浙江农业学报 ›› 2026, Vol. 38 ›› Issue (1): 114-125.DOI: 10.3969/j.issn.1004-1524.20250361
郭冉冉1(
), 徐珂1, 李正鹏2, 严清彪2, 李蓉2, 韩梅2,*(
)
收稿日期:2025-05-06
出版日期:2026-01-25
发布日期:2026-02-11
作者简介:郭冉冉,主要从事作物栽培与土壤养分研究。E-mail:501248348@qq.com
通讯作者:
韩梅,E-mail:hanmei20061234@sina.com
基金资助:
GUO Ranran1(
), XU Ke1, LI Zhengpeng2, YAN Qingbiao2, LI Rong2, HAN Mei2,*(
)
Received:2025-05-06
Online:2026-01-25
Published:2026-02-11
摘要:
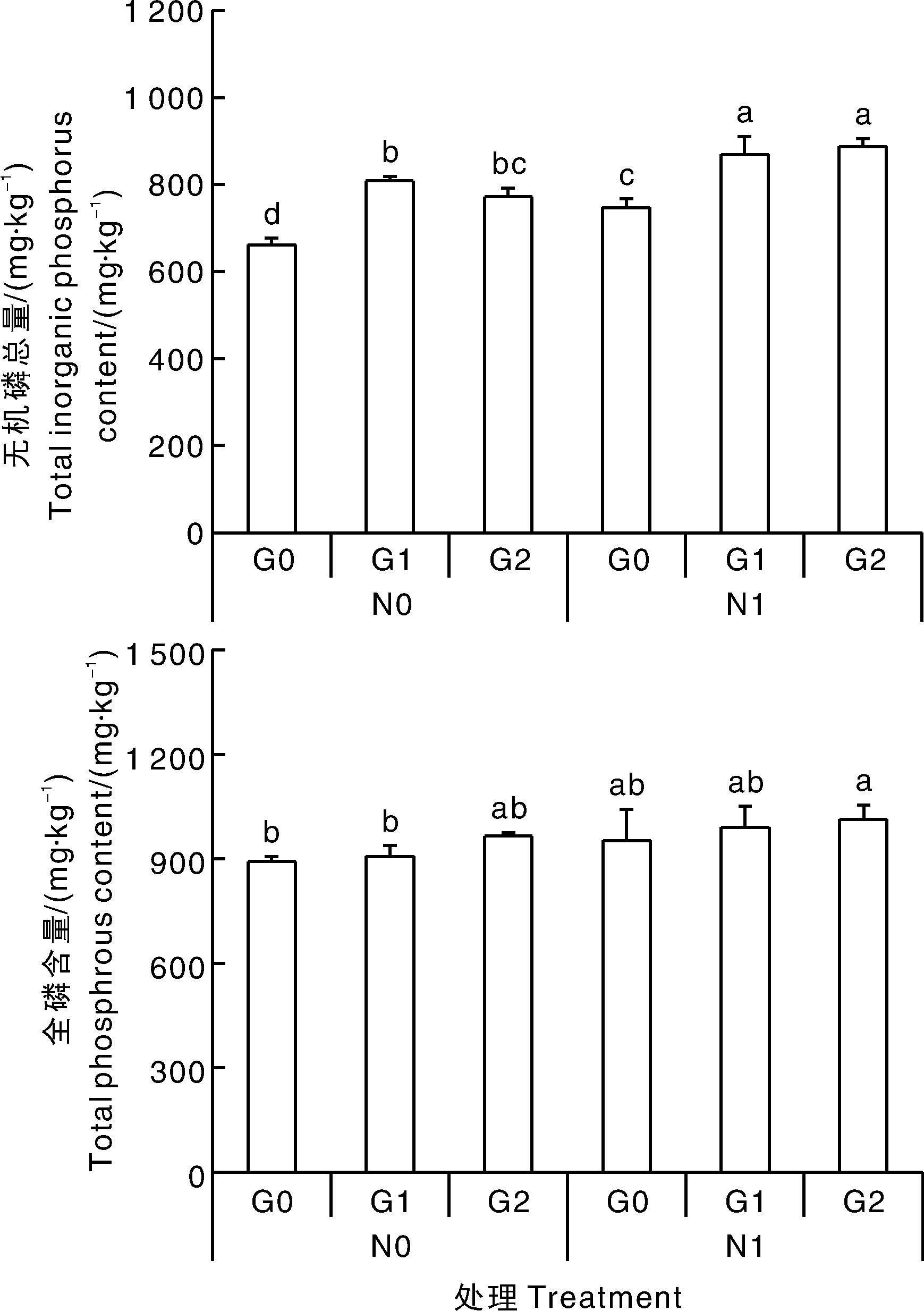
为探究绿肥还田对土壤无机磷组分及小麦磷吸收的影响,开展裂区试验,主区为施肥水平——不施化肥(N0)、施化肥(N1,N 157.5 kg·hm-2+P2O5 78.75 kg·hm-2),副区为绿肥还田方式——不种绿肥(G0)、绿肥留根茬还田(G1)、绿肥翻压还田(G2)。于2024年7月小麦收获后,检测土壤全磷、有效磷及各无机磷组分的含量,土壤磷酸酶活性,小麦产量和小麦各部分的磷素积累量。 结果表明,绿肥还田可提高土壤无机磷含量: 与N1G0处理相比,N1G1、N1G2处理的土壤无机磷总量分别显著(p<0.05)提升16.4%和18.9%;与N0G0比较,N0G1、N0G2处理的土壤无机磷总量分别显著提升39.6%和21.5%。与N1G0比较,N1G2处理的二钙磷(Ca2-P)、八钙磷(Ca8-P)、十钙磷(Ca10-P)、铝结合态磷(Al-P)、闭蓄态磷(O-P)含量分别显著增加25.6%、48.8%、11.9%、16.3%、19.3%,N1G1处理的Ca8-P、Ca10-P、O-P含量分别显著增加53.3%、10.6%、19.5%。