Acta Agriculturae Zhejiangensis ›› 2025, Vol. 37 ›› Issue (10): 2150-2164.DOI: 10.3969/j.issn.1004-1524.20240828
• Environmental Science • Previous Articles Next Articles
WANG Yunlong(
), JIA Shengqiang, CUI Lingyu, LYU Haohao, SHEN Alin, SU Yao(
)
Received:2024-09-20
Online:2025-10-25
Published:2025-11-13
CLC Number:
WANG Yunlong, JIA Shengqiang, CUI Lingyu, LYU Haohao, SHEN Alin, SU Yao. Interactions of soil carbon and nitrogen distribution with nitrogen fixing and denitrifying bacteria community under straw returning[J]. Acta Agriculturae Zhejiangensis, 2025, 37(10): 2150-2164.
Add to citation manager EndNote|Ris|BibTeX
URL: http://www.zjnyxb.cn/EN/10.3969/j.issn.1004-1524.20240828
| 目的基因 Target gene | 引物 Primer | 引物序列 Primer sequence (5'→3') |
|---|---|---|
| nifH | nifHF | AAAGGYGGWATCGGYAARTCCACCAC |
| nifHR | TTGTTSGCSGCRTACATSGCCATCAT | |
| nirK | F1aCu | ATC ATG GTSCTG CCG CG |
| R3Cu | GCC TCG ATC AGR TTG TGG TT | |
| nirS | cd3aF | GTS AAC GTS AAG GAR ACS GG |
| R3cdR | GAS TTC GGR TGS GTC TTG A | |
| nosZ | NosF2 | GGG CTB GGG CCR TTG CA |
| NosR2 | GAA GCG RTC CTT SGA RAA CTT G |
Table 1 Basic information of primers
| 目的基因 Target gene | 引物 Primer | 引物序列 Primer sequence (5'→3') |
|---|---|---|
| nifH | nifHF | AAAGGYGGWATCGGYAARTCCACCAC |
| nifHR | TTGTTSGCSGCRTACATSGCCATCAT | |
| nirK | F1aCu | ATC ATG GTSCTG CCG CG |
| R3Cu | GCC TCG ATC AGR TTG TGG TT | |
| nirS | cd3aF | GTS AAC GTS AAG GAR ACS GG |
| R3cdR | GAS TTC GGR TGS GTC TTG A | |
| nosZ | NosF2 | GGG CTB GGG CCR TTG CA |
| NosR2 | GAA GCG RTC CTT SGA RAA CTT G |
Fig.1 Soil organic carbon and nitrogen content under treatments SOC, Soil organic carbon content; SMOC, Soil mineral-incorporated organic carbon content; SPOC, Soil particulate organic carbon content; SDOC, Soil dissolved organic carbon; STN, Soil total nitrogen content; SAN, Soil alkali-hydrolyzable nitrogen content; SNH 4 +-N, Soil ammonium nitrogen content; SNO 3 --N, Soil nitrate nitrogen content. The same as below.
| 处理 Treatment | 土壤深度 Soil depth/cm | 生物固氮潜势 Biological nitrogen fixation potential | 生物反硝化潜势 Biological denitrification potential |
|---|---|---|---|
| CK | 0~20 | 2.46±0.33 b | 4.06±0.23 a |
| >20~40 | 0.51±0.17 c | 1.22±0.03 c | |
| >40~60 | 0.14±0.04 d | 0.30±0.04 d | |
| ST | 0~20 | 3.08±0.03 a | 3.74±0.09 b |
| >20~40 | 0.66±0.06 c | 0.22±0.01 d | |
| >40~60 | 0.15±0.09 d | 0.18±0.01 d |
Table 2 Biological nitrogen fixation and denitrification potential at 0-60 cm soil layer under treatments μg·kg-1·d-1
| 处理 Treatment | 土壤深度 Soil depth/cm | 生物固氮潜势 Biological nitrogen fixation potential | 生物反硝化潜势 Biological denitrification potential |
|---|---|---|---|
| CK | 0~20 | 2.46±0.33 b | 4.06±0.23 a |
| >20~40 | 0.51±0.17 c | 1.22±0.03 c | |
| >40~60 | 0.14±0.04 d | 0.30±0.04 d | |
| ST | 0~20 | 3.08±0.03 a | 3.74±0.09 b |
| >20~40 | 0.66±0.06 c | 0.22±0.01 d | |
| >40~60 | 0.15±0.09 d | 0.18±0.01 d |
Fig.2 Abundance of nifH (a), nirS (b), nirK (c), nosZ (d) genes in 0-60 cm soil layer under treatments Abundance in the above figure is expressed as the common logarithm value of gene copies.
