(7): 419-425. |
| [13] | 梁嘉敏, 杨虎晨, 张立丹, 等. 我国水溶性肥料及水肥一体化的研究进展[J]. 广东农业科学, 2021, 48(5): 64-75. |
| LIANG J M, YANG H C, ZHANG L D, et al. Research progress of water-soluble fertilizer and fertigation in China[J]. Guangdong Agricultural Sciences, 2021, 48(5): 64-75. (in Chinese with English abstract) | |
| [14] | 毛震宇, 颉建明, 何志学, 等. 缓释肥替代普通化肥对蒜苗生长、产量及品质的影响[J]. 中国蔬菜, 2020(11): 66-71. |
| MAO Z Y, XIE J M, HE Z X, et al. Effects of slow-released fertilizer instead of chemical fertilizer on growth, yield and quality of garlic seedlings[J]. China Vegetables, 2020(11): 66-71. (in Chinese with English abstract) | |
| [15] | 柳帆红, 肖雪梅, 郁继华, 等. 不同时段补光对日光温室番茄营养与风味品质的影响[J]. 西北农业学报, 2020, 29(4): 570-578. |
| LIU F H, XIAO X M, YU J H, et al. Effect of light supplementation in different periods on nutrition and flavor quality of tomato in solar greenhouse[J]. Acta Agriculturae Boreali-occidentalis Sinica, 2020, 29(4): 570-578. (in Chinese with English abstract) | |
| [16] | ZHAO J X, FENG H Z, XU T R, et al. Physiological and environmental control on ecosystem water use efficiency in response to drought across the Northern Hemisphere[J]. Science of the Total Environment, 2021, 758: 143599. |
| [17] | 吕剑. 日光温室基质栽培越冬茬番茄灌水下限研究[D]. 兰州: 甘肃农业大学, 2012. |
| LYU J. The study of irrigation limits of overwintering tomato in heliogreenhouse under substrate culture[D]. Lanzhou: Gansu Agricultural University, 2012. (in Chinese with English abstract) | |
| [18] | 薛义霞, 栗东霞, 李亚灵. 番茄叶面积测量方法的研究[J]. 西北农林科技大学学报(自然科学版), 2006, 34(8): 116-120. |
| XUE Y X, LI D X, LI Y L. Study on method to measure tomato leaf area[J]. Journal of Northwest Sci-Tech University of Agriculture and Forestry(Natural Science Edition), 2006, 34(8): 116-120. (in Chinese with English abstract) | |
| [19] | 赵文举, 曹伟, 吴克倩, 等. 盐碱地水肥耦合对基质栽培番茄生长与产量品质的影响[J]. 排灌机械工程学报, 2024, 42(6): 619-626. |
| ZHAO W J, CAO W, WU K Q, et al. Effects of water and fertilizer coupling on growth, yield and quality of tomato in saline-alkali soil[J]. Journal of Drainage and Irrigation Machinery Engineering, 2024, 42(6): 619-626. (in Chinese with English abstract) | |
| [20] | 祝洋, 刘志应, 李新苗, 等. 水肥耦合效应对设施番茄生长及水分利用效率的影响[J]. 山东农业科学, 2024, 56(4): 92-101. |
| ZHU Y, LIU Z Y, LI X M, et al. Coupling effects of water and fertilizer on growth and water use efficiency of greenhouse tomato[J]. Shandong Agricultural Sciences, 2024, 56(4): 92-101. (in Chinese with English abstract) | |
| [21] | 孙艳琦. 控水施钙对温室番茄水分、养分生理和果实品质的影响[D]. 杨凌: 西北农林科技大学, 2013. |
| SUN Y Q. Effects of reduced irrigation and calcium fertilization on water and nutrients physiology and fruit quality of glasshouse tomatoes[D]. Yangling: Northwest A & F University, 2013. (in Chinese with English abstract) | |
| [22] | 文静, 黄海涛, 李家慧, 等. 水肥耦合对设施番茄肥料减施效应的影响[J]. 蔬菜, 2023(3): 27-31. |
| WEN J, HUANG H T, LI J H, et al. Effects of water and fertilizer coupling on fertilizer reduction of facility tomatoes[J]. Vegetables, 2023(3): 27-31. (in Chinese with English abstract) | |
| [23] | 刘璐, 白甜, 赵建锋, 等. 滴灌条件下不同施肥配比对小果型西瓜产量及品质的影响[J]. 浙江农业科学, 2023, 64(5): 1079-1082. |
| LIU L, BAI T, ZHAO J F, et al. Effects of different fertilization ratio on yield and quality of small fruit watermelon under drip irrigation[J]. Journal of Zhejiang Agricultural Sciences, 2023, 64(5): 1079-1082. (in Chinese with English abstract) | |
| [24] | 王雪科, 吴春燕, 韩潇怡, 等. 水肥耦合对日光温室番茄产量和品质的影响[J]. 江苏农业科学, 2023, 51(20): 167-172. |