配施化肥条件下,绿肥还田显著增强土壤中性、酸性磷酸酶活性:与N1G0处理相比,N1G1、N1G2处理的中性磷酸酶活性分别提高3.3%、4.5%,酸性磷酸酶活性分别提高19.3%、31.2%。不施化肥条件下,与N0G0处理相比,N0G2处理的碱性、中性、酸性磷酸酶活性分别显著提高21.7%、6.0%、50.8%,N0G1处理的酸性磷酸酶活性显著提高12.0%。绿肥还田可以显著提高小麦产量:与N1G0比较,N1G1、N1G2处理的小麦产量分别提升5.8%和8.7%;与N0G0处理相比,N0G1、N0G2处理的小麦产量分别提升83.0%和84.3%。此外,适宜的绿肥还田还能促进小麦扬花期、成熟期各部分的磷素积累。综上,绿肥还田可通过优化土壤无机磷组分、增强土壤磷酸酶活性来促进小麦对磷的吸收,从而实现小麦产量与磷素吸收的协同提升。本试验条件下,绿肥翻压还田配施化肥是在青海地区提高土壤磷素有效性、促进小麦生长的最佳绿肥还田模式。
中图分类号:
郭冉冉, 徐珂, 李正鹏, 严清彪, 李蓉, 韩梅. 绿肥还田对土壤无机磷组分及小麦磷吸收的影响[J]. 浙江农业学报, 2026, 38(1): 114-125.
GUO Ranran, XU Ke, LI Zhengpeng, YAN Qingbiao, LI Rong, HAN Mei. Effects of green manure returning methods on soil inorganic phosphorus fractions and phosphorus uptake by wheat[J]. Acta Agriculturae Zhejiangensis, 2026, 38(1): 114-125.
图2 不同处理下土壤的有机质含量 柱上无相同小写字母的表示差异显著(p<0.05)。下同。
Fig.2 Soil organic matter content under treatments Bars marked without the same letters indicate significant difference at p<0.05. The same as below.
