Acta Agriculturae Zhejiangensis ›› 2025, Vol. 37 ›› Issue (10): 2129-2137.DOI: 10.3969/j.issn.1004-1524.20241075
• Plant Protection • Previous Articles Next Articles
LIU Shengnan1(
), ZHU Jianyi1, LI Ming2, ZHAO Haoyu1, XIONG Tao2, TANG Yonglu2, ZHOU Xiaogang1, LI Chaosu2,*(
)
Received:2024-12-11
Online:2025-10-25
Published:2025-11-13
CLC Number:
LIU Shengnan, ZHU Jianyi, LI Ming, ZHAO Haoyu, XIONG Tao, TANG Yonglu, ZHOU Xiaogang, LI Chaosu. Weed control efficacy and wheat yield in no-tillage rotary sowing after rice stubble[J]. Acta Agriculturae Zhejiangensis, 2025, 37(10): 2129-2137.
Add to citation manager EndNote|Ris|BibTeX
URL: http://www.zjnyxb.cn/EN/10.3969/j.issn.1004-1524.20241075
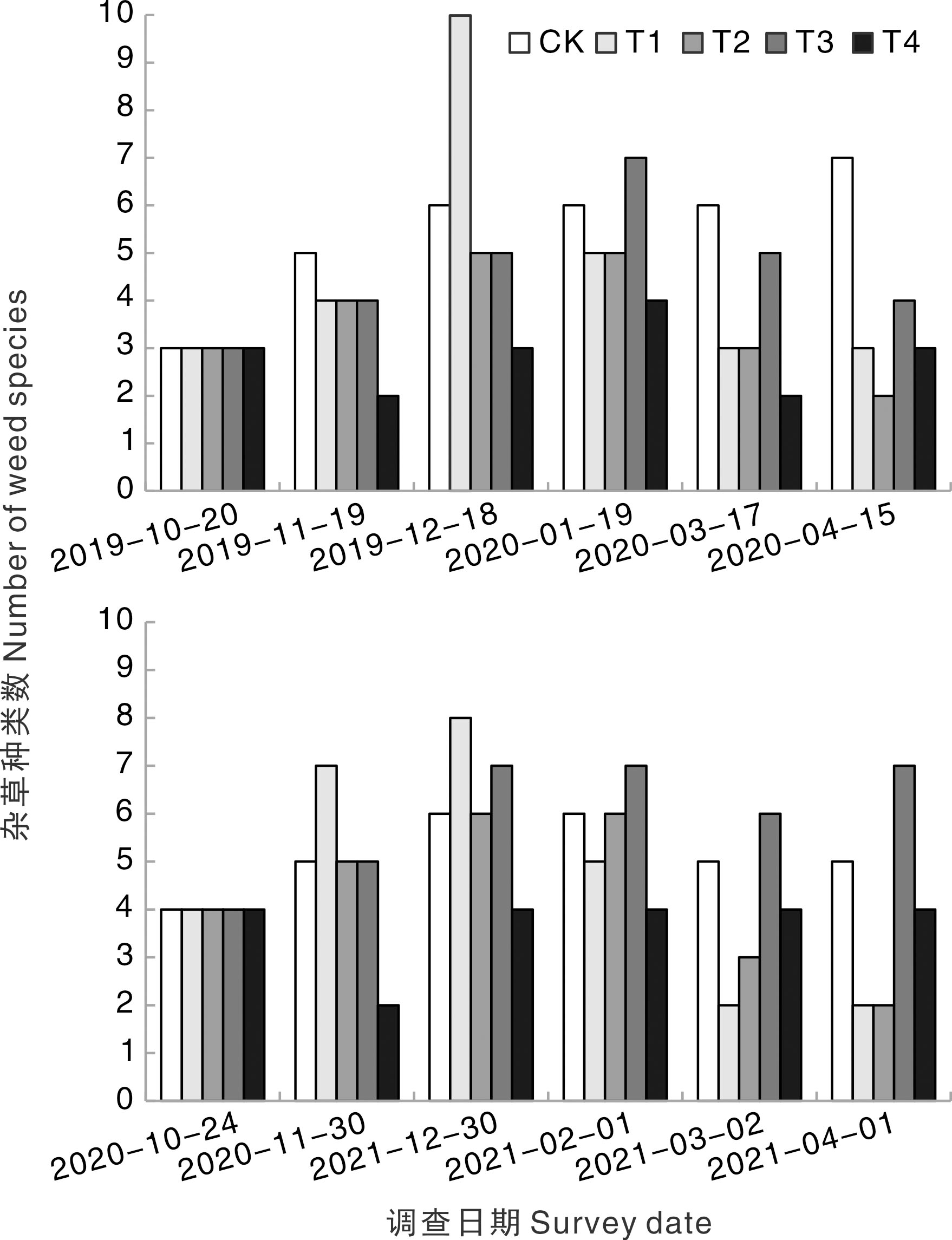
Fig.2 The total weed density under different treatments in 2020 (up) and 2021 (down) The absence of identical lowercase letters within the same survey across treatments indicates the significant (p<0.05) difference. The results from the second and third surveys conducted in 2020 do not differ significantly, showing consistent outcomes.