| WANG X K, WU C Y, HAN X Y, et al. Effect of water and fertilizer coupling on yield and quality of tomato in solar greenhouse[J]. Jiangsu Agricultural Sciences, 2023, 51(20): 167-172. (in Chinese with English abstract) | |
| [25] | 袁丽萍, 司力珊, 张力, 等. 水氮耦合供应对温室番茄果实硝酸盐累积的影响[J]. 中国土壤与肥料, 2008(5): 33-35. |
| YUAN L P, SI L S, ZHANG L, et al. Effects of different irrigation and nitrogen supply on nitrate accumulation in tomato fruit in solar-greenhouse[J]. Soil and Fertilizer Sciences in China, 2008(5): 33-35. (in Chinese with English abstract) | |
| [26] | 王艳丹, 方海东, 李建查, 等. 不同水肥管理对番茄品质和产量的影响[J]. 农学学报, 2019, 9(6): 39-45. |
| WANG Y D, FANG H D, LI J C, et al. Effects of water and fertilizer management modes on quality and yield of tomato[J]. Journal of Agriculture, 2019, 9(6): 39-45. (in Chinese with English abstract) | |
| [27] | 牛童, 郁继华, 张国斌, 等. 水肥耦合对露地松花菜产量、品质及干物质积累的影响[J]. 甘肃农业大学学报, 2018, 53(6): 64-70, 81. |
| NIU T, YU J H, ZHANG G B, et al. Effects of water and fertilizer coupling on yield, quality and dry matter accumulation of loose-curd cauliflower[J]. Journal of Gansu Agricultural University, 2018, 53(6): 64-70, 81. (in Chinese with English abstract) | |
| [28] | 刘晓奇, 肖雪梅, 王俊文, 等. 水分亏缺对日光温室基质栽培番茄果实营养和风味品质的影响[J]. 江苏农业学报, 2021, 37(2): 443-453. |
| LIU X Q, XIAO X M, WANG J W, et al. Effects of water deficit on nutrition and flavor qualities of tomato fruits cultivated by substrate in solar greenhouse[J]. Jiangsu Journal of Agricultural Sciences, 2021, 37(2): 443-453. (in Chinese with English abstract) | |
| [29] | 王瑞, 刘晓奇, 颉博杰, 等. 水分亏缺对番茄果实外观品质和糖酸组分的动态调控[J]. 西北农业学报, 2023, 32(9): 1356-1364. |
| WANG R, LIU X Q, XIE B J, et al. Dynamic regulation of water deficit on appearance and sugar and acid components of tomato fruit[J]. Acta Agriculturae Boreali-occidentalis Sinica, 2023, 32(9): 1356-1364. (in Chinese with English abstract) | |
| [30] | 曹壮壮, 缪旻珉. 水肥一体化对设施蔬菜生产的影响研究进展[J]. 现代农业科技, 2020(18): 69-70. |
| CAO Z Z, MIAO M M. Research progress on the influence of water and fertilizer integration on protected vegetable production[J]. Modern Agricultural Science and Technology, 2020(18): 69-70. (in Chinese with English abstract) | |
| [31] | 李耀霞, 郁继华, 张国斌, 等. 灌水上限和施肥量对温室番茄根际土壤酶及微生物活性的影响[J]. 湖北农业科学, 2019, 58(24): 128-133. |
| LI Y X, YU J H, ZHANG G B, et al. Effects of irrigation limits and fertilizing amount on enzyme and microbial activity in greenhouse tomato rhizosphere soil[J]. Hubei Agricultural Sciences, 2019, 58(24): 128-133. (in Chinese with English abstract) | |
| [32] | 李春雨, 谭占明, 程云霞, 等. 水肥耦合对沙培番茄生长发育及品质的影响[J]. 新疆农业科学, 2022, 59(9): 2158-2169. |
| LI C Y, TAN Z M, CHENG Y X, et al. The influence of water and fertilizer coupling on the growth-development and quality of sand culture tomato[J]. Xinjiang Agricultural Sciences, 2022, 59(9): 2158-2169. (in Chinese with English abstract) | |
| [33] | 窦允清, 王振华, 张金珠, 等. 水肥耦合对滴灌加工番茄生理生长及产量的影响[J]. 江苏农业科学, 2019, 47(7): 124-129. |
| DOU Y Q, WANG Z H, ZHANG J Z, et al. Effects of water and fertilizer coupling on physiological growth and yield of tomato under drip irrigation[J]. Jiangsu Agricultural Sciences, 2019, 47(7): 124-129. (in Chinese with English abstract) |
| [1] | XU Weimeng, XU Yan, CHEN Guoli. Comprehensive evaluation of waxy corn quality based on various analytical methods [J]. Acta Agriculturae Zhejiangensis, 2025, 37(9): 1840-1848. |
| [2] | YAN Peizhong, CHEN Liang, ZHANG Shengyin, LIU Bin. Effects of water-fertilizer coupling regimes on maize yield and water and fertilizer use efficiency under mulched drip irrigation in Jingdian irrigation district of China [J]. Acta Agriculturae Zhejiangensis, 2025, 37(9): 1849-1859. |