图4 不同处理下土壤各无机磷组分的含量 Ca2-P,二钙磷;Ca8-P,八钙磷;Fe-P,铁结合态磷;O-P,闭蓄态磷;Al-P,铝结合态磷;Ca10-P,十钙磷。下同。
Fig.4 Content of soil inorganic phosphorus fractions under different treatments Ca2-P, Dicalcium phosphate; Ca8-P, Octa calcium phosphate; Fe-P, Iron-bound phosphate; O-P, Occluded phosphorus; Al-P, Aluminum-bound phosphate; Ca10-P, Apatite. The same as below.
| 处理 Treatment | 不同部分的磷素积累量 Phosphorus accumulation in different parts | ||
|---|---|---|---|
| 叶片 Leaf | 叶鞘+茎 Sheath and stem | 颖壳+穗轴 Husk and spike axis | |
| N0G0 | 2.80±0.14 c | 8.57±1.09 e | 6.06±1.05 c |
| N0G1 | 3.62±0.36 bc | 12.15±1.01 cd | 8.05±0.16 b |
| N0G2 | 4.38±0.06 b | 14.83±1.52 b | 9.16±0.40 a |
| N1G0 | 3.36±0.31 c | 11.75±0.76 d | 6.48±0.21 c |
| N1G1 | 4.42±0.51 b | 13.95±1.16 bc | 6.89±0.18 c |
| N1G2 | 5.44±0.87 a | 16.90±0.96 a | 9.30±0.20 a |
表1 不同处理小麦扬花期各部分的磷素积累量
Table 1 Phosphorus accumulation in different parts of wheat under different treatments at the flowering stage kg·hm-2
| 处理 Treatment | 不同部分的磷素积累量 Phosphorus accumulation in different parts | ||
|---|---|---|---|
| 叶片 Leaf | 叶鞘+茎 Sheath and stem | 颖壳+穗轴 Husk and spike axis | |
| N0G0 | 2.80±0.14 c | 8.57±1.09 e | 6.06±1.05 c |
| N0G1 | 3.62±0.36 bc | 12.15±1.01 cd | 8.05±0.16 b |
| N0G2 | 4.38±0.06 b | 14.83±1.52 b | 9.16±0.40 a |
| N1G0 | 3.36±0.31 c | 11.75±0.76 d | 6.48±0.21 c |
| N1G1 | 4.42±0.51 b | 13.95±1.16 bc | 6.89±0.18 c |
| N1G2 | 5.44±0.87 a | 16.90±0.96 a | 9.30±0.20 a |
| 处理 Treatment | 不同部分的磷素积累量Phosphorus accumulation in different parts | |||
|---|---|---|---|---|
| 叶片 Leaf | 叶鞘+茎 Sheath and stem | 颖壳+穗轴 Husk and spike axis | 籽粒 Grain | |
| N0G0 | 0.44±0.07 d | 1.81±0.24 b | 0.65±0.03 d | 8.75±0.57 c |
| N0G1 | 0.72±0.02 c | 2.35±0.11 b | 2.20±0.12 b | 9.74±1.04 c |
| N0G2 | 1.02±0.07 b | 1.76±0.06 b | 2.00±0.13 c | 17.30±1.03 b |
| N1G0 | 0.51±0.14 cd | 1.03±0.45 b | 0.56±0.18 d | 9.62±1.61 c |
| N1G1 | 1.29±0.19 a | 5.48±0.60 a | 2.62±0.29 a | 26.81±5.17 a |
| N1G2 | 1.41±0.14 a | 5.66±0.71 a | 2.84±0.12 a | 29.45±8.14 a |
表2 不同处理小麦成熟期各部分的磷素积累量
Table 2 Phosphorus accumulation in different parts of wheat under different treatments at the maturity stage kg·hm-2
| 处理 Treatment | 不同部分的磷素积累量Phosphorus accumulation in different parts | |||
|---|---|---|---|---|
| 叶片 Leaf | 叶鞘+茎 Sheath and stem | 颖壳+穗轴 Husk and spike axis | 籽粒 Grain | |
| N0G0 | 0.44±0.07 d | 1.81±0.24 b | 0.65±0.03 d | 8.75±0.57 c |
| N0G1 | 0.72±0.02 c | 2.35±0.11 b | 2.20±0.12 b | 9.74±1.04 c |
| N0G2 | 1.02±0.07 b | 1.76±0.06 b | 2.00±0.13 c | 17.30±1.03 b |
| N1G0 | 0.51±0.14 cd | 1.03±0.45 b | 0.56±0.18 d | 9.62±1.61 c |
| N1G1 | 1.29±0.19 a | 5.48±0.60 a | 2.62±0.29 a | 26.81±5.17 a |
| N1G2 | 1.41±0.14 a | 5.66±0.71 a | 2.84±0.12 a | 29.45±8.14 a |
图8 土壤各形态无机磷含量、磷酸酶活性与小麦籽粒磷素积累量的相关性 SOM、S-NP、S-ACP、S-ALP、TP、G分别表示土壤有机质含量、中性磷酸酶活性、酸性磷酸酶活性、碱性磷酸酶活性、全磷含量,及成熟期籽粒磷素积累量。“*”“**”“***”分别表示在p<0.05、p<0.01、p<0.001水平上显著相关。
Fig.8 Correlation among content of soil inorganic phosphorus fractions, soil phosphatase activity, and phosphorus accumulation in grains SOM, S-NP, S-ACP, S-ALP, TP, G represent soil organic matter content, neutral phosphatase activity, acid phosphatase activity, alkaline phosphatase activity, total phosphorus content, and phosphorus accumulation in grains. “*” “**” “***” indicate significant correlation at p<0.05, p<0.01 and p<0.001 level, respectively.