| 年份 Year | 调查时期 Survey period | 鲜重Fresh weight | |||
|---|---|---|---|---|---|
| 棒头草 Polypogon fugax | 猪殃殃 Galium spurium | 其他阔叶杂草 Other broad-leaved weeds | 总杂草 Total weeds | ||
| 2020 | ETS | 52.70±15.80 | 0.31±0.17 | 6.67±2.07 | 59.68±16.56 |
| EJS | 211.40±81.63 | 3.45±1.80 | 7.45±3.04 | 222.30±83.51 | |
| MS | 438.91±61.57 | 9.45±3.62 | 35.74±9.31 | 484.10±60.79 | |
| 2021 | ETS | 172.00±18.20 | 4.00±0.40 | 45.00±4.90 | 221.00±23.50 |
| EJS | 232.00±16.80 | 22.00±2.50 | 15.00±2.40 | 269.00±11.90 | |
| HS | 2 337.00±152.10 | 110.00±11.20 | 124.00±5.40 | 2 571.00±146.30 | |
Table 1 Weed fresh weight of control group g·m-2
| 年份 Year | 调查时期 Survey period | 鲜重Fresh weight | |||
|---|---|---|---|---|---|
| 棒头草 Polypogon fugax | 猪殃殃 Galium spurium | 其他阔叶杂草 Other broad-leaved weeds | 总杂草 Total weeds | ||
| 2020 | ETS | 52.70±15.80 | 0.31±0.17 | 6.67±2.07 | 59.68±16.56 |
| EJS | 211.40±81.63 | 3.45±1.80 | 7.45±3.04 | 222.30±83.51 | |
| MS | 438.91±61.57 | 9.45±3.62 | 35.74±9.31 | 484.10±60.79 | |
| 2021 | ETS | 172.00±18.20 | 4.00±0.40 | 45.00±4.90 | 221.00±23.50 |
| EJS | 232.00±16.80 | 22.00±2.50 | 15.00±2.40 | 269.00±11.90 | |
| HS | 2 337.00±152.10 | 110.00±11.20 | 124.00±5.40 | 2 571.00±146.30 | |
| 处理 Treatment | 年份 Year | 调查时期 Survey period | 防效Control efficacy | |||
|---|---|---|---|---|---|---|
| 棒头草 Polypogon fugax | 猪殃殃 Galium spurium | 其他阔叶杂草 Other broad-leaved weeds | 总杂草 Total weeds | |||
| T1 | 2020 | EJS | 70.53±11.88 b | 32.50±19.70 b | 90.77±10.94 a | 71.43±11.22 b |
| MS | 99.13±0.41 a | 95.79±8.45 a | 99.80±0.63 a | 99.11±0.25 a | ||
| 2021 | EJS | 70.69±2.34 a | 93.18±1.06 a | 100.00±0 a | 74.16±0.29 b | |
| HS | 98.03±0.45 a | 91.82±1.26 a | 100.00±0 a | 97.86±0.82 a | ||
| T2 | 2020 | ETS | 72.74±7.28 b | -377.33±76.64 a | 90.26±7.98 b | 72.91±7.57 b |
| EJS | 88.96±9.47 a | 97.08±6.23 a | 100.00±0 a | 89.63±8.46 a | ||
| MS | 99.12±0.25 a | 93.67±8.59 a | 100.00±0 a | 99.12±0.23 a | ||
| 2021 | ETS | 47.09±5.23 c | 37.50±4.30 c | 37.78±7.09 b | 45.02±1.87 c | |
| EJS | 74.57±8.73 b | 90.91±2.55 a | 60.00±3.67 b | 75.09±1.28 b | ||
| HS | 98.89±0.16 a | 93.64±1.53 a | 100.00±0 a | 98.72±0.65 a | ||
| T3 | 2020 | ETS | 45.20±20.54 c | -204.67±15.30 a | 78.21±15.77 c | 48.21±19.12 c |
| EJS | 41.73±21.44 c | -254.17±42.84 c | -59.09±23.11 b | 36.65±22.18 c | ||
| MS | 46.50±7.43 c | -6.07±10.11 b | 67.52±16.91 b | 46.90±6.34 c | ||
| 2021 | ETS | 72.67±13.78 b | 75.00±4.32 b | 97.78±2.22 a | 77.83±1.62 b | |
| EJS | 56.90±1.62 c | 27.27±8.60 b | 20.00±9.84 c | 52.42±2.92 c | ||
| HS | 13.56±7.04 c | 21.82±3.09 b | -8.87±13.58 b | 12.84±2.85 | ||
| T4 | 2020 | ETS | 97.06±2.80 a | -327.00±79.80 a | 100.00±0 a | 95.96±2.23 a |
| EJS | 88.00±5.85 a | -147.50±26.76 c | 98.89±3.51 a | 85.85±5.64 a | ||
| MS | 93.90±2.58 b | -42.05±15.27 b | 99.60±1.26 a | 91.96±2.76 b | ||