| [3] | WU Ju, YANG Fei, WU Guoquan, FU Xian, XU Chenguang. Effects of sand culture and soil culture on growth, yield, and quality of cucumber (Cucumis sativus L.) [J]. Acta Agriculturae Zhejiangensis, 2025, 37(9): 1905-1913. |
| [4] | ZHU Weijing, WU Jia, HONG Chunlai, ZHU Fengxiang, HONG Leidong, ZHANG Tao, ZHANG Shuo, ZHU Huifen. Effects of straw mulching on water, heat, fertility status of soil and yield and quality of flat peach [J]. Acta Agriculturae Zhejiangensis, 2025, 37(9): 1924-1932. |
| [5] | HE Shixiong, YANG Lei, QI Anmin, CHENG Ji, WANG Min, LI Yingkui, HONG Lin. Effects of interstock on leaf photosynthetic characteristics, physicochemical properties and fruit quality of three mandarin hybrids [J]. Acta Agriculturae Zhejiangensis, 2025, 37(8): 1680-1693. |
| [6] | ZHANG Shunchang, XU Jigen, FU Chengyue, PU Zhanxu, HU Lipeng, WU Hao, LI Junbing, XIN Liang, LEI Yuanjun. Effect of amino acid calcium spraying on peel cracking and quality of citrus hybrid Hongmeiren [J]. Acta Agriculturae Zhejiangensis, 2025, 37(8): 1706-1715. |
| [7] | ZHANG Zhiying, QIU Qin, HOU Lijuan, XU Ping, JIANG Ning, LIN Jinsheng, LI Huiping, QU Shaoxuan, MA Lin, WANG Weixia, LI Fuhou. Evaluation on the safety of insecticides application on Pleurotus pulmonarius and Auricularia cornea [J]. Acta Agriculturae Zhejiangensis, 2025, 37(8): 1733-1742. |
| [8] | YAN Fulin, LANG Yunhu, JIAN Yingquan, CHEN Xiongfei, WEI Wei, WANG Zhiwei, AN Jiangyong, REN Deqiang, DING Ning, WEI Shenghua. Response of yield and quality of Radix Ardisia to soil physiochemical properties [J]. Acta Agriculturae Zhejiangensis, 2025, 37(8): 1766-1775. |
| [9] | FENG Yiyu, REN Hongjie. Quantitative assessment of new quality productive forces in China’s livestock industry: based on panel data in 2007-2021 [J]. Acta Agriculturae Zhejiangensis, 2025, 37(8): 1805-1816. |
| [10] | HUANG Xianke, HUANG Xiaolin, ZHANG Xiang, LI Min, CAI Yilong, CHEN Ran. Effects of oyster shells on the growth performance of Penaeus vannamei and water quality, and microbial community characteristics on shell surfaces [J]. Acta Agriculturae Zhejiangensis, 2025, 37(7): 1441-1450. |
| [11] | WANG Chengyang, LIU Jieya, WU Minyi, XIE Boyi, HONG Decheng, LENG Feng, WU Guoquan. Effect of calcium treatment on the fruit quality of Reliance grape under waterlogging [J]. Acta Agriculturae Zhejiangensis, 2025, 37(7): 1451-1458. |
| [12] | ZHANG Yuanyuan, LI Meng. The estimation of new quality productive forces level, developmental retardation and cultivation path of feed enterprises [J]. Acta Agriculturae Zhejiangensis, 2025, 37(7): 1580-1594. |
| [13] | ZHANG Ruonan, MEN Xiaoming, QIN Kaipeng, WANG Binbin, WU Jie, DING Xiangbin, XU Ziwei, QI Keke. Comparative study on growth performance, carcass quality, meat performance and profitability of different crossbreed combinations of Lvjiahei pigs [J]. Acta Agriculturae Zhejiangensis, 2025, 37(6): 1203-1211. |
| [14] | XIANG Ying, CONG Jianmin, PAN Danhong, TAO Yonggang. Comprehensive evaluation of the growth process of different tomato varieties under spring organic greenhouse planting [J]. Acta Agriculturae Zhejiangensis, 2025, 37(6): 1252-1261. |
| [15] | LIU Wenqi, HU Qizan, YUE Zhichen, TAO Peng, LEI Juanli, LI Biyuan, ZHAO Yanting, WANG Huasen. Effects of high temperature in summer on the appearance and nutritional quality of Brassica juncea [J]. Acta Agriculturae Zhejiangensis, 2025, 37(6): 1262-1271. |
| Viewed | ||||||
|
Full text |
|
|||||
|
Abstract |
|
|||||