| [1] | 李雪萌, 杨梅, 秦保平, 等. 施氮量对强筋小麦物质积累与籽粒产量的影响[J]. 麦类作物学报, 2023, 43(5): 609-622. |
| LI X M, YANG M, QIN B P, et al. Effect of nitrogen application rate on matter accumulation and grain yield of strong gluten wheat[J]. Journal of Triticeae Crops, 2023, 43(5): 609-622. | |
| [2] | LI J B, XIE T, ZHU H, et al. Alkaline phosphatase activity mediates soil organic phosphorus mineralization in a subalpine forest ecosystem[J]. Geoderma, 2021, 404: 115376. |
| [3] | CARROLL P, VANCE C U. Phosphorus acquisition and use: critical adaptations by plants for securing a nonrenewable resource[J]. The New Phytologist, 2003, 157(3): 423-447. |
| [4] | 贾子颖, 白阳, 李刚, 等. 磷素水平对小麦突变体农艺性状和品质特性的影响[J]. 麦类作物学报, 2023, 43(7): 883-892. |
| JIA Z Y, BAI Y, LI G, et al. Effect of different phosphorus levels on agronomic traits and quality characteristics of wheat mutants[J]. Journal of Triticeae Crops, 2023, 43(7): 883-892. | |
| [5] | ZHANG H Z, CHEN C R, GRAY E M, et al. Roles of biochar in improving phosphorus availability in soils: a phosphate adsorbent and a source of available phosphorus[J]. Geoderma, 2016, 276: 1-6. |
| [6] | 邓鹏志, 袁硕, 唐继伟, 等. 化肥减施下磷肥运筹对越冬长茬番茄生长和磷利用率的影响[J]. 华北农学报, 2024, 39(4): 162-169. |
| DENG P Z, YUAN S, TANG J W, et al. Effect of different phosphorus fertilizer application pattern on the growth and phosphorus fertilizer utilization of long-season tomato in greenhouse under reduced fertilizer application[J]. Acta Agriculturae Boreali-Sinica, 2024, 39(4): 162-169. | |
| [7] | LI Z, WANG F W, BAI T S, et al. Lead immobilization by geological fluorapatite and fungus Aspergillus niger[J]. Journal of Hazardous Materials, 2016, 320: 386-392. |
| [8] | MACDONALD G K, BENNETT E M, POTTER P A, et al. Agronomic phosphorus imbalances across the world’s croplands[J]. Proceedings of the National Academy of Sciences of the United States of America, 2011, 108(7): 3086-3091. |
| [9] | LI J M, DU A P, LIU P H, et al. High starch accumulation mechanism and phosphorus utilization efficiency of duckweed (Landoltia punctata) under phosphate starvation[J]. Industrial Crops and Products, 2021, 167: 113529. |
| [10] | 殷熙悦, 殷文, 樊志龙, 等. 绿肥还田及减施氮肥对绿洲灌区小麦产量和土壤CO2、N2O排放的影响[J]. 甘肃农业大学学报, 2022, 57(1): 48-55. |
| YIN X Y, YIN W, FAN Z L, et al. Effects of returning green manure and reducing nitrogen fertilizer application on yield and soil CO2 and N2O emissions of wheat field in oasis irrigation area[J]. Journal of Gansu Agricultural University, 2022, 57(1): 48-55. | |