Fig.3 Correlation analysis of abundance of nifH (a), nirK (b), nirS (c) and nosZ (d) genes with soil carbon and nitrogen components “*” and “**” indicate significant correlation at p<0.05 and p<0.01, respectively. R2, Coefficient of determination.
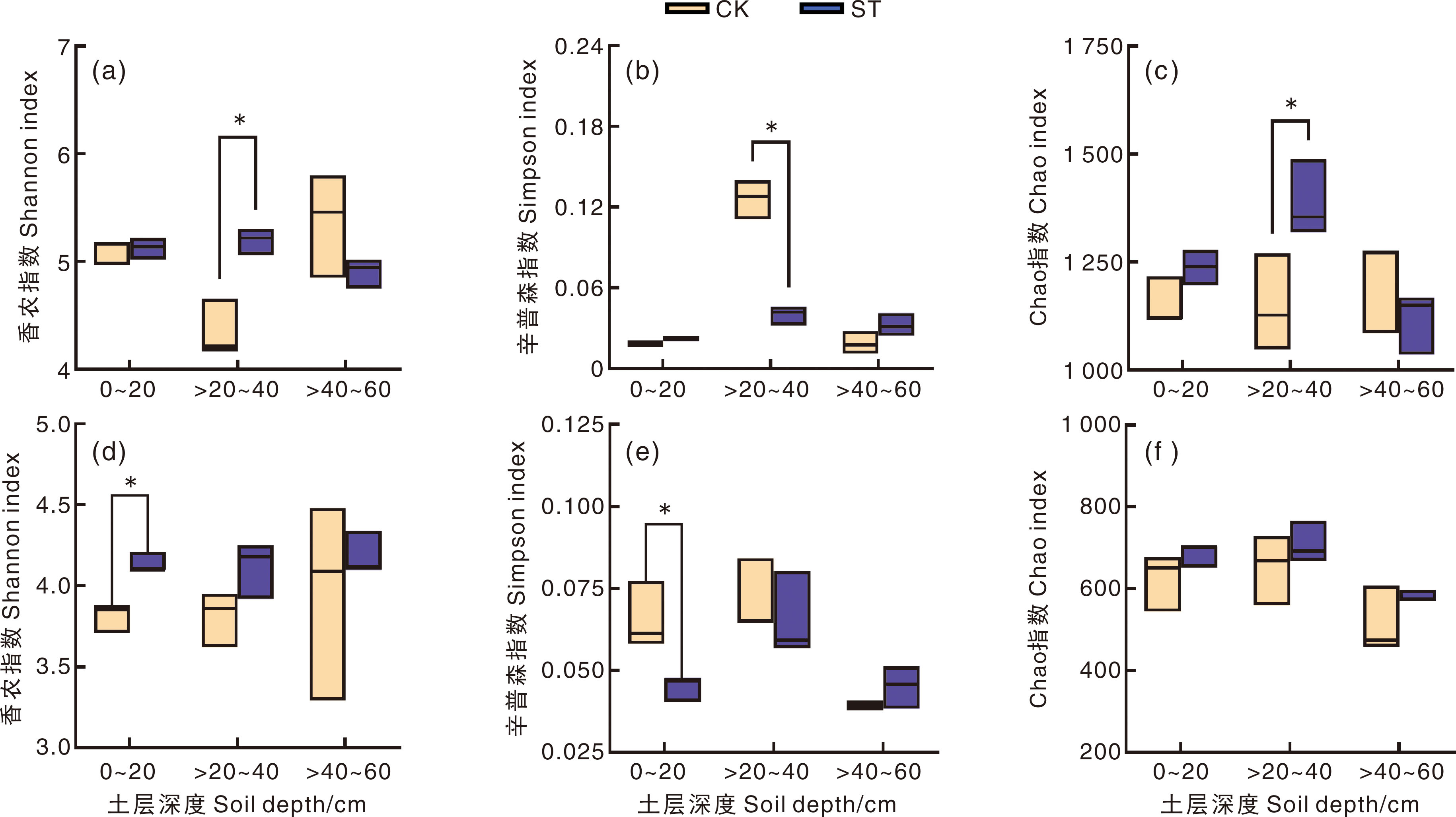
Fig.4 Alpha diversity index of soil nifH type nitrogen fixing bacteria (a, b, c) and nirS type denitrifying bacteria (d, e, f) “*” indicates significant difference at p<0.05.
