Acta Agriculturae Zhejiangensis ›› 2025, Vol. 37 ›› Issue (12): 2504-2515.DOI: 10.3969/j.issn.1004-1524.20240770
• Horticultural Science • Previous Articles Next Articles
XIAO Yumiao1(
), MA Qiaomei2, ZHANG Sifa3, HE Yong1,*(
), ZHAO Zhenqing2
Received:2024-08-30
Online:2025-12-25
Published:2026-01-09
CLC Number:
XIAO Yumiao, MA Qiaomei, ZHANG Sifa, HE Yong, ZHAO Zhenqing. Effects of fish protein hydrolysate on the growth and photosynthetic characteristics of tomato seedlings[J]. Acta Agriculturae Zhejiangensis, 2025, 37(12): 2504-2515.
Add to citation manager EndNote|Ris|BibTeX
URL: http://www.zjnyxb.cn/EN/10.3969/j.issn.1004-1524.20240770
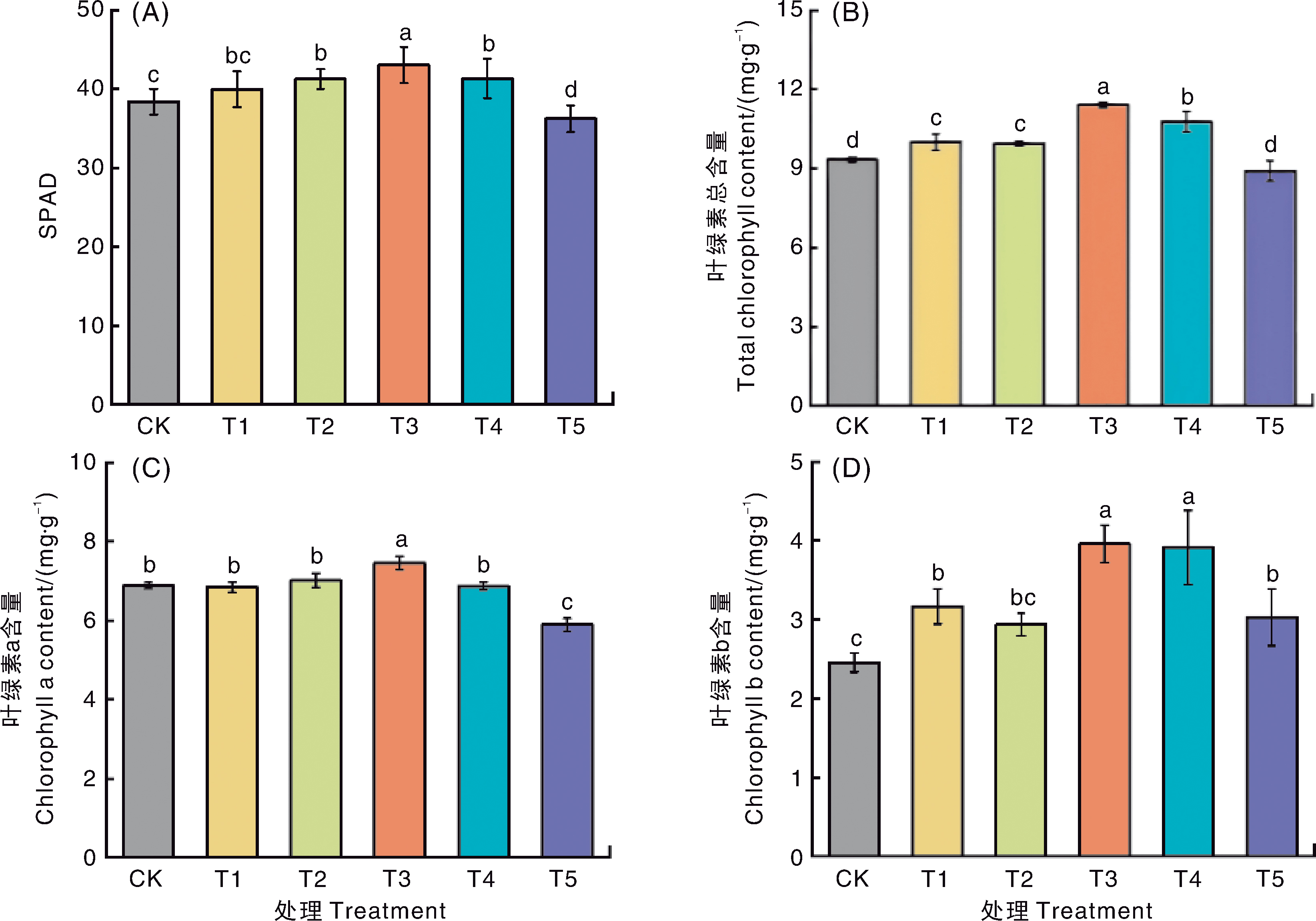
Fig.1 Phenotype of tomato seedlings under different treatments Figure A shows the front and top phenotype maps of overall tomato seedlings, figure B shows the front phenotype map of single tomato seedlings, with a scale of 4 cm. T1, T2, T3, T4, and T5 were treated with fish protein hydrolysate diluted 2 000, 1 600, 1 200, 800, and 400 times, respectively. CK was treated without adding fish protein hydrolysate. The same as Figures 2 to 7.