| [11] | 常单娜, 陈子英, 韩梅, 等. 毛叶苕子磷获取特征及根际特性的基因型差异[J]. 草业学报, 2024, 33(4): 122-134. |
| CHANG D N, CHEN Z Y, HAN M, et al. Differences in phosphorus acquisition characteristics and rhizosphere properties among different hairy vetch genotypes[J]. Acta Prataculturae Sinica, 2024, 33(4): 122-134. | |
| [12] | 杨利宁, 敖特根·白银, 李秋凤, 等. 苜蓿根系分泌物对土壤中难溶性磷的影响[J]. 草业科学, 2015, 32(8): 1216-1221. |
| YANG L N, AOTEGEN B, LI Q F, et al. Effects of alfalfa root exudates on insoluble phosphorus in soil[J]. Pratacultural Science, 2015, 32(8): 1216-1221. | |
| [13] | KUSHWAHA A, HANS N, KUMAR S, et al. A critical review on speciation, mobilization and toxicity of lead in soil-microbe-plant system and bioremediation strategies[J]. Ecotoxicology and Environmental Safety, 2018, 147: 1035-1045. |
| [14] | 朱娜, 王富华, 王琳, 等. 绿肥对土壤的改良作用研究进展[J]. 农村经济与科技, 2014, 25(7): 13-14. |
| ZHU N, WANG F H, WANG L, et al. Research progress on the improvement of green manure on soil[J]. Rural Economy and Science-Technology, 2014, 25(7): 13-14. | |
| [15] | 张婷. 稻草不同处理方式对滨海盐渍型水稻土磷钾组分的影响[D]. 沈阳: 沈阳农业大学, 2018. |
| ZHANG T. Effect of different rice straw treatment methods on the component of phosphorus and potassium in coastal saline soil[D]. Shenyang: Shenyang Agricultural University, 2018. | |
| [16] | 张茜, 向春阳, 赵秋, 等. 长期冬绿肥翻压对土壤无机磷形态的影响[J]. 河南农业科学, 2021, 50(11): 62-71. |
| ZHANG Q, XIANG C Y, ZHAO Q, et al. Effects of long-term overturning of winter green manure on soil inorganic phosphorus form[J]. Journal of Henan Agricultural Sciences, 2021, 50(11): 62-71. | |
| [17] | 周梅, 赵远征, 胥婷婷, 等. 长期秸秆还田对青藏高原东部农田栗钙土团聚体稳定性及磷素分布的影响[J]. 中国土壤与肥料, 2024(8): 21-29. |
| ZHOU M, ZHAO Y Z, XU T T, et al. Effects of long-term straw fertilization on the stability of calcium chestnut soil aggregates and phosphorus distribution in agricultural fields on the eastern part of the Tibetan Plateau[J]. Soil and Fertilizer Sciences in China, 2024(8): 21-29. | |
| [18] | 肖玉涛, 李正鹏, 严清彪, 等. 秋闲期复种翻压绿肥对后茬作物春小麦产量、氮残留和N2O排放的影响[J]. 青海大学学报, 2024, 42(1): 9-16. |
| XIAO Y T, LI Z P, YAN Q B, et al. Effects of multiple cropping and applying green manure during the autumn fallow period on the yield, nitrogen residue and N2O emission of spring wheat[J]. Journal of Qinghai University, 2024, 42(1): 9-16. | |