| 2021 | ETS | 99.42±0.25 a | 50.00±2.44 a | 100.00±0 a | 98.64±0.76 a | |
| EJS | 96.12±2.19 a | -40.91±19.94 c | 100.00±0 a | 85.13±1.80 a | ||
| HS | 88.02±2.73 b | 56.36±3.18 b | 90.32±2.94 a | 86.78±1.99 b | ||
Table 2 Weeds control efficacy under different treatments %
| 处理 Treatment | 年份 Year | 调查时期 Survey period | 防效Control efficacy | |||
|---|---|---|---|---|---|---|
| 棒头草 Polypogon fugax | 猪殃殃 Galium spurium | 其他阔叶杂草 Other broad-leaved weeds | 总杂草 Total weeds | |||
| T1 | 2020 | EJS | 70.53±11.88 b | 32.50±19.70 b | 90.77±10.94 a | 71.43±11.22 b |
| MS | 99.13±0.41 a | 95.79±8.45 a | 99.80±0.63 a | 99.11±0.25 a | ||
| 2021 | EJS | 70.69±2.34 a | 93.18±1.06 a | 100.00±0 a | 74.16±0.29 b | |
| HS | 98.03±0.45 a | 91.82±1.26 a | 100.00±0 a | 97.86±0.82 a | ||
| T2 | 2020 | ETS | 72.74±7.28 b | -377.33±76.64 a | 90.26±7.98 b | 72.91±7.57 b |
| EJS | 88.96±9.47 a | 97.08±6.23 a | 100.00±0 a | 89.63±8.46 a | ||
| MS | 99.12±0.25 a | 93.67±8.59 a | 100.00±0 a | 99.12±0.23 a | ||
| 2021 | ETS | 47.09±5.23 c | 37.50±4.30 c | 37.78±7.09 b | 45.02±1.87 c | |
| EJS | 74.57±8.73 b | 90.91±2.55 a | 60.00±3.67 b | 75.09±1.28 b | ||
| HS | 98.89±0.16 a | 93.64±1.53 a | 100.00±0 a | 98.72±0.65 a | ||
| T3 | 2020 | ETS | 45.20±20.54 c | -204.67±15.30 a | 78.21±15.77 c | 48.21±19.12 c |
| EJS | 41.73±21.44 c | -254.17±42.84 c | -59.09±23.11 b | 36.65±22.18 c | ||
| MS | 46.50±7.43 c | -6.07±10.11 b | 67.52±16.91 b | 46.90±6.34 c | ||
| 2021 | ETS | 72.67±13.78 b | 75.00±4.32 b | 97.78±2.22 a | 77.83±1.62 b | |
| EJS | 56.90±1.62 c | 27.27±8.60 b | 20.00±9.84 c | 52.42±2.92 c | ||
| HS | 13.56±7.04 c | 21.82±3.09 b | -8.87±13.58 b | 12.84±2.85 | ||
| T4 | 2020 | ETS | 97.06±2.80 a | -327.00±79.80 a | 100.00±0 a | 95.96±2.23 a |
| EJS | 88.00±5.85 a | -147.50±26.76 c | 98.89±3.51 a | 85.85±5.64 a | ||
| MS | 93.90±2.58 b | -42.05±15.27 b | 99.60±1.26 a | 91.96±2.76 b | ||
| 2021 | ETS | 99.42±0.25 a | 50.00±2.44 a | 100.00±0 a | 98.64±0.76 a | |
| EJS | 96.12±2.19 a | -40.91±19.94 c | 100.00±0 a | 85.13±1.80 a | ||
| HS | 88.02±2.73 b | 56.36±3.18 b | 90.32±2.94 a | 86.78±1.99 b | ||
| 处理 Treatment | 年份 Year | 产量 Yield/(kg·hm-2) | 穗数 Spikes/(104 hm-2) | 穗粒数 Kernels per spike | 千粒重 Thousand grain weight/g |
|---|---|---|---|---|---|
| CK | 2020 | 6 533.05±278.05 c | 324.56±27.27 b | 34.76±0.62 c | 47.31±0.17 a |
| 2021 | 6 704.15±328.99 b | 382.18±3.75 a | 39.99±2.01 a | 45.06±0.21 a | |
| T1 | 2020 | 6 914.99±217.14 b | 379.38±17.18 a | 35.10±0.07 c | 46.25±1.78 a |
| 2021 | 6 840.98±225.44 b | 397.18±35.57 a | 37.46±1.31 b | 44.36±0.47 a | |
| T2 | 2020 | 7 573.30±282.17 a | 400.29±15.73 a | 37.44±0.14 b | 47.62±0.05 a |
| 2021 | 7 231.46±243.21 a | 375.25±15.00 a | 40.12±0.69 a | 45.30±0.52 a | |
| T3 | 2020 | 6 650.65±266.45 bc | 339.93±7.36 b | 37.36±0.02 b | 48.23±0.80 a |
| 2021 | 6 813.67±218.29 b | 382.86±0.57 a | 39.70±1.59 ab | 44.65±1.29 a | |