| 处理 Treatment | 株高 Plant height/cm | 茎粗 Stem diameter/cm | 根长 Root length/cm | 地上部鲜重 Fresh weight of aboveground/g | 地下部鲜重 Fresh weight of underground/g | 根冠比 Root-to-shoot ratio |
|---|---|---|---|---|---|---|
| CK | 11.63±0.82 d | 0.423±0.022 d | 9.64±0.51 e | 3.53±0.33 c | 0.81±0.11 e | 0.230±0.033 c |
| T1 | 12.55±0.33 bc | 0.443±0.016 c | 11.24±0.61 c | 3.39±0.31 c | 0.92±0.14 d | 0.270±0.034 b |
| T2 | 12.21±0.41 c | 0.482±0.016 b | 10.50±0.79 d | 4.11±0.27 b | 1.48±0.16 b | 0.291±0.041 ab |
| T3 | 13.53±0.32 a | 0.534±0.024 a | 13.18±0.65 a | 5.43±0.16 a | 1.75±0.16 a | 0.322±0.030 a |
| T4 | 12.77±0.55 b | 0.484±0.019 b | 11.81±0.65 b | 4.00±0.28 b | 1.19±0.09 c | 0.299±0.031 ab |
| T5 | 7.87±0.41 e | 0.380±0.017 e | 9.89±0.62 e | 1.76±0.29 d | 0.54±0.08 f | 0.316±0.079 a |
Table 1 Growth indexes of tomato seedlings under different treatments
| 处理 Treatment | 株高 Plant height/cm | 茎粗 Stem diameter/cm | 根长 Root length/cm | 地上部鲜重 Fresh weight of aboveground/g | 地下部鲜重 Fresh weight of underground/g | 根冠比 Root-to-shoot ratio |
|---|---|---|---|---|---|---|
| CK | 11.63±0.82 d | 0.423±0.022 d | 9.64±0.51 e | 3.53±0.33 c | 0.81±0.11 e | 0.230±0.033 c |
| T1 | 12.55±0.33 bc | 0.443±0.016 c | 11.24±0.61 c | 3.39±0.31 c | 0.92±0.14 d | 0.270±0.034 b |
| T2 | 12.21±0.41 c | 0.482±0.016 b | 10.50±0.79 d | 4.11±0.27 b | 1.48±0.16 b | 0.291±0.041 ab |
| T3 | 13.53±0.32 a | 0.534±0.024 a | 13.18±0.65 a | 5.43±0.16 a | 1.75±0.16 a | 0.322±0.030 a |
| T4 | 12.77±0.55 b | 0.484±0.019 b | 11.81±0.65 b | 4.00±0.28 b | 1.19±0.09 c | 0.299±0.031 ab |
| T5 | 7.87±0.41 e | 0.380±0.017 e | 9.89±0.62 e | 1.76±0.29 d | 0.54±0.08 f | 0.316±0.079 a |
Fig.2 Root vitality of tomato under different treatments Figure A shows the staining of tomato root tips under a microscope, with a scale of 1 mm; Figure B shows the root vitality of tomato. The absence of identical lowercase letters above columns in the same group indicates significant (p<0.05) differences between treatments, the same as shown in Figures 3-7.