| [19] | 鲍士旦. 土壤农化分析[M]. 3版. 北京: 中国农业出版社, 2000. |
| [20] | 顾益初, 蒋柏藩. 石灰性土壤无机磷分级的测定方法[J]. 土壤, 1990, 22(2): 101-102. |
| GU Y C, JIANG B F. Determination method of inorganic phosphorus fractions in calcareous soil[J]. Soils, 1990, 22(2): 101-102. | |
| [21] | 关松荫. 土壤酶及其研究法[M]. 北京: 农业出版社, 1986. |
| [22] | 鲁如坤. 土壤农业化学分析方法[M]. 北京: 中国农业科学技术出版社, 2000. |
| [23] | 鲁如坤, 时正元, 钱承梁. 土壤积累态磷研究Ⅲ: 几种典型土壤中积累态磷的形态特征及其有效性[J]. 土壤, 1997, 29(2): 57-60. |
| LU R K, SHI Z Y, QIAN C L. Study on soil accumulated phosphorus Ⅲ: forms and availability of accumulated phosphorus in several typical soils[J]. Soils, 1997, 29(2): 57-60. | |
| [24] | 崔邢, 张亮, 林勇明, 等. 解磷细菌对巨尾桉根际土壤酸性磷酸酶活性的影响[J]. 福建农林大学学报(自然科学版), 2017, 46(3): 343-350. |
| CUI X, ZHANG L, LIN Y M, et al. Effect of phosphate-solubilizing bacteria on soil acid phosphatase activity of Eucalyptus grandis×E. urophylla plantation[J]. Journal of Fujian Agriculture and Forestry University(Natural Science Edition), 2017, 46(3): 343-350. | |
| [25] | HINSINGER P, PLASSARD C, TANG C X, et al. Origins of root-mediated pH changes in the rhizosphere and their responses to environmental constraints: a review[J]. Plant and Soil, 2003, 248(1): 43-59. |
| [26] | 史昕倩, 向春阳, 赵秋, 等. 翻压春油菜对土壤磷素及玉米磷吸收的影响[J]. 华北农学报, 2021, 36(3): 166-173. |
| SHI X Q, XIANG C Y, ZHAO Q, et al. Effect of different spring Brassica campestris L. overturning of soil phosphorus and corn phosphorus absorption[J]. Acta Agriculturae Boreali-Sinica, 2021, 36(3): 166-173. | |
| [27] | ROMANYÀ J, BLANCO-MORENO J M, SANS F X. Phosphorus mobilization in low-P arable soils may involve soil organic C depletion[J]. Soil Biology and Biochemistry, 2017, 113: 250-259. |
| [28] | 向晓玲, 陈松鹤, 杨洪坤, 等. 秸秆覆盖与施磷对丘陵旱地小麦产量和磷素吸收利用效应的影响[J]. 中国农业科学, 2021, 54(24): 5194-5205. |
| XIANG X L, CHEN S H, YANG H K, et al. Effects of straw mulching and phosphorus application on wheat yield, phosphorus absorption and utilization in hilly dryland[J]. Scientia Agricultura Sinica, 2021, 54(24): 5194-5205. | |
| [29] | 董玉兵, 董青君, 李传哲, 等. 氮肥调控对江淮地区冬闲田毛叶苕子固氮特征及固氮酶活性的影响及机制[J]. 江苏农业学报, 2024, 40(10): 1844-1853. |
| DONG Y B, DONG Q J, LI C Z, et al. Effect and and mechanisms of nitrogen fertilizer regulation on the nitrogen fixation characteristics and nitrogenase activity of hairy vetch in winter fallow fields of the Yangtze River-Huaihe region[J]. Jiangsu Journal of Agricultural Sciences, 2024, 40(10): 1844-1853. | |