| T4 | 2020 | 7 474.98±149.22 a | 378.84±8.45 a | 40.04±1.14 a | 47.07±1.34 a |
| 2021 | 7 224.06±207.71 a | 398.20±7.27 a | 40.29±0.30 a | 44.92±0.29 a |
Table 3 Wheat yield and its constituent factors under different treatments
| 处理 Treatment | 年份 Year | 产量 Yield/(kg·hm-2) | 穗数 Spikes/(104 hm-2) | 穗粒数 Kernels per spike | 千粒重 Thousand grain weight/g |
|---|---|---|---|---|---|
| CK | 2020 | 6 533.05±278.05 c | 324.56±27.27 b | 34.76±0.62 c | 47.31±0.17 a |
| 2021 | 6 704.15±328.99 b | 382.18±3.75 a | 39.99±2.01 a | 45.06±0.21 a | |
| T1 | 2020 | 6 914.99±217.14 b | 379.38±17.18 a | 35.10±0.07 c | 46.25±1.78 a |
| 2021 | 6 840.98±225.44 b | 397.18±35.57 a | 37.46±1.31 b | 44.36±0.47 a | |
| T2 | 2020 | 7 573.30±282.17 a | 400.29±15.73 a | 37.44±0.14 b | 47.62±0.05 a |
| 2021 | 7 231.46±243.21 a | 375.25±15.00 a | 40.12±0.69 a | 45.30±0.52 a | |
| T3 | 2020 | 6 650.65±266.45 bc | 339.93±7.36 b | 37.36±0.02 b | 48.23±0.80 a |
| 2021 | 6 813.67±218.29 b | 382.86±0.57 a | 39.70±1.59 ab | 44.65±1.29 a | |
| T4 | 2020 | 7 474.98±149.22 a | 378.84±8.45 a | 40.04±1.14 a | 47.07±1.34 a |
| 2021 | 7 224.06±207.71 a | 398.20±7.27 a | 40.29±0.30 a | 44.92±0.29 a |
| [1] | 张朝贤, 胡祥恩, 钱益新. 杂草密度与作物产量损失的预测模型[J]. 植物保护, 1997, 23(2): 6-10. |
| ZHANG C X, HU X E, QIAN Y X. A practicable model for predicting crop yield loss Duo to weed competition[J]. Plant Protection, 1997, 23(2): 6-10. (in Chinese) | |
| [2] | 田欣欣, 薄存瑶, 李丽, 等. 耕作措施对冬小麦田杂草生物多样性及产量的影响[J]. 生态学报, 2011, 31(10): 2768-2775. |
| TIAN X X, BO C Y, LI L, et al. Effects of different soil tillage systems on weed biodiversity and wheat yield in winter wheat (Triticum aestivum L.) field[J]. Acta Ecologica Sinica, 2011, 31(10): 2768-2775. (in Chinese with English abstract) | |
| [3] | 冒宇翔, 沈俊明, 王晓琳, 等. 不同耕作模式下麦田杂草发生规律[J]. 杂草学报, 2018, 36(3): 5-12. |
| MAO Y X, SHEN J M, WANG X L, et al. Weeds occurring in wheat fields under different tillage patterns[J]. Journal of Weed Science, 2018, 36(3): 5-12. (in Chinese with English abstract) | |
| [4] | 董立尧, 王豪, 高海涛, 等. 我国小麦田禾本科杂草对精噁唑禾草灵的抗药性研究进展[J]. 植物保护, 2023, 49(5): 303-315. |
| DONG L Y, WANG H, GAO H T, et al. Research progress on herbicide resistance of gramineous weeds against fenoxaprop-P-ethyl in wheat fields in China[J]. Plant Protection, 2023, 49(5): 303-315. (in Chinese with English abstract) | |
| [5] | 韦继光. 不同杂草管理模式对农田潜杂草群落动态影响的研究[D]. 南京: 南京农业大学, 2005. |
| WEI J G. Effects of different weed management models on the dynamics of potential weed community in farmland[D]. Nanjing: Nanjing Agricultural University, 2005. (in Chinese with English abstract) | |
| [6] | 黄杰, 康晓慧, 蒋欣东, 等. 不同轮作模式下减施农药化肥对小麦生产的影响[J]. 四川农业大学学报, 2023, 41(4): 609-618. |
| HUANG J, KANG X H, JIANG X D, et al. Effects of reduced application of pesticides and fertilizers on wheat production under different rotation patterns[J]. Journal of Sichuan Agricultural University, 2023, 41(4): 609-618. (in Chinese with English abstract) | |