Fig.5 Principal co-ordinates analysis (PcoA) of differences in population structure of nifH type nitrogen-fixing bacteria (a) and nirS type denitrifying bacteria (b) in soil PCoA1, Principle coordinate 1; PCoA2, Principle coordinate 2.
Fig.6 nifH nitrogen-fixing bacteria (a) and nirS denitrifying bacteria (b) with significant differences in 0-20,>20~40,>40~60 cm soil layers under treatments
Fig.7 Sequencing regression analysis (a, c) and correlation analysis (b, d) of soil cabon and nitrogen components with nifH type nitrogen-fixing bacteria (a, b) and nirS type denitrifying bacteria (c, d) population structure and main bacteria genera “*” “**” “***” indicate significant level of p<0.05, p<0.01, p<0.001, respectively.
Fig.8 Structural equation modelling (SEM) showing pathways between soil dissolved oraganic carbon (DOC) content, soil nitrogen fixation and denitrification bacterial abundance and community composition, and soil mineral nitrogen content df,Degree of freedom; RMSEA, Root mean square error of approximation; GFI, Goodness of fit; CFI, Comparative fitting index.
| [1] | 韩鲁佳, 闫巧娟, 刘向阳, 等. 中国农作物秸秆资源及其利用现状[J]. 农业工程学报, 2002, 18(3): 87-91. |
| HAN L J, YAN Q J, LIU X Y, et al. Straw resources and their utilization in China[J]. Transactions of the Chinese Society of Agricultural Engineering, 2002, 18(3): 87-91. (in Chinese with English abstract) | |
| [2] | LI H, CAO Y, WANG X M, et al. Evaluation on the production of food crop straw in China from 2006 to 2014[J]. BioEnergy Research, 2017, 10(3): 949-957. |
| [3] | 赵静. 中国农作物秸秆综合利用分析与对策[J]. 农业展望, 2019, 15(12): 121-124. |
| ZHAO J. Analysis and countermeasure of comprehensive utilization of crop straw in China[J]. Agricultural Outlook, 2019, 15(12): 121-124. (in Chinese with English abstract) | |
| [4] | KUYPERS M M M, MARCHANT H K, KARTAL B. The microbial nitrogen-cycling network[J]. Nature Reviews Microbiology, 2018, 16(5): 263-276. |
| [5] | GALLOWAY J N, TOWNSEND A R, ERISMAN J W, et al. Transformation of the nitrogen cycle: recent trends, questions, and potential solutions[J]. Science, 2008, 320(5878): 889-892. |
| [6] | SUN R B, GUO X S, WANG D Z, et al. Effects of long-term application of chemical and organic fertilizers on the abundance of microbial communities involved in the nitrogen cycle[J]. Applied Soil Ecology, 2015, 95: 171-178. |
| [7] | CHEN B Q, LIU E K, TIAN Q Z, et al. Soil nitrogen dynamics and crop residues: a review[J]. Agronomy for Sustainable Development, 2014, 34(2): 429-442. |
| [8] | KUMAR K, GOH K M. Nitrogen release from crop residues and organic amendments as affected by biochemical composition[J]. Communications in Soil Science and Plant Analysis, 2003, 34(17/18): 2441-2460. |
| [9] | 汪军, 王德建, 张刚, 等. 连续全量秸秆还田与氮肥用量对农田土壤养分的影响[J]. 水土保持学报, 2010, 24(5): 40-44. |
| WANG J, WANG D J, ZHANG G, et al. Effects of different nitrogen fertilizer rate with continuous full amount of straw incorporated on paddy soil nutrients[J]. Journal of Soil and Water Conservation, 2010, 24(5): 40-44. (in Chinese with English abstract) | |
| [10] | 赵鹏, 陈阜. 秸秆还田配施化学氮肥对冬小麦氮效率和产量的影响[J]. 作物学报, 2008, 34(6): 1014-1018. |