| [30] | 苟志文, 殷文, 徐龙龙, 等. 绿洲灌区复种豆科绿肥条件下小麦稳产的减氮潜力[J]. 植物营养与肥料学报, 2020, 26(12): 2195-2203. |
| GOU Z W, YIN W, XU L L, et al. Potential of nitrogen reduction for maintaining wheat grain yield under multiple cropping with leguminous green manure in irrigated oasis[J]. Journal of Plant Nutrition and Fertilizers, 2020, 26(12): 2195-2203. | |
| [31] | 卢秉林, 车宗贤, 张久东, 等. 氮肥减量下长期间作毛叶苕子根茬还田对玉米产量及氮肥利用率的影响[J]. 中国农业科学, 2022, 55(12): 2384-2397. |
| LU B L, CHE Z X, ZHANG J D, et al. Effects of long-term intercropping of maize with hairy vetch root returning to field on crop yield and nitrogen use efficiency under nitrogen fertilizer reduction[J]. Scientia Agricultura Sinica, 2022, 55(12): 2384-2397. |
| [1] | 张均, 张博, 胡碧博, 刘京亮, 张晓宇, 李春阳, 熊盛婷, 郭彬彬, 王秀存, 马超. 小麦SWEET和SUT家族基因鉴定与表达分析[J]. 浙江农业学报, 2025, 37(9): 1825-1839. |
| [2] | 宋英俊, 蔡怡好, 张利霞, 吕淑芳, 李文文, 索晨美, 张昊, 侯典云, 赵杏利. 小麦根际真菌分离及其抗菌活性[J]. 浙江农业学报, 2025, 37(12): 2535-2544. |
| [3] | 刘胜男, 朱建义, 李明, 赵浩宇, 熊涛, 汤永禄, 周小刚, 李朝苏. 稻茬免耕带旋播种小麦的田间杂草防除效果与小麦产量[J]. 浙江农业学报, 2025, 37(10): 2129-2137. |
| [4] | 杨晓雨, 马指挥, 魏青, 牛志鹏, 陈安琪, 胡正冲, 王林生. 一个小麦芒长基因的初步定位及候选基因预测[J]. 浙江农业学报, 2025, 37(1): 14-23. |
| [5] | 沈峥嵘, 戴远兴, 郭留明, 汪芷瑶, 张恒木. 中国小麦花叶病毒(CWMV)外壳蛋白(CP)特异性抗体的制备与应用[J]. 浙江农业学报, 2024, 36(9): 2042-2050. |
| [6] | 齐学礼, 李莹, 段俊枝. 耐盐基因在小麦耐盐基因工程中的应用[J]. 浙江农业学报, 2024, 36(6): 1447-1457. |
| [7] | 李晶晶, 李闯, 路亚南, 郑文明. 小麦类硫素基因家族鉴定及表达分析[J]. 浙江农业学报, 2024, 36(4): 729-737. |
| [8] | 张永彬, 李想, 满卫东, 刘明月, 樊继好, 胡皓然, 宋利杰, 刘玮佳. 融合Sentinel-1/2数据和机器学习算法的冬小麦产量估算方法研究[J]. 浙江农业学报, 2024, 36(12): 2812-2822. |
| [9] | 刘永安, 黄业昌, 岳高红, 高锡腾, 邓立章, 潘彬荣. 优质小麦品种温麦10号籽粒蛋白质组学分析[J]. 浙江农业学报, 2024, 36(11): 2437-2446. |
| [10] | 娄渊根, 李闯, 李晶晶, 邢国珍, 路亚南, 郑文明. 小麦HP基因家族鉴定和分析[J]. 浙江农业学报, 2023, 35(9): 2023-2032. |
| [11] | 余桂红, 宋桂成, 张鹏, 王化敦, 范祥云. 十八个小麦品种(系)拔节期耐渍性的综合评价[J]. 浙江农业学报, 2023, 35(6): 1235-1242. |
| [12] | 杨凯, 陈凯, 李红梅, 赵忠娟, 扈进冬, 李纪顺, 杨合同. 哈茨木霉LTR-2与产脲节杆菌DnL1-1协同对小麦茎基腐病的防治效果与机理[J]. 浙江农业学报, 2023, 35(6): 1385-1395. |
| [13] | 任开明, 王犇, 杨文俊, 樊永惠, 张文静, 马尚宇, 黄正来. 施氮对稻茬弱筋小麦生长特性、品质与产量的影响[J]. 浙江农业学报, 2023, 35(4): 769-779. |
| [14] | 鲁帅, 罗晓刚, 刘全伟, 张屹, 孟洋昊, 李洁, 张景来. 有机无机复混肥对小麦生长、土壤养分和重金属含量的影响[J]. 浙江农业学报, 2023, 35(4): 922-930. |
| [15] | 白卫卫, 赵雪妮, 罗斌, 赵薇, 黄硕, 张晗. 基于YOLOv5的小麦种子发芽检测方法研究[J]. 浙江农业学报, 2023, 35(2): 445-454. |
| 阅读次数 | ||||||
|
全文 |
|
|||||
|
摘要 |
|
|||||