| [7] | 曹涛, 王淘, 周高子, 等. 川西平原五种水旱轮作模式旱作季杂草群落特征[J]. 生态学报, 2024, 44(3): 1273-1283. |
| CAO T, WANG T, ZHOU G Z, et al. Weed community characteristics during upland crop season under five paddy-upland rotations in the western Sichuan Plain[J]. Acta Ecologica Sinica, 2024, 44(3): 1273-1283. (in Chinese with English abstract) | |
| [8] | 姚有梅. 稻茬麦田杂草发生与防除措施分析[J]. 安徽农学通报, 2024, 30(20): 81-84. |
| YAO Y M. Analysis of the occurrence and control measures of weeds in wheat field after rice[J]. Anhui Agricultural Science Bulletin, 2024, 30(20): 81-84. (in Chinese with English abstract) | |
| [9] | 周小刚, 朱建义, 陈庆华, 等. 四川省麦田杂草发生及其化学防除现状[J]. 杂草科学, 2012, 30(4): 21-25. |
| ZHOU X G, ZHU J Y, CHEN Q H, et al. Occurrence and chemical control status of weeds in wheat field in Sichuan Province[J]. Weed Science, 2012, 30(4): 21-25. (in Chinese with English abstract) | |
| [10] | 李明, 李朝苏, 刘淼, 等. 耕作播种方式对稻茬小麦根系发育、土壤水分和硝态氮含量的影响[J]. 应用生态学报, 2020, 31(5): 1425-1434. |
| LI M, LI C S, LIU M, et al. Effects of different tillage and sowing practices on root growth, soil moisture, and soil nitrate nitrogen content of wheat after rice[J]. Chinese Journal of Applied Ecology, 2020, 31(5): 1425-1434. (in Chinese with English abstract) | |
| [11] | LI C S, TANG Y L, MCHUGH A D, et al. Development and performance evaluation of a wet-resistant strip-till seeder for sowing wheat following rice[J]. Biosystems Engineering, 2022, 220: 146-158. |
| [12] | 游树立. 免少耕麦田杂草发生特点及药剂防除措施的研究[J]. 植保技术与推广, 1996, 16(4): 29-30. |
| YOU S L. Study on weed occurrence characteristics and chemical control measures in no-tillage wheat field[J]. China Plant Protection, 1996, 16(4): 29-30. (in Chinese) | |
| [13] | 高宗军, 李美, 高兴祥, 等. 不同耕作方式对冬小麦田杂草群落的影响[J]. 草业学报, 2011, 20(1): 15-21. |
| GAO Z J, LI M, GAO X X, et al. Effects of different tillages on weed communities in winter wheat fields[J]. Acta Prataculturae Sinica, 2011, 20(1): 15-21. (in Chinese with English abstract) | |
| [14] | 朱建义, 郑仕军, 赵浩宇, 等. 不同耕作方式对小麦田杂草发生规律及产量的影响[J]. 中国农学通报, 2018, 34(33): 12-16. |
| ZHU J Y, ZHENG S J, ZHAO H Y, et al. Tillage methods affecting weed occurrence regularity and yield of wheat[J]. Chinese Agricultural Science Bulletin, 2018, 34(33): 12-16. (in Chinese with English abstract) | |
| [15] | 张震, 曹亚蒙, 武建勇, 等. 不同耕作方式对冬小麦田杂草群落多样性的影响[J]. 生态与农村环境学报, 2019, 35(2): 210-216. |
| ZHANG Z, CAO Y M, WU J Y, et al. Effects of different tillage methods on weed community diversity in winter wheat fields[J]. Journal of Ecology and Rural Environment, 2019, 35(2): 210-216. (in Chinese with English abstract) | |
| [16] | 刘胜男, 汤永禄, 周小刚, 等. 免耕带旋播种的稻茬麦田杂草防控技术研究[J]. 四川农业科技, 2020(增刊):38-40. |
| LIU S N, TANG Y L, ZHOU X G, et al. Study on weed control technology in wheat field use innovative no-till seeding technology[J]. Sichuan Agricultural Science and Technology, 2020(supplement): 38-40. (in Chinese) | |