| ZHAO P, CHEN F. Effects of straw mulching plus nitrogen fertilizer on nitrogen efficiency and grain yield in winter wheat[J]. Acta Agronomica Sinica, 2008, 34(6): 1014-1018. (in Chinese with English abstract) | |
| [11] | SCHMIDT-ROHR K, MAO J D, OLK D C. Nitrogen-bonded aromatics in soil organic matter and their implications for a yield decline in intensive rice cropping[J]. Proceedings of the National Academy of Sciences of the United States of America, 2004, 101(17): 6351-6354. |
| [12] | 贾生强, 范惠珊, 陈喜靖, 等. 长期秸秆还田下土壤反硝化细菌群落的有机碳驱动机制[J]. 浙江农业学报, 2021, 33(9): 1686-1699. |
| JIA S Q, FAN H S, CHEN X J, et al. Driving mechanism of soil denitrifying bacterial community by soil organic carbon after long-term of straw return[J]. Acta Agriculturae Zhejiangensis, 2021, 33(9): 1686-1699. (in Chinese with English abstract) | |
| [13] | 张雅洁, 陈晨, 陈曦, 等. 小麦-水稻秸秆还田对土壤有机质组成及不同形态氮含量的影响[J]. 农业环境科学学报, 2015, 34(11): 2155-2161. |
| ZHANG Y J, CHEN C, CHEN X, et al. Effects of wheat and rice straw returning on soil organic matter composition and content of different nitrogen forms in soil[J]. Journal of Agro-Environment Science, 2015, 34(11): 2155-2161. (in Chinese with English abstract) | |
| [14] | 翟明振, 胡恒宇, 宁堂原, 等. 盐碱地玉米产量及土壤硝态氮对深松耕作和秸秆还田的响应[J]. 植物营养与肥料学报, 2020, 26(1): 64-73. |
| ZHAI M Z, HU H Y, NING T Y, et al. Response of maize yield and soil nitrate to deep plowing and straw return in saline-alkali soil[J]. Journal of Plant Nutrition and Fertilizers, 2020, 26(1): 64-73. (in Chinese with English abstract) | |
| [15] | YANG Y D, ZHAO J, JIANG Y, et al. Response of bacteria harboring nirS and nirK genes to different N fertilization rates in an alkaline northern Chinese soil[J]. European Journal of Soil Biology, 2017, 82: 1-9. |
| [16] | SU Y, HE Z C, YANG Y H, et al. Linking soil microbial community dynamics to straw-carbon distribution in soil organic carbon[J]. Scientific Reports, 2020, 10: 5526. |
| [17] | HENRIKSEN T M, BRELAND T A. Nitrogen availability effects on carbon mineralization, fungal and bacterial growth, and enzyme activities during decomposition of wheat straw in soil[J]. Soil Biology and Biochemistry, 1999, 31(8): 1121-1134. |
| [18] | FERREIRA M C, DE S ANDRADE D, DE O CHUEIRE L M, et al. Tillage method and crop rotation effects on the population sizes and diversity of bradyrhizobia nodulating soybean[J]. Soil Biology and Biochemistry, 2000, 32(5): 627-637. |
| [19] | 李贵桐, 赵紫娟, 黄元仿, 等. 秸秆还田对土壤氮素转化的影响[J]. 植物营养与肥料学报, 2002, 8(2): 162-167. |
| LI G T, ZHAO Z J, HUANG Y F, et al. Effect of straw returning on soil nitrogen transformation[J]. Plant Natrition and Fertilizen Science, 2002, 8(2): 162-167. (in Chinese with English abstract) | |
| [20] | WEI T, ZHANG P, WANG K, et al. Effects of wheat straw incorporation on the availability of soil nutrients and enzyme activities in semiarid areas[J]. PLoS One, 2015, 10(4): e0120994. |
| [21] | ZHANG P, CHEN X L, WEI T, et al. Effects of straw incorporation on the soil nutrient contents, enzyme activities, and crop yield in a semiarid region of China[J]. Soil and Tillage Research, 2016, 160: 65-72. |