Fig.7 Chlorophyll fluorescence parameters of tomato seedlings under different treatments Figure A shows the imaging of the PSⅡ maximum photochemical efficiency(Fv/Fm), with values increasing as the color approaches deep blue; Figure B shows the PSⅡ maximum photochemical efficiency(Fv/Fm); Figure C shows the actual photochemical efficiency parameter (ΦPSⅡ); Figure D shows the non-photochemical quenching coefficient (NPQ).
| [1] | 谭乐增, 杨晓东, 李夕进, 等. 育苗基质添加不同调节剂对番茄幼苗生长发育的影响[J]. 园艺与种苗, 2023, 43(9): 1-3. |
| TAN L Z, YANG X D, LI X J, et al. Effects of different regulators added to seedling substrate on growth and development of tomato seedlings[J]. Horticulture & Seed, 2023, 43(9): 1-3. (in Chinese with English abstract) | |
| [2] | 宋天宇, 张璐. 腐熟花生壳和腐植酸复合园林废弃物堆肥对紫苏出苗的影响[J]. 浙江农林大学学报, 2023, 40(2): 304-313. |
| SONG T Y, ZHANG L. Effect of green waste compost combined decomposed peanut shells and humic acid on seedling emergence of Perilla frutescens[J]. Journal of Zhejiang A&F University, 2023, 40(2): 304-313. (in Chinese with English abstract) | |
| [3] | 徐昱松, 宫彬彬, 吴晓蕾, 等. 育苗基质喷施海藻肥对番茄幼苗生长的影响[J]. 河北农业大学学报, 2022, 45(4): 32-36. |
| XU Y S, GONG B B, WU X L, et al. Effects of spraying seaweed fertilizer on the growth of tomato seedings aying seaweed fertilizer on the growth of tomato seedlings[J]. Journal of Agricultural University of Hebei, 2022, 45(4): 32-36. (in Chinese with English abstract) | |
| [4] | 魏修利, 雷平, 石伟勇. 鱼蛋白有机液肥对小粉土酶活性和微生物生物量碳、氮的影响[J]. 应用生态学报, 2010, 21(8): 2086-2091. |
| WEI X L, LEI P, SHI W Y. Effects of organic fish protein liquid fertilizer on enzyme activities and microbial biomass C and N in a silt soil[J]. Chinese Journal of Applied Ecology, 2010, 21(8): 2086-2091. (in Chinese with English abstract) | |
| [5] | 卢运艳, 张广忠, 徐勤政, 等. 矿源黄腐酸钾与鱼蛋白配施在番茄上的应用效果[J]. 腐植酸, 2023(3): 46-50. |
| LU Y Y, ZHANG G Z, XU Q Z, et al. Application effect of mineral based potassium fulvate combined with fish protein on tomato[J]. Humic Acid, 2023(3): 46-50. (in Chinese with English abstract) | |
| [6] | 潘烨, 谢贞清, 金娟. 鱼蛋白有机肥料对番茄果实甜度及风味的影响[J]. 农业工程技术, 2021, 41(10): 62-64. |
| PAN Y, XIE Z Q, JIN J. Effect of fish protein organic fertilizer on sweetness and flavor of tomato fruit[J]. Applied Engineering Technology, 2021, 41(10): 62-64. (in Chinese) | |
| [7] | 洪迪. 鱼蛋白水解物促进番茄果实糖酸积累的研究[D]. 沈阳: 沈阳农业大学, 2023. |
| HONG D. Study on the promotion of sugar and acid accumulation in tomato fruits by fish protein hydrolysates[D]. Shenyang: Shenyang Agricultural University, 2023. (in Chinese with English abstract) | |
| [8] | 李婷, 张静, 曲明山, 等. 喷施鱼蛋白对网纹甜瓜生长发育及果实品质的影响[J]. 中国瓜菜, 2023, 36(6): 58-63. |
| LI T, ZHANG J, QU M S, et al. Effects of spraying fish protein on growth and fruit quality of netted melon[J]. China Cucurbits and Vegetables, 2023, 36(6): 58-63. (in Chinese with English abstract) | |
| [9] | 杨志莹, 张海良, 王胜, 等. 盐胁迫下丁香叶绿素含量与SPAD值相关性分析[J]. 山东农业科学, 2021, 53(9): 8-12. |
| YANG Z Y, ZHANG H L, WANG S, et al. Correlation analysis between chlorophyll content and SPAD value of Syringa under salt stress[J]. Shandong Agricultural Sciences, 2021, 53(9): 8-12. (in Chinese with English abstract) | |