| [17] | 孙金秋, 任相亮, 胡红岩, 等. 农田杂草群落演替的影响因素综述[J]. 杂草学报, 2019, 37(2): 1-9. |
| SUN J Q, REN X L, HU H Y, et al. The factors influencing weed community succession in the crop field[J]. Journal of Weed Science, 2019, 37(2): 1-9. (in Chinese with English abstract) | |
| [18] | 王能伟, 葛秀丽, 李升东. 耕作和养分管理方式对冬小麦-夏玉米轮作农田春季杂草群落的影响[J]. 应用生态学报, 2017, 28(3): 871-876. |
| WANG N W, GE X L, LI S D. Impact of tillage and nutrient management practices on the spring weed community in a winter wheat-summer maize rotation farmland[J]. Chinese Journal of Applied Ecology, 2017, 28(3): 871-876. (in Chinese with English abstract) | |
| [19] | 李炳言, 董永义, 徐寿军, 等. 综合因素对麦类作物田杂草群落的影响[J]. 内蒙古民族大学学报(自然科学版), 2023, 38(4): 353-359. |
| LI B Y, DONG Y Y, XU S J, et al. The influence of comprehensive factors on weed community in wheat crop fields[J]. Journal of Inner Mongolia Minzu University(Natural Sciences), 2023, 38(4): 353-359. (in Chinese with English abstract) | |
| [20] | 王新玲, 马小艳, 姜伟丽, 等. 杂草与棉花的竞争作用[J]. 棉花学报, 2015, 27(5): 474-480. |
| WANG X L, MA X Y, JIANG W L, et al. Review on competition between weeds and cotton[J]. Cotton Science, 2015, 27(5): 474-480. (in Chinese with English abstract) | |
| [21] | 张峥, 卜德孝, 强胜. 不同稻田综合种养模式下杂草长期控制效果的调查[J]. 植物保护学报, 2022, 49(2): 693-704. |
| ZHANG Z, BU D X, QIANG S. A field investigation of long-term weed control via different types of rice-aquaculture integrated cultivations[J]. Journal of Plant Protection, 2022, 49(2): 693-704. (in Chinese with English abstract) | |
| [22] | MEHRIYA M L, YADAV V L, GEAT N. Herbicidal weed management in groundnut (Arachis hypogaea) and its residual effect on succeeding wheat (Triticum aestivum) crop[J]. Indian Journal of Agronomy, 2020, 65(3): 278-283. |
| [23] | 陈庆华, 周小刚, 郑仕军, 等. 四川省小麦田不同耕作方式下杂草的发生规律及防治[J]. 杂草科学, 2013, 31(3): 12-15. |
| CHEN Q H, ZHOU X G, ZHENG S J, et al. Weed occurrence and control by different tillage methods in wheat fields in Sichuan Province[J]. Weed Science, 2013, 31(3): 12-15. (in Chinese with English abstract) | |
| [24] | 解静, 宁国云, 徐晨杰, 等. 不同除草剂品种与除草技术模式对小麦田杂草的防效比较[J]. 农药科学与管理, 2023, 44(11): 52-57. |
| XIE J, NING G Y, XU C J, et al. Comparison of the weed control effects of different herbicide varieties and weed control techniques in wheat fields[J]. Pesticide Science and Administration, 2023, 44(11): 52-57. (in Chinese with English abstract) | |
| [25] | 李可懿, 范美娟, 翟春花, 等. 不同时期施药对冬小麦田间杂草防除效果的影响[J]. 杂草学报, 2020, 38(4): 69-73. |
| LI K Y, FAN M J, ZHAI C H, et al. Effect of herbicide time of application on weed control in winter wheat[J]. Journal of Weed Science, 2020, 38(4): 69-73. (in Chinese with English abstract) | |
| [26] | 马小艳, 马艳, 奚建平, 等. 豫北露地直播棉田杂草的发生及其与棉花的竞争作用[J]. 棉花学报, 2012, 24(1): 91-96. |
| MA X Y, MA Y, XI J P, et al. Mixed weeds and competition with directly seeded cotton, north Henan Province, China[J]. Cotton Science, 2012, 24(1): 91-96. (in Chinese with English abstract) | |