| [22] | 陈娜, 刘毅, 黎娟, 等. 长期施肥对稻田不同土层反硝化细菌丰度的影响[J]. 中国环境科学, 2019, 39(5): 2154-2160. |
| CHEN N, LIU Y, LI J, et al. Effects of long-term fertilization on the abundance of the key denitrifiers in profile of paddy soil profiles[J]. China Environmental Science, 2019, 39(5): 2154-2160. (in Chinese with English abstract) | |
| [23] | TANG Y F, ZHANG M M, CHEN A L, et al. Impact of fertilization regimes on diazotroph community compositions and N2-fixation activity in paddy soil[J]. Agriculture, Ecosystems & Environment, 2017, 247: 1-8. |
| [24] | CHE R X, QIN J L, TAHMASBIAN I, et al. Litter amendment rather than phosphorus can dramatically change inorganic nitrogen pools in a degraded grassland soil by affecting nitrogen-cycling microbes[J]. Soil Biology and Biochemistry, 2018, 120: 145-152. |
| [25] | XIA Y H, CHEN X B, ZHENG S M, et al. Manure application accumulates more nitrogen in paddy soils than rice straw but less from fungal necromass[J]. Agriculture, Ecosystems & Environment, 2021, 319: 107575. |
| [26] | LIAO H K, LI Y Y, YAO H Y. Fertilization with inorganic and organic nutrients changes diazotroph community composition and N-fixation rates[J]. Journal of Soils and Sediments, 2018, 18(3): 1076-1086. |
| [27] | HAYNES R J, FRANCIS G S. Changes in microbial biomass C, soil carbohydrate composition and aggregate stability induced by growth of selected crop and forage species under field conditions[J]. Journal of Soil Science, 1993, 44(4): 665-675. |
| [28] | CAMBARDELLA C A, ELLIOTT E T. Particulate soil organic-matter changes across a grassland cultivation sequence[J]. Soil Science Society of America Journal, 1992, 56(3): 777-783. |
| [29] | NELSON D W, SOMMERS L E. Total carbon, organic carbon, and organic matter[M]// SPARK D L, PAGE A L, HELMKE P A, et al. Methods of soil analysis: part 3: chemical methods. Madison: Soil Science Society of America Inc., 1996. |
| [30] | 刘光崧. 土壤理化分析与剖面描述[M]. 北京: 中国标准出版社, 1996. |
| [31] | PAGE A L, MILLER R H, KEENEY D R. Methods of soil analysis: part 2: chemical and microbiological properties[M]. Madison: Soil Science Society of America Inc., 1982. |
| [32] | HSU S F, BUCKLEY D H. Evidence for the functional significance of diazotroph community structure in soil[J]. The ISME Journal, 2009, 3(1): 124-136. |
| [33] | KEUTER A, VELDKAMP E, CORRE M D. Asymbiotic biological nitrogen fixation in a temperate grassland as affected by management practices[J]. Soil Biology and Biochemistry, 2014, 70: 38-46. |
| [34] | WANG X J, LIU B J, MA J, et al. Soil aluminum oxides determine biological nitrogen fixation and diazotrophic communities across major types of paddy soils in China[J]. Soil Biology and Biochemistry, 2019, 131: 81-89. |
| [35] | WANG C, ZHENG M M, SONG W F, et al. Impact of 25 years of inorganic fertilization on diazotrophic abundance and community structure in an acidic soil in southern China[J]. Soil Biology and Biochemistry, 2017, 113: 240-249. |
| [36] | WEI Z J, SHAN J, CHAI Y C, et al. Regulation of the product stoichiometry of denitrification in intensively managed soils[J]. Food and Energy Security, 2020, 9(4): e251. |