| [10] | 王学奎. 植物生理生化实验原理和技术[M]. 2版. 北京: 高等教育出版社, 2006. |
| [11] | 李合生. 植物生理生化实验原理和技术[M]. 北京: 高等教育出版社, 2000: 192-260. |
| [12] | 高俊凤. 植物生理学实验指导[M]. 北京: 高等教育出版社, 2006: 210-211. |
| [13] | GONG H J, ZHU X Y, CHEN K M, et al. Silicon alleviates oxidative damage of wheat plants in pots under drought[J]. Plant Science, 2005, 169(2): 313-321. |
| [14] | CAKMAK I, MARSCHNER H. Magnesium deficiency and high light intensity enhance activities of superoxide dismutase, ascorbate peroxidase, and glutathione reductase in bean leaves[J]. Plant Physiology, 1992, 98(4): 1222-1227. |
| [15] | TAN W, LIU J, DAI T, et al. Alterations in photosynthesis and antioxidant enzyme activity in winter wheat subjected to post-anthesis water-logging[J]. Photosynthetica, 2008, 46(1): 21-27. |
| [16] | SHI X P, JIANG F L, WEN J Q, et al. Overexpression of Solanum habrochaites microRNA319d (Sha-miR319d) confers chilling and heat stress tolerance in tomato (S. lycopersicum)[J]. BMC Plant Biology, 2019, 19(1): 214. |
| [17] | MA Q M, HU Z J, MAO Z, et al. The novel leucine-rich repeat receptor-like kinase MRK1 regulates resistance to multiple stresses in tomato[J]. Horticulture Research, 2022, 9: uhab088. |
| [18] | COLLA G, ROUPHAEL Y, CANAGUIER R, et al. Biostimulant action of a plant-derived protein hydrolysate produced through enzymatic hydrolysis[J]. Frontiers in Plant Science, 2014, 5: 448. |
| [19] | 郑剑超, 李明, 史芳芳, 等. 化肥减量配施有机肥和微生物肥对番茄光合特性和肥料利用率的影响[J]. 中国瓜菜, 2024, 37(2): 74-79. |
| ZHENG J C, LI M, SHI F F, et al. Effects of chemical fertilizer reduction combined with organic fertilizer and microbial fertilizer on photosynthetic characteristics and fertilizer utilization rate of tomato[J]. China Cucurbits and Vegetables, 2024, 37(2): 74-79. (in Chinese with English abstract) | |
| [20] | 李云飞, 王冰华, 王铁臣. 化肥减量配施鱼蛋白有机液肥对番茄产量和品质的影响[J]. 蔬菜, 2024(1): 35-39. |
| LI Y F, WANG B H, WANG T C. Effects of reducing chemical fertilizer combined with fish protein organic liquid fertilizer on tomato yield and quality[J]. Vegetables, 2024(1): 35-39. (in Chinese with English abstract) | |
| [21] | 唐宇. 化肥减施条件下配施生物有机肥对番茄生长及其土壤的影响[D]. 乌鲁木齐: 新疆大学, 2019. |
| TANG Y. Effects of applying bio-organic fertilizer on tomato growth and soil under reduced fertilizer application[D]. Urumqi: Xinjiang University, 2019. (in Chinese with English abstract) | |
| [22] | 祁瑞雪, 马慧, 林薇, 等. 鱼蛋白水解物对黄瓜幼苗促生和基质养分活化的效果[J]. 江苏农业学报, 2022, 38(1): 172-180. |
| QI R X, MA H, LIN W, et al. Effects of fish protein hydrolysates on growth promotion and substrate nu-trient activation of cucumber seedlings[J]. Jiangsu Journal of Agricultural Sciences, 2022, 38(1): 172-180. (in Chinese with English abstract) | |
| [23] | 刘希港, 季托, 李卓孟, 等. 不同生物刺激剂对茄子幼苗质量的影响[J]. 中国蔬菜, 2023(4): 79-86. |
| LIU X G, JI T, LI Z M, et al. Effects of different bio-stimulants on quality of eggplant seedlings[J]. China Vegetables, 2023(4): 79-86. (in Chinese with English abstract) | |