| [27] | 房锋, 魏代平, 李美, 等. 不同密度大穗看麦娘对小麦产量的影响[J]. 山东农业科学, 2017, 49(8): 119-123. |
| FANG F, WEI D P, LI M, et al. Effects of different densities of Alopecurus myosuroides on wheat yield[J]. Shandong Agricultural Sciences, 2017, 49(8): 119-123. (in Chinese with English abstract) | |
| [28] | 郭云忠, 胡杰, 李思娟, 等. 陕西关中灌区麦田杂草发生规律及防治指标[J]. 杂草学报, 2021, 39(1): 38-42. |
| GUO Y Z, HU J, LI S J, et al. Occurrence and economic control threshold of weeds in wheat in the Guanzhong irrigation area of Shaanxi Province[J]. Journal of Weed Science, 2021, 39(1): 38-42. (in Chinese with English abstract) | |
| [29] | 廖平强, 陈国奇, 刘光明, 等. 不同密度异型莎草和水苋菜对水稻产量及稻米加工、外观品质的影响[J]. 浙江农业学报, 2022, 34(11): 2348-2357. |
| LIAO P Q, CHEN G Q, LIU G M, et al. Effects of different density of Cyperus difformis and Ammannia baccifera on rice yield, processing and appearance quality[J]. Acta Agriculturae Zhejiangensis, 2022, 34(11): 2348-2357. (in Chinese with English abstract) | |
| [30] | 田志慧, 陆俊尧, 袁国徽, 等. 千金子与异型莎草对直播水稻产量的影响及其生态经济阈值研究[J]. 中国生态农业学报(中英文), 2020, 28(3): 328-336. |
| TIAN Z H, LU J Y, YUAN G H, et al. Effects and eco-economic thresholds of Leptochloa chinensis and Cyperus difformis on the yield of direct-seeding rice[J]. Chinese Journal of Eco-Agriculture, 2020, 28(3): 328-336. (in Chinese with English abstract) | |
| [31] | 高兴祥, 李美, 刘士国, 等. 小麦田不同杂草群落及防除时间对小麦产量的影响[J]. 植物保护学报, 2018, 45(4): 908-914. |
| GAO X X, LI M, LIU S G, et al. The influence of different weed populations and control time on wheat yield in Shandong[J]. Journal of Plant Protection, 2018, 45(4): 908-914. (in Chinese with English abstract) |
| [1] | WU Ju, YANG Fei, WU Guoquan, FU Xian, XU Chenguang. Effects of sand culture and soil culture on growth, yield, and quality of cucumber (Cucumis sativus L.) [J]. Acta Agriculturae Zhejiangensis, 2025, 37(9): 1905-1913. |
| [2] | ZHU Weijing, WU Jia, HONG Chunlai, ZHU Fengxiang, HONG Leidong, ZHANG Tao, ZHANG Shuo, ZHU Huifen. Effects of straw mulching on water, heat, fertility status of soil and yield and quality of flat peach [J]. Acta Agriculturae Zhejiangensis, 2025, 37(9): 1924-1932. |
| [3] | ZHANG Zhiying, QIU Qin, HOU Lijuan, XU Ping, JIANG Ning, LIN Jinsheng, LI Huiping, QU Shaoxuan, MA Lin, WANG Weixia, LI Fuhou. Evaluation on the safety of insecticides application on Pleurotus pulmonarius and Auricularia cornea [J]. Acta Agriculturae Zhejiangensis, 2025, 37(8): 1733-1742. |
| [4] | YAN Fulin, LANG Yunhu, JIAN Yingquan, CHEN Xiongfei, WEI Wei, WANG Zhiwei, AN Jiangyong, REN Deqiang, DING Ning, WEI Shenghua. Response of yield and quality of Radix Ardisia to soil physiochemical properties [J]. Acta Agriculturae Zhejiangensis, 2025, 37(8): 1766-1775. |