| [37] | WU D, WEI Z J, WELL R, et al. Straw amendment with nitrate-N decreased N2O/(N2O+N2) ratio but increased soil N2O emission: a case study of direct soil-born N2 measurements[J]. Soil Biology and Biochemistry, 2018, 127: 301-304. |
| [38] | FOCHT D D, CHANG A C. Nitrification and denitrification processes related to waste water treatment[J]. Advances in Applied Microbiology, 1975, 19: 153-186. |
| [39] | 金科, 魏志军, 马小芳, 等. 环境因子对水稻土硝酸根异化还原过程速率和分配的影响[J]. 土壤学报, 2023, 60(4): 1035-1046. |
| JIN K, WEI Z J, MA X F, et al. Effects of environmental factors on rate and partitioning of dissimilatory nitrate reduction processes in paddy soils[J]. Acta Pedologica Sinica, 2023, 60(4): 1035-1046. (in Chinese with English abstract) | |
| [40] | 杨璐, 曾闹华, 白金顺, 等. 紫云英季土壤固氮微生物对外源碳氮投入的响应[J]. 中国农业科学, 2020, 53(1): 105-116. |
| YANG L, ZENG N H, BAI J S, et al. Responses of soil diazotroph community to rice straw, glucose and nitrogen addition during Chinese milk vetch growth[J]. Scientia Agricultura Sinica, 2020, 53(1): 105-116. (in Chinese with English abstract) | |
| [41] | YANG L, BAI J S, ZENG N H, et al. Diazotroph abundance and community structure are reshaped by straw return and mineral fertilizer in rice-rice-green manure rotation[J]. Applied Soil Ecology, 2019, 136: 11-20. |
| [42] | RAHAV E, GIANNETTO M J, BAR-ZEEV E. Contribution of mono and polysaccharides to heterotrophic N2 fixation at the eastern Mediterranean coastline[J]. Scientific Reports, 2016, 6: 27858. |
| [43] | WANG N, LUO J L, JUHASZ A L, et al. Straw decreased N2O emissions from flooded paddy soils via altering denitrifying bacterial community compositions and soil organic carbon fractions[J]. FEMS Microbiology Ecology, 2020, 96(5): fiaa046. |
| [44] | AKLUJKAR M, YOUNG N D, HOLMES D, et al. The genome of Geobacter bemidjiensis, exemplar for the subsurface clade of Geobacter species that predominate in Fe(III)-reducing subsurface environments[J]. BMC Genomics, 2010, 11(1): 490. |
| [45] | HE Q, SANFORD R A. Characterization of Fe(III) reduction by chlororespiring Anaeromyxobacter dehalogenans[J]. Applied and Environmental Microbiology, 2003, 69(5): 2712-2718. |
| [46] | SEVERIN I, BENTZON-TILIA M, MOISANDER P H, et al. Nitrogenase expression in estuarine bacterioplankton influenced by organic carbon and availability of oxygen[J]. FEMS Microbiology Letters, 2015, 362(14): fnv105. |
| [1] | XU Junyan, QIU Gaoyang, LIU Junli, GUO Bin, LI Hua, CHEN Xiaodong, WANG Yuan, FU Qinglin. Effects of montmorillonite, kaolinite and basalt on soil carbon sequestration [J]. Acta Agriculturae Zhejiangensis, 2024, 36(8): 1867-1877. |
| [2] | XIONG Rui, OUYANG Ning, OU Xi, ZHONG Kangyu, ZHOU Wentao, WANG Hongrui, LONG Pan, XU Ying, FU Zhiqiang. Effect of straw returning and tillage method on soil aggregates and carbon, nitrogen content in double-season rice [J]. Acta Agriculturae Zhejiangensis, 2024, 36(6): 1347-1356. |