| [24] | 严小龙, 廖红, 戈振扬, 等. 植物根构型特性与磷吸收效率[J]. 植物学通报, 2000, 17(6): 511-519. |
| YAN X L, LIAO H, GE Z Y, et al. Root architectural characteristics and phosphorus acquisition efficiency in plants[J]. Chinese Bulietin of Botany, 2000, 17(6): 511-519. (in Chinese with English abstract) | |
| [25] | 武良, 汤洁. 我国生物刺激素产业发展现状及趋势[J]. 中国农技推广, 2016, 32(12): 9-12. |
| WU L, TANG J. Development status and trend of biostimulant industry in China[J]. China Agricultural Technology Extension, 2016, 32(12): 9-12. (in Chinese with English abstract) | |
| [26] | DEWANG S P, USHA DEVI C. Efficacy of organic biostimulant (fish protein hydrolyzate) on the growth and yield of tomato (Solanum lycopersicum)[J]. Agricultural Science Digest-A Research Journal, 2021: 20-25. |
| [27] | 闫梅, 姚彦东, 牟开萍, 等. 脱落酸通过提高抗氧化酶活性与基因表达参与富氢水增强番茄幼苗抗旱性[J]. 浙江农业学报, 2022, 34(9): 1901-1910. |
| YAN M, YAO Y D, MOU K P, et al. Involvement of abscisic acid in hydrogen gas-enhanced drought resistance by improving an-tioxidant enzyme activity and gene expression in tomato seedlings[J]. Acta Agriculturae Zhejiangensis, 2022, 34(9): 1901-1910. (in Chinese with English abstract) | |
| [28] | 孙建磊, 吕晓惠, 赵西, 等. 椰糠与蛭石不同配比对番茄穴盘苗生长的影响[J]. 中国蔬菜, 2016(5): 45-48. |
| SUN J L, LYU X H, ZHAO X, et al. Effect of different coconut coir and vermiculite substrate ratio on growth indexes of tomato plug seedlings[J]. China Vegetables, 2016(5): 45-48. (in Chinese with English abstract) | |
| [29] | GAO F C, LI H J, MU X G, et al. Effects of organic fertilizer application on tomato yield and quality: a meta-analysis[J]. Applied Sciences, 2023, 13(4): 2184. |
| [30] | 赵自超, 赵时锋, 张宏启, 等. 菌渣还田对设施瓜菜产量、品质和土壤肥力的影响[J]. 中国农学通报, 2021, 37(19): 112-118. |
| ZHAO Z C, ZHAO S F, ZHANG H Q, et al. Effect of mushroom residue on cucumber and melon yield and quality and soil fertility in greenhouse[J]. Chinese Agricultural Science Bulletin, 2021, 37(19): 112-118. (in Chinese with English abstract) | |
| [31] | 黄娜, 柳建良, 马路凯, 等. 鱼蛋白多肽水溶肥对韭菜品质和土壤微生物的影响[J]. 江苏农业科学, 2024, 52(8): 209-218. |
| HUANG N, LIU J L, MA L K, et al. Effects of fish protein polypeptide water-soluble fertilizer on leek quality and soil microorganisms[J]. Jiangsu Agricultural Sciences, 2024, 52(8): 209-218. (in Chinese with English abstract) | |
| [32] | KANAZAWA S, SANO S, KOSHIBA T, et al. Changes in antioxidative enzymes in cucumber cotyledons during natural senescence: comparison with those during dark-induced senescence[J]. Physiologia Plantarum, 2000, 109(2): 211-216. |
| [33] | 徐佳宁, 刘钢, 张利云, 等. 高温胁迫对不同番茄品种叶片抗氧化系统的影响[J]. 山东农业科学, 2016, 48(10): 27-31. |
| XU J N, LIU G, ZHANG L Y, et al. Effects of high temperature stress on antioxidant system in leaves of different tomato varieties[J]. Shandong Agricultural Sciences, 2016, 48(10): 27-31. (in Chinese with English abstract) | |
| [34] | BEERS R F, SIZER I W. A spectrophotometric method for measuring the breakdown of hydrogen peroxide by catalase[J]. Journal of Biological Chemistry, 1952, 195(1): 133-140. |