| [5] | ZHANG Zhi, HE Haohao, YU Miao, XU Jianfeng. Effects of chemical fertilizer reduction combined with soil conditioner on soil acidity, soil nutrients and rice yield [J]. Acta Agriculturae Zhejiangensis, 2025, 37(6): 1301-1308. |
| [6] | LIN Xiaobing, LI Jiang, CHENG Yanhong, WANG Binqiang, HE Shaolang, HUANG Shangshu, HUANG Qianru. Effects of organic materials on soil microbial biomass, mineral nitrogen content and rice yield [J]. Acta Agriculturae Zhejiangensis, 2025, 37(6): 1309-1318. |
| [7] | DONG Zhichao, YUE Ningyan, LYU Wei, YU Xiaoyi, ZHENG Kaiwen, SONG Haixing, CHEN Haifei. Differential responses of yield, quality, and nitrogen use efficiency to nitrogen application rate in high- and low-oil content rapeseed varieties [J]. Acta Agriculturae Zhejiangensis, 2025, 37(5): 998-1008. |
| [8] | LI Yancui, LI Fuqiang, ZHOU Bo. Effects of deficit irrigation at different growth stages on photosynthetic characteristics, yield and quality of Astragalus membranaceus var. mongholicus [J]. Acta Agriculturae Zhejiangensis, 2025, 37(4): 779-789. |
| [9] | QIN Yukun, CHEN Junying, WANG Yuping, ZHANG Lijuan. Effects of reducing nitrogen and increasing carbon on cotton production and nitrogen absorption and utilization in the Yangtze River Basin of China [J]. Acta Agriculturae Zhejiangensis, 2025, 37(4): 869-879. |
| [10] | YING Yongfei, HAN Dongxuan, MENG Fang, YU Lin, SHEN Jialuan, WANG Kaiying. Effects of biogas slurry substituting chemical fertilizer on rice yield and quality and soil characteristics [J]. Acta Agriculturae Zhejiangensis, 2025, 37(4): 880-891. |
| [11] | WAN Shaoyuan, LIU Xianbo, CAI Shuo, SHI Hong, CHENG Jie. Effect of irrigation and planting methods on the yield and quality of double-cropping rice [J]. Acta Agriculturae Zhejiangensis, 2025, 37(2): 257-268. |
| [12] | LI Can, YANG Ting, SUN Yiming, CHEN Hongliang, CUI Qi, SHEN Xiaoxia. Selection and evaluation of superior germplasm resources of Rubus chingii Hu [J]. Acta Agriculturae Zhejiangensis, 2025, 37(2): 349-364. |
| [13] | LI Jianqiang, WEI Qianqian, LIU Xiaoxia, ZHANG Junhua, ZHU Chunquan. Effects of optimizing fertilization methods on rice yield and soil nutrient balance [J]. Acta Agriculturae Zhejiangensis, 2025, 37(2): 438-446. |
| [14] | HAN Xiao, LIU Xujie, SHI Lyu, ZHANG Jin, SHAN Haiyong, SHI Xiaoxu, YAN Yini, LIU Jian, XUE Yaguang. Effects of reduced application of controlled-release nitrogen fertilizer on rice yield, quality and nitrogen fertilizer utilization efficiency under concentrated coverage of wheat straw between rows for returning to field [J]. Acta Agriculturae Zhejiangensis, 2025, 37(1): 1-13. |
| [15] | LI Tengfei, YANG Guiling, RUAN Meiying, CHU Tianfen, QIN Hua, DENG Meihua. Effects of fertilizer and pesticide managements on soil health and tomato qualities in greenhouse tomato cultivation [J]. Acta Agriculturae Zhejiangensis, 2025, 37(1): 145-158. |
| Viewed | ||||||
|
Full text |
|
|||||
|
Abstract |
|
|||||