| [3] | AI Ran, HE Jie, LIN Haizhong, WENG Liqing, CHEN Zhaoming, MA Junwei, WANG Qiang. Soil organic carbon content and structural characteristics in water bamboo fields with different cultivation time [J]. Acta Agriculturae Zhejiangensis, 2024, 36(11): 2558-2565. |
| [4] | WANG Jie, LU Ruohui, ZHU Weifeng, CHEN Yupei, SHAN Yingjie. Potential of straw returning as substitute for chemical fertilizer of main grain crops in Zhejiang Province, China [J]. Acta Agriculturae Zhejiangensis, 2023, 35(8): 1853-1863. |
| [5] | WANG Xintong, WAN Zuliang, YANG Zhenzhong, WANG Guojiao. Effects of rice straw returning to fields by wet harrow in autumn on leaf-soil ecological stoichiometry of rice at different growth stages [J]. Acta Agriculturae Zhejiangensis, 2023, 35(6): 1243-1252. |
| [6] | HUANG Zheng, ZHANG Rongping, MA Peng, ZHANG Qi, ZHOU Ningning, ASHEN Rigui, FENG Tingyu, ZHOU Lin. Effects of rape straw returning in winter paddy field and nitrogen fertilizer management on dry matter accumulation and yield of hybrid rice [J]. Acta Agriculturae Zhejiangensis, 2023, 35(5): 983-991. |
| [7] | LIU Yue, XU Weihui, WANG Zhigang. Screening and identification of soybean rhizosphere growth-promoting bacteria and their growth-promoting effects [J]. Acta Agriculturae Zhejiangensis, 2023, 35(12): 2775-2784. |
| [8] | HAO Liuliu, DAI Lili, PENG Liang, CHEN Siyuan, TAO Ling, LI Gu, ZHANG Hui. Active organic carbon, microbial community structure and their relationship in rice rhizosphere soil of rice-crayfish co-culture systems [J]. Acta Agriculturae Zhejiangensis, 2023, 35(12): 2901-2913. |
| [9] | ZHU Yating, NI Yuanzhi, ZHANG Min, WANG Zhenqi, SHEN Genxiang, HUANG Na. Effects of straw returning amount on methane emission from paddy fields in Shanghai, China [J]. Acta Agriculturae Zhejiangensis, 2023, 35(10): 2436-2445. |
| [10] | YU Bo, WANG Yuyan, REN Qin, DANG Yulei, ZHANG Zhipeng, WANG Yu. Effects of straw returning on soil structure and spring maize growth [J]. Acta Agriculturae Zhejiangensis, 2023, 35(10): 2446-2455. |
| [11] | ZHU Ming, LIU Chen, LIN Yicheng, GUO Bin, LI Hua, FU Qinglin. Effects of conditioning agents on soil fertility, microbial community diversity and rice yield in red soil [J]. Acta Agriculturae Zhejiangensis, 2022, 34(6): 1258-1267. |
| [12] | JIA Shengqiang, FAN Huishan, CHEN Xijing, YU Man, SHEN Alin, SU Yao. Driving mechanism of soil denitrifying bacterial community by soil organic carbon after long-term of straw return [J]. Acta Agriculturae Zhejiangensis, 2021, 33(9): 1686-1699. |
| [13] | JIAN Xing, ZHAI Xiaoyu, WANG Yu, CAI Yangyang. Influence of land use changes on soil total organic carbon and dissolved organic carbon in wetland [J]. , 2020, 32(3): 475-482. |
| [14] | WANG Baojun, CHENG Wangda, CHEN Gui, SHEN Yaqiang, ZHANG Hongmei. Effect of straw returning and nitrogen reduction on soil nutrition, carbon pool and rice yield in rice field [J]. , 2019, 31(4): 624-630. |
| [15] | GOU Liqiong, YAO Heng, WANG Ge, HUAGN Rucheng, DUAN Junhua, XIAO Jiujin, ZHANG Jian. Effects of different straw returning methods on cropland soil fauna community [J]. , 2019, 31(3): 450-457. |
| Viewed | ||||||
|
Full text |
|
|||||
|
Abstract |
|
|||||