| [35] | 韩冰, 高文瑞, 孙艳军, 等. 哈茨木霉菌不同接种方法对番茄种子萌发和幼苗生长生理的影响[J]. 江苏农业科学, 2024, 52(5): 165-169. |
| HAN B, GAO Wenrui, SUN Yanjun, et al. Influences of different inoculation methods of Trichoderma harzianum on seed germination and seedling growth physiology of tomato[J]. Jiangsu Agricultural Sciences, 2024, 52(5): 165-169. (in Chinese with English abstract) | |
| [36] | 曹彩红, 张敬锁, 田雅楠, 等. 促生菌剂对番茄幼苗生长的影响[J]. 中国农学通报, 2024, 40(1): 33-37. |
| CAO C H, ZHANG J S, TIAN Y N, et al. Effects of growth promoting microbes on the growth of tomato seedlings[J]. Chinese Agricultural Science Bulletin, 2024, 40(1): 33-37. (in Chinese with English abstract) | |
| [37] | 闻婧, 杨其长, 魏灵玲, 等. 不同红蓝LED组合光源对叶用莴苣光合特性和品质的影响及节能评价[J]. 园艺学报, 2011, 38(4): 761-769. |
| WEN J, YANG Q C, WEI L L, et al. Influence of combined lighting with different red and blue LED on photosynthetic characteristics and quality of lettuce and evaluation of energy consumption[J]. Acta Horticulturae Sinica, 2011, 38(4): 761-769. (in Chinese with English abstract) | |
| [38] | GUO L L, YU H W, KHARBACH M, et al. The response of nutrient uptake, photosynthesis and yield of tomato to biochar addition under reduced nitrogen application[J]. Agronomy, 2021, 11(8): 1598. |
| [39] | 闫萌萌, 王铭伦, 王洪波, 等. 光质对花生幼苗叶片光合色素含量及光合特性的影响[J]. 应用生态学报, 2014, 25(2): 483-487. |
| YAN M M, WANG M L, WANG H B, et al. Effects of light quality on photosynthetic pigment contents and photosynthetic characteristics of peanut seedling leaves[J]. Chinese Journal of Applied Ecology, 2014, 25(2): 483-487. (in Chinese with English abstract) | |
| [40] | BETTINI P P, LAZZARA L, MASSI L, et al. Effect of far-red light exposure on photosynthesis and photoprotection in tomato plants transgenic for the Agrobacterium rhizogenes rolB gene[J]. Journal of Plant Physiology, 2020, 245: 153095. |
| [41] | MAXWELL K, JOHNSON G N. Chlorophyll fluorescence: a practical guide[J]. Journal of Experimental Botany, 2000, 51(345): 659-668. |
| [42] | XING X G, BRIGGS N, BOSS E, et al. Improved correction for non-photochemical quenching of in situ chlorophyll fluorescence based on a synchronous irradiance profile[J]. Optics Express, 2018, 26(19): 24734-24751. |
| [1] | HE Shixiong, YANG Lei, QI Anmin, CHENG Ji, WANG Min, LI Yingkui, HONG Lin. Effects of interstock on leaf photosynthetic characteristics, physicochemical properties and fruit quality of three mandarin hybrids [J]. Acta Agriculturae Zhejiangensis, 2025, 37(8): 1680-1693. |
| [2] | SHI Yangyang, LYU Lixia, TUO Dengfeng. Effects of AMF and PGPR on growth and nutrient absorption of Matthiola incana under low temperature and weak light stress [J]. Acta Agriculturae Zhejiangensis, 2025, 37(8): 1694-1705. |
| [3] | ZHANG Ruonan, MEN Xiaoming, QIN Kaipeng, WANG Binbin, WU Jie, DING Xiangbin, XU Ziwei, QI Keke. Comparative study on growth performance, carcass quality, meat performance and profitability of different crossbreed combinations of Lvjiahei pigs [J]. Acta Agriculturae Zhejiangensis, 2025, 37(6): 1203-1211. |
| [4] | XIANG Ying, CONG Jianmin, PAN Danhong, TAO Yonggang. Comprehensive evaluation of the growth process of different tomato varieties under spring organic greenhouse planting [J]. Acta Agriculturae Zhejiangensis, 2025, 37(6): 1252-1261. |
| [5] | ZOU Junyan, WANG Yunzhu, ZHAO Wanqiu, YIN Zhihao, DU Jianke, SUN Chongbo. Research progress of protocorm and protocorm-like body in Orchidaceae plants [J]. Acta Agriculturae Zhejiangensis, 2025, 37(6): 1372-1389. |
| [6] | SU Yang, SHANG Xiaolan, QIAN Zhongming, WU Lingen, HUANG Jiaqi, ZHUANG Haifeng, ZHAO Yufei, DANG Hongyang, XU Lijun. Effects of synergistic enhancement of straw returning to the field with decomposition agent and biochar on soil quality and rice growth [J]. Acta Agriculturae Zhejiangensis, 2025, 37(5): 1139-1148. |
| [7] | HU Xinrou, WANG Mei, ZHANG Yafen, CAI Weiming, JIN Qunli. Effect of abiotic stress on growth development and response mechanism of Ganoderma [J]. Acta Agriculturae Zhejiangensis, 2025, 37(5): 1182-1190. |
| [8] | LI Yancui, LI Fuqiang, ZHOU Bo. Effects of deficit irrigation at different growth stages on photosynthetic characteristics, yield and quality of Astragalus membranaceus var. mongholicus [J]. Acta Agriculturae Zhejiangensis, 2025, 37(4): 779-789. |
| [9] | QIN Yukun, CHEN Junying, WANG Yuping, ZHANG Lijuan. Effects of reducing nitrogen and increasing carbon on cotton production and nitrogen absorption and utilization in the Yangtze River Basin of China [J]. Acta Agriculturae Zhejiangensis, 2025, 37(4): 869-879. |
| [10] | REN Yuanlong, MA Rong, WANG Xiaozhuo, ZHANG Xueyan. Mitigative effect of foliar spraying melatonin on drought stress of cabbage seedlings [J]. Acta Agriculturae Zhejiangensis, 2025, 37(2): 338-348. |
| [11] | HU Rui, MA Liya, WAN Qun, WANG Ya, CAO Yaoyao, SHAO Sicheng, GE Jing, WU Xiangwei, YU Xiangyang. Effect of growth-promoting bacteria on the degradation of thiamethoxam in Brassica rapa subsp. chinensis [J]. Acta Agriculturae Zhejiangensis, 2025, 37(2): 394-404. |
| [12] | XIE Yujia, LI Zhenjiang, SHA Feiyu, ZHANG Lin, TONG Yana, QIAO Changsheng, CAO Weifeng. Isolation, screening, and functional characteristics of endophytes from strawberry [J]. Acta Agriculturae Zhejiangensis, 2025, 37(12): 2525-2534. |
| [13] | LIU Yali, YANG Fusheng, SONG Banggui, DU Xue, YU Qili, CHEN Fei, CHEN Guohong. Effects of steviol glycosides on the growth of yellow-feathered broilers [J]. Acta Agriculturae Zhejiangensis, 2025, 37(10): 2049-2056. |
| [14] | LI Wenyang, LIU Yang, LI Yong, QIU Wenwen, WANG Hui. Effect of light quality and supplementary lighting duaration on growth and development of Taxus chinensis var. mairei [J]. Acta Agriculturae Zhejiangensis, 2025, 37(10): 2077-2086. |
| [15] | CHEN Yutiao, YAN Chuan, HONG Xiaofu, SONG Jiayu. Effects of submergence at tillering stage on growth characters, yield formation and potassium uptake of japonica inbred rice [J]. Acta Agriculturae Zhejiangensis, 2024, 36(9): 1990-1999. |
| Viewed | ||||||
|
Full text |
|
|||||
|
Abstract |
|